LeetCode题解之199. Binary Tree Right Side View

232 阅读2分钟

问题链接

问题描述

Given the root of a binary tree, imagine yourself standing on the right side of it, return the values of the nodes you can see ordered from top to bottom.

Example 1:

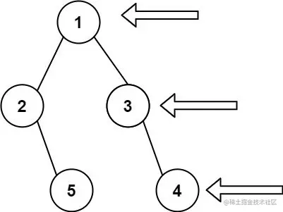
tree

Input: root = [1,2,3,null,5,null,4]
Output: [1,3,4]

Example 2:

Input: root = [1,null,3]
Output: [1,3]

Example 3:

Input: root = []
Output: []

Constraints:

  • The number of nodes in the tree is in the range [0, 100].
  • -100 <= Node.val <= 100

解题思路

思路一:递归

我们把二叉树的右视图形成的列表记为 V,V1VhV_1\sim V_h 分别代表右视图从上到下每一个节点的值,h 是二叉树的高度。通过观察其实不难发现,V1V_1 一定等于根节点 root 的值。我们把二叉树的左子树的右视图形成的列表记为 LV、右子树的右视图形成的列表记为 RV,根据 LV 和 RV,可以得到 V2VhV_2\sim V_h ,具体做法如下:同时遍历 LV 和 RV,如果 RViRV_i 有值,则 Vi+1=RViV_{i+1}=RV_i ,如果 RViRV_i 没有值,则取 LViLV_i,直至遍历结束。

比如这样一棵二叉树:

graph TD
	root((1)) --> t2((2))
	root --> t3((3))
	t2 --> t5((5))
	t2 --> t7((7))
	t3 --> t4((4))
	t3 --> t6((6))
	t5 --> t8((8))
	t5 --> t9((9))

它的根节点是 1,LV 是 [2, 7, 9],RV 是 [3, 6],那么它的右视图 V 就等于 [1, 3, 6, 9]

而 LV 可以根据左子树的根节点、左子树的左子树的右视图、左子树的右子树的右视图得到,同理,RV 可以根据右子树的根节点、右子树的左子树的右视图、右子树的右子树的右视图得到。

根据以上思路,我们可以写出如下递归代码:

public List<Integer> rightSideView(TreeNode root) {
    if (Objects.isNull(root)) {
        return new ArrayList<>();
    }
    List<Integer> rightResult = rightSideView(root.right);
    List<Integer> leftResult = rightSideView(root.left);
    ArrayList<Integer> result = new ArrayList<>(Math.max(rightResult.size(), leftResult.size()) + 1);
    result.add(root.val);
    int i = 0;
    for (; i < rightResult.size(); i++) {
        result.add(rightResult.get(i));
    }
    for (; i < leftResult.size(); i++) {
        result.add(leftResult.get(i));
    }
    return result;
}

该代码的时间复杂度不大好算,有兴趣的读者可以算一下,空间复杂度是 O(h-1),h 是二叉树的高度。

思路二:层次遍历

还是以这个二叉树为例,我们把它每一层的节点都拿出来放到列表里,并进行右对齐。

graph TD
	root((1)) --> t2((2))
	root --> t3((3))
	t2 --> t5((5))
	t2 --> t7((7))
	t3 --> t4((4))
	t3 --> t6((6))
	t5 --> t8((8))
	t5 --> t9((9))

可以发现,二叉树的右视图其实就是每层最右边的节点组成的列表。所以,我们可以对二叉树进行层次遍历,把每一层的最右边一个节点记录下来,最后就得到了二叉树的右视图。如果对二叉树的遍历不熟悉,可以参考这篇文章:二叉树的遍历详解

代码如下:

public List<Integer> rightSideView(TreeNode root) {
    LinkedList<Integer> result = new LinkedList<>();
    if (Objects.isNull(root)) {
        return result;
    }
    LinkedList<TreeNode> levelA = new LinkedList<>(), levelB = new LinkedList<>();
    levelA.addFirst(root);
    while (!levelA.isEmpty()) {
        TreeNode treeNode = levelA.removeLast();
        if (Objects.nonNull(treeNode.left)) {
            levelB.addFirst(treeNode.left);
        }
        if (Objects.nonNull(treeNode.right)) {
            levelB.addFirst(treeNode.right);
        }
        if (levelA.isEmpty()) {
            result.add(treeNode.val);
            LinkedList<TreeNode> tempList = levelB;
            levelB = levelA;
            levelA = tempList;
        }
    }
    return result;
}

代码时间复杂度为 O(h21)O(h^2-1),因为要遍历二叉树所有的节点,而最坏情况下,二叉树为满二叉树,节点数量为 h21h^2-1;空间复杂度是 O(2h1)O(2^{h-1}),遍历过程中需要存储每一层的节点,满二叉树的最后一层节点数量最多,为 2h12^h-1。h 是二叉树的高度。

相关题目

深度优先搜索广度优先搜索二叉树