【手写数字识别】基于matlab GUI RBM神经网络手写数字识别【含Matlab源码 1109期】

403 阅读6分钟

一、简介

1 RBM模型结构 玻尔兹曼机是一大类的神经网络模型,但是在实际应用中使用最多的则是RBM。RBM本身模型很简单,只是一个两层的神经网络,因此严格意义上不能算深度学习的范畴。不过深度玻尔兹曼机(Deep Boltzmann Machine,以下简称DBM)可以看做是RBM的推广。理解了RBM再去研究DBM就不难了,因此本文主要关注于RBM。

回到RBM的结构,它是一个个两层的神经网络,如下图所示: 在这里插入图片描述 上面一层神经元组成隐藏层(hidden layer), 用h向量隐藏层神经元的值。下面一层的神经元组成可见层(visible layer),用v向量表示可见层神经元的值。隐藏层和可见层之间是全连接的,这点和DNN类似, 隐藏层神经元之间是独立的,可见层神经元之间也是独立的。连接权重可以用矩阵W表示。和DNN的区别是,RBM不区分前向和反向,可见层的状态可以作用于隐藏层,而隐藏层的状态也可以作用于可见层。隐藏层的偏倚系数是向量b,而可见层的偏倚系数是向量a。

常用的RBM一般是二值的,即不管是隐藏层还是可见层,它们的神经元的取值只为0或者1。本文只讨论二值RBM。

总结下RBM模型结构的结构:主要是权重矩阵W, 偏倚系数向量a和b,隐藏层神经元状态向量h和可见层神经元状态向量v。

2 RBM概率分布 RBM是基于基于能量的概率分布模型。怎么理解呢?分两部分理解,第一部分是能量函数,第二部分是基于能量函数的概率分布函数。

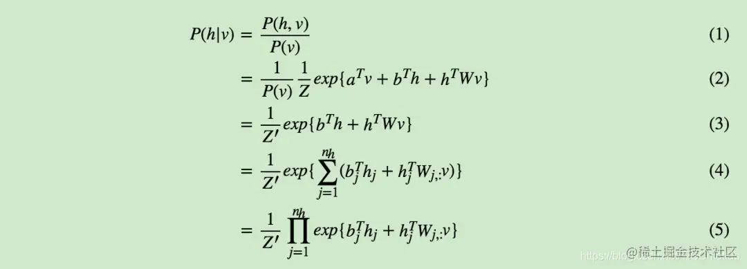
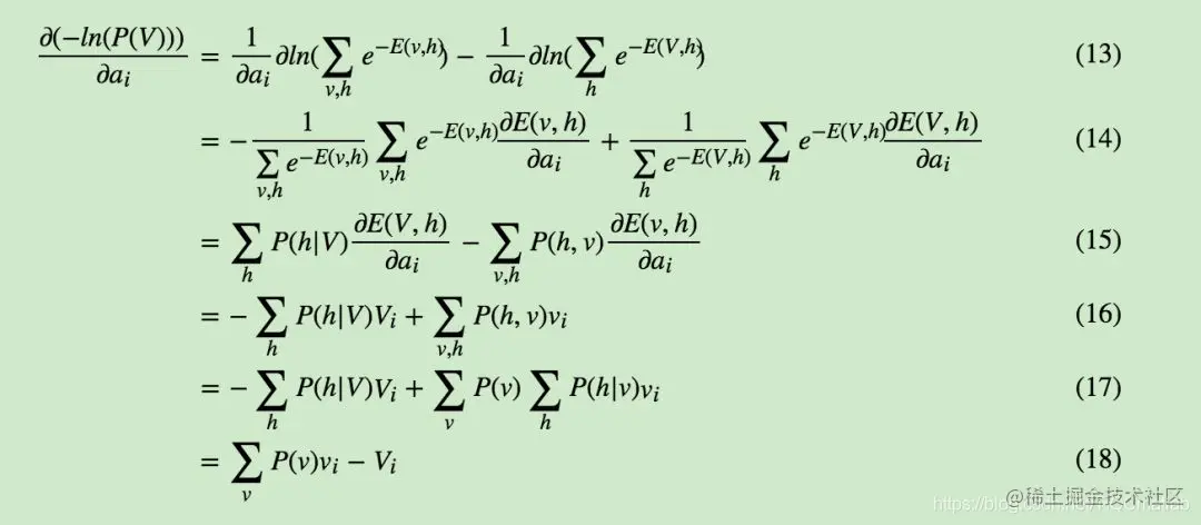
对于给定的状态向量h和v,则RBM当前的能量函数可以表示为: 在这里插入图片描述 有了能量函数,则我们可以定义RBM的状态为给定v,h的概率分布为: 在这里插入图片描述 其中Z为归一化因子,类似于softmax中的归一化因子,表达式为: 在这里插入图片描述 有了概率分布,我们现在来看条件分布P(h|v): 在这里插入图片描述 其中Z′为新的归一化系数,表达式为: 在这里插入图片描述 同样的方式,我们也可以求出P(v|h),这里就不再列出了。 有了条件概率分布,现在我们来看看RBM的激活函数,提到神经网络,我们都绕不开激活函数,但是上面我们并没有提到。由于使用的是能量概率模型,RBM的基于条件分布的激活函数是很容易推导出来的。我们以P(hj=1|v)为例推导如下。 在这里插入图片描述 从上面可以看出, RBM里从可见层到隐藏层用的其实就是sigmoid激活函数。同样的方法,我们也可以得到隐藏层到可见层用的也是sigmoid激活函数。即: 在这里插入图片描述 3 RBM模型的损失函数与优化 RBM模型的关键就是求出我们模型中的参数W,a,b。如果求出呢?对于训练集的m个样本,RBM一般采用对数损失函数,即期望最小化下式: 在这里插入图片描述 对于优化过程,我们是首先想到的当然是梯度下降法来迭代求出W,a,b。我们首先来看单个样本的梯度计算, 单个样本的损失函数为:−ln(P(V)), 我们先看看−ln(P(V))具体的内容: 在这里插入图片描述 注意,这里面V表示的是某个特定训练样本,而v指的是任意一个样本。

