LeetCode第160题:相交链表

290 阅读2分钟

题干

给你两个单链表的头节点 headA 和 headB ,请你找出并返回两个单链表相交的起始节点。如果两个链表没有交点,返回 null 。

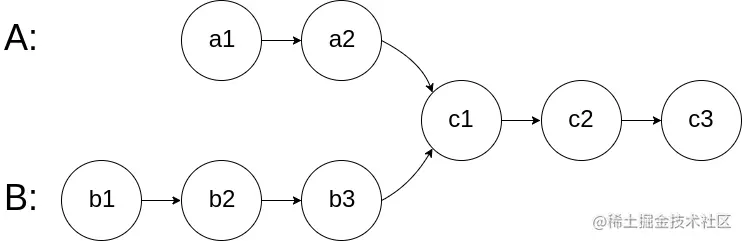
图示两个链表在节点 c1 开始相交:

img

题目数据 保证 整个链式结构中不存在环。

注意,函数返回结果后,链表必须 保持其原始结构 。

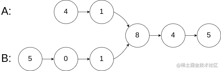
示例 1:

img

输入:intersectVal = 8, listA = [4,1,8,4,5], listB = [5,0,1,8,4,5], skipA = 2, skipB = 3
输出:Intersected at '8'
解释:相交节点的值为 8 (注意,如果两个链表相交则不能为 0)。
从各自的表头开始算起,链表 A[4,1,8,4,5],链表 B[5,0,1,8,4,5]。
在 A 中,相交节点前有 2 个节点;在 B 中,相交节点前有 3 个节点。

解法:双指针

这道题需要注意的是我们不能只比较链表中元素中的值,因为这里的相交是指两个链表公用一块内存空间,所以我们比较的应该是内存地址。

每步操作需要同时更新指针pA 和pB;

如果指针pA 不为空,则将指针 pA 移到下一个节点;如果指针 pB 不为空,则将指针 pB 移到下一个节点。

如果指针 pA 为空,则将指针pA 移到链表headB 的头节点;如果指针 pB 为空,则将指针pB 移到链表 headA 的头节点。

当指针 pA 和pB 指向同一个节点或者都为空时,返回它们指向的节点或者 null。

执行用时:104 ms, 在所有 JavaScript 提交中击败了79.13%的用户

内存消耗:44.7 MB, 在所有 JavaScript 提交中击败了33.04%的用户

var getIntersectionNode = function (headA, headB) {
    if (headB == null || headA == null) {
        return null
    }
    let p1 = headA;
    let p2 = headB;
    while (p1 != p2) {
        p1=p1==null?headB:p1.next
        p2=p2==null?headA:p2.next
    }
    return p1
};