使用Dice loss实现清晰的边界检测

1,027 阅读6分钟

​前言:

在深度学习和计算机视觉中,人们正在努力提取特征,为各种视觉任务输出有意义的表示。在一些任务中,我们只关注对象的几何形状,而不管颜色、纹理和照明等。这就是边界检测的作用所在。

点个关注,每天更新两篇计算机视觉的文章

问题定义

图1 边界检测

图1是一个边界检测的例子,顾名思义,边界检测是从图像中检测对象边界的任务。这是一个不适定的问题,因为问题设置本身存在歧义。如图所示,对于室内房间图像(左),ground truth(中)定义房间内的ground truth对象边界,并且预测(右)估计房间的对象边界。然而,我们可以看到,估计的边界远不止是ground truth,包括来自房间布局、窗帘,甚至沙发纹理的不必要的边界线。提取干净且有意义的对象边界并不容易。

原始方法

边界检测的一个直接解决方案是将其视为语义分割问题。在标注中简单地将边界为1和其他区域标记为0,我们可以将其表示为一个二分类语义分割问题,以二值交叉熵损失为损失函数。然而,它有两个原因:高度不平衡的标签分布和每像素交叉熵损失的内在问题。

Cross Entropy Loss的局限性

当使用交叉熵损失时,标签的统计分布对训练精度起着很重要的作用。标签分布越不平衡,训练就越困难。虽然加权交叉熵损失可以减轻难度,但改进并不显著,交叉熵损失的内在问题也没有得到解决。在交叉熵损失中,损失按每像素损失的平均值计算,每像素损失按离散值计算,而不知道其相邻像素是否为边界。因此,交叉熵损失只考虑微观意义上的损失,而不是全局考虑,这还不足以预测图像水平。

图2 具有交叉熵损失的边界预测

如图2所示。对于输入图像(左),比较了交叉熵损失(中)和加权交叉熵损失(右)的预测。右边的边界比中间的要好得多,但预测的边界并不干净,肮脏的草地纹理边界仍然存在。

Dice Loss

Dice Loss起源于Sørensen-Dice系数,这是20世纪40年代用来测量两个样本之间的相似性的统计数据。它是由米勒塔里等人带到计算机视觉的。2016年进行三维医学图像分割。

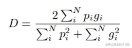
图3 骰子系数

上式显示了骰子系数方程,其中pi和gi分别表示对应的像素预测值和ground truth。在边界检测场景中,pi和gi的值为0或1,表示像素是否为边界,是的时候值为1,否则值为0。因此,分母是预测和ground truth的总边界像素的和,数值是正确预测的边界像素的和,因为只有当pi和gi值匹配时(两个值1)才递增。

图4 骰子系数(设定视图)

图4是图3的另一个视图。从集理论的角度来看,其中骰子系数(DSC)是两个集合之间重叠的度量。例如,如果两组A和B完全重叠,DSC的最大值为1。否则,DSC开始减少,如果两个组完全不重叠,则最小值为0。因此,DSC的范围在0到1之间,越大越好。因此,我们可以使用1-DSC作为骰子损失来最大化两组之间的重叠。

在边界检测任务中,ground truth边界像素和预测的边界像素可以被视为两个集合。通过利用Dice Loss,这两组被训练一点地重叠。如图4所示。分母考虑全局尺度上的边界像素的总数,而数值考虑局部尺度上的两个集合之间的重叠。因此,Dice Loss在本地和全局上都考虑了损失信息,这对于高精度至关重要。

结果

图5 边界预测的结果

如图5所示。使用Dice Loss(c列)的预测结果比其他方法(d、e列)具有更高的精度。特别是对于薄边界,因为只有当预测的边界像素与ground truth薄边界重叠,并且在其他区域没有预测的边界像素时,才可以减少Dice Loss

参考论文

V-Net: Fully Convolutional Neural Networks for Volumetric Medical Image Segmentation, Milletari et al., 3DV 2016

Learning to Predict Crisp Boundaries, Deng et al., ECCV 2018

原文链接:

medium.com/ai-salon/un…

本文来源于公众号 CV技术指南 的论文分享系列。

欢迎关注公众号 CV技术指南 ,专注于计算机视觉的技术总结、最新技术跟踪、经典论文解读。

在公众号中回复关键字 “技术总结” 可获取以下文章的汇总pdf。

其它文章

使用Dice loss实现清晰的边界检测

PVT--无卷积密集预测的多功能backbone

CVPR2021 | 开放世界的目标检测

Siamese network总结

视觉目标检测和识别之过去,现在及可能

在做算法工程师的道路上,你掌握了什么概念或技术使你感觉自我提升突飞猛进?

计算机视觉专业术语总结(一)构建计算机视觉的知识体系

欠拟合与过拟合技术总结

归一化方法总结

论文创新的常见思路总结

CV方向的高效阅读英文文献方法总结

计算机视觉中的小样本学习综述

知识蒸馏的简要概述

优化OpenCV视频的读取速度

NMS总结

损失函数技术总结

注意力机制技术总结

特征金字塔技术总结

池化技术总结

数据增强方法总结

CNN结构演变总结(一)经典模型

CNN结构演变总结(二)轻量化模型

CNN结构演变总结(三)设计原则

如何看待计算机视觉未来的走向

CNN可视化技术总结(一)特征图可视化

CNN可视化技术总结(二)卷积核可视化

CNN可视化技术总结(三)类可视化

CNN可视化技术总结(四)可视化工具与项目