我们以ai的梯度计算为例: 在这里插入图片描述 其中用到了: 在这里插入图片描述 同样的方法,可以得到W,b的梯度。这里就不推导了,直接给出结果: 在这里插入图片描述 虽然梯度下降法可以从理论上解决RBM的优化,但是在实际应用中,由于概率分布的计算量大,因为概率分布有2^nv+nh种情况, 所以往往不直接按上面的梯度公式去求所有样本的梯度和,而是用基于MCMC的方法来模拟计算求解每个样本的梯度损失再求梯度和,常用的方法是基于Gibbs采样的对比散度方法来求解,对于对比散度方法,由于需要MCMC的知识,这里就不展开了。

二、源代码

function varargout = core_Test_gui2(varargin)
% CORE_TEST_GUI2 MATLAB code for core_Test_gui2.fig
%      CORE_TEST_GUI2, by itself, creates a new CORE_TEST_GUI2 or raises the existing
%      singleton*.
%
%      H = CORE_TEST_GUI2 returns the handle to a new CORE_TEST_GUI2 or the handle to
%      the existing singleton*.
%
%      CORE_TEST_GUI2('CALLBACK',hObject,eventData,handles,...) calls the local
%      function named CALLBACK in CORE_TEST_GUI2.M with the given input arguments.
%
%      CORE_TEST_GUI2('Property','Value',...) creates a new CORE_TEST_GUI2 or raises the
%      existing singleton*.  Starting from the left, property value pairs are
%      applied to the GUI before core_Test_gui2_OpeningFcn gets called.  An
%      unrecognized property name or invalid value makes property application
%      stop.  All inputs are passed to core_Test_gui2_OpeningFcn via varargin.
%
%      *See GUI Options on GUIDE's Tools menu.  Choose "GUI allows only one
%      instance to run (singleton)".
%
% See also: GUIDE, GUIDATA, GUIHANDLES

% Edit the above text to modify the response to help core_Test_gui2

% Last Modified by GUIDE v2.5 17-Apr-2021 07:50:14

% Begin initialization code - DO NOT EDIT
gui_Singleton = 1;
gui_State = struct('gui_Name',       mfilename, ...
                   'gui_Singleton',  gui_Singleton, ...
                   'gui_OpeningFcn', @core_Test_gui2_OpeningFcn, ...
                   'gui_OutputFcn',  @core_Test_gui2_OutputFcn, ...
                   'gui_LayoutFcn',  [] , ...
                   'gui_Callback',   []);
if nargin && ischar(varargin{1})
    gui_State.gui_Callback = str2func(varargin{1});
end

if nargout
    [varargout{1:nargout}] = gui_mainfcn(gui_State, varargin{:});
else
    gui_mainfcn(gui_State, varargin{:});
end
% End initialization code - DO NOT EDIT


% --- Executes just before core_Test_gui2 is made visible.
function core_Test_gui2_OpeningFcn(hObject, eventdata, handles, varargin)
% This function has no output args, see OutputFcn.
% hObject    handle to figure
% eventdata  reserved - to be defined in a future version of MATLAB
% handles    structure with handles and user data (see GUIDATA)
% varargin   command line arguments to core_Test_gui2 (see VARARGIN)

% Choose default command line output for core_Test_gui2
handles.output = hObject;

% Update handles structure
guidata(hObject, handles);

% UIWAIT makes core_Test_gui2 wait for user response (see UIRESUME)
% uiwait(handles.figure1);


% --- Outputs from this function are returned to the command line.
function varargout = core_Test_gui2_OutputFcn(hObject, eventdata, handles) 
% varargout  cell array for returning output args (see VARARGOUT);
% hObject    handle to figure
% eventdata  reserved - to be defined in a future version of MATLAB
% handles    structure with handles and user data (see GUIDATA)

% Get default command line output from handles structure
varargout{1} = handles.output;



function result_Callback(hObject, eventdata, handles)
% hObject    handle to result (see GCBO)
% eventdata  reserved - to be defined in a future version of MATLAB
% handles    structure with handles and user data (see GUIDATA)

% Hints: get(hObject,'String') returns contents of result as text
%        str2double(get(hObject,'String')) returns contents of result as a double


% --- Executes during object creation, after setting all properties.
function result_CreateFcn(hObject, eventdata, handles)
% hObject    handle to result (see GCBO)
% eventdata  reserved - to be defined in a future version of MATLAB
% handles    empty - handles not created until after all CreateFcns called

% Hint: edit controls usually have a white background on Windows.
%       See ISPC and COMPUTER.
if ispc && isequal(get(hObject,'BackgroundColor'), get(0,'defaultUicontrolBackgroundColor'))
    set(hObject,'BackgroundColor','white');
end


% --- Executes on button press in classify.
function classify_Callback(hObject, eventdata, handles)
% hObject    handle to classify (see GCBO)
% eventdata  reserved - to be defined in a future version of MATLAB
% handles    structure with handles and user data (see GUIDATA)
 data = handles.data;
  data_new=[data data];

  load linear_classify_weights2;% w1为(2*22*22+1)*256,w_class为(256+1)*10
  
  N=1; %每次只有1幅图像测试
  %下面的计算方式通过矩阵拼凑,把偏置的计算也融入矩阵中
  dataprobs = [data_new ones(N,1)]; %融入偏置后dataprobs为1*(2*22*22+1)
  w1probs = (dataprobs*w1)>0; %未融入偏置时w1probs为1*256
  w1probs = [w1probs  ones(N,1)];%融入偏置后,w1probs为1*(256+1)
  targetout = exp(w1probs*w_class);%输出层为0*10
  
  
  %将输出层输出100*10,除以每行的总和以求得归一化比值
  targetout = targetout./repmat(sum(targetout,2),1,10);
  
  %比较每行中的最大产生10*1的列向量,I每行最大值,J每行最大值序号,
  %代表识别的数字结果,1-10(分别代表数字0-9)
  [I J]=max(targetout,[],2);

三、运行结果

在这里插入图片描述 在这里插入图片描述 在这里插入图片描述 在这里插入图片描述 在这里插入图片描述 在这里插入图片描述 在这里插入图片描述 在这里插入图片描述 在这里插入图片描述 在这里插入图片描述

四、备注

版本:2014a