Zuul除了做网关还能干什么?

378 阅读3分钟

首先,网关能为我们做什么?

它能为我们做路由转发,黑、白名单、过滤请求等等等等

网关的本质,其实就是一系列的过滤器,记得我们最开始学习过滤器的时候,servlet的doFilter,有没有小伙伴的DNA动了,哈哈

我们今天要说的就是利用网关的本质,过滤器,来做灰度发布

说之前,先讲讲什么是灰度发布,经常听到这个名词,就是不知道是干嘛的

今天,必须得给他整的明明白白的

灰度发布,也叫金丝雀发布,说的就是能够平滑过渡的一种发布版本的一种方式,在其上可以进行A/B testing,即让一部分用户继续用产品特性A,一部分用户开始用产品特性B,如果用户对B没有什么反对意见,那么逐步扩大范围,把所有用户都迁移到B上面来。

有啥好处呢?

它可以保证整体系统的稳定,在初始灰度的时候就可以发现、调整问题,以保证其影响度。

除了灰度发布还有那种发布方式呢?

蓝绿发布、滚动发布等等

简单说说蓝绿发布的原理:

需要另外在开启三台服务器(承载新的服务)

clipboard.png

滚动发布:

就是将新服务替代其中一个服务,被代替的空闲出来继续装载另一个新服务,一个一个替换

clipboard.png

灰度发布:

clipboard.png

启动相同的服务设置配置文件的版本,例如:启动3个相同服务,一个版本是V2,剩下两个是V1(版本可以利用Eureka注册中心的API来动态修改)

clipboard.png

eureka:
 instance:
  metadata-map:
  #自定义属性  版本V1、V2
   version: v2

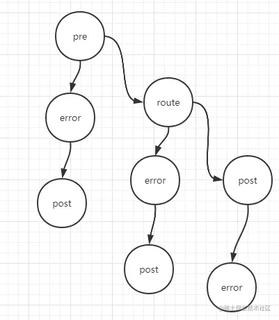
一切准备就绪,回到Zuul网关,Zuul网关的过滤器,分那么几种类型,pre、route、post、error

执行顺序是:pre —> route —> post

clipboard.png

想要自定义网关过滤器,继承ZuulFilter,实现其的方法

使用@Component注解,交由Spring容器管理

实现方法是有4个方法,fileType、filterOrder、shouldFilter、run

  • fileType方法,指定这个过滤器是什么类型的,pre、route、post、error

  • filterOrder方法,决定执行顺序,数越小,越先执行

  • shouldFilter方法,决定这个过滤器是否执行,true执行,false不执行

  • run方法,过滤器的执行逻辑

自定义网关过滤器,类似这种灰度发布,就尽量使用pre类型的过滤器

在发起请求,请求头携带userId(根据用户ID来区分是否是来访问新的的服务)

@Override
public Object run() throws ZuulException {
    //获取请求上下文
    RequestContext currentContext = RequestContext.getCurrentContext();
    //获取到HttpServletRequest
    HttpServletRequest request = currentContext.getRequest();
    //获取请求头携带的userId
    Integer userId = Integer.parseInt(request.getHeader("userId"));
    //查询本地缓存/DB/Redis,来确定这个用户是否需要访问新服务,还是继续访问旧服务
    if (userId >= 5000) {
        //伪代码,假设这个用户是ID属于比5000要大,就让他访问/体验新服务
        RibbonFilterContextHolder.getCurrentContext().add("version", "v2");
    } else {
        //否则,继续让用户体验旧的服务
        //因为V1我们启动了两个所以负载均衡也可以继续使用
        RibbonFilterContextHolder.getCurrentContext().add("version", "v1");
    }
    return null;
}

这里用到了RibbonFilter相关的依赖,也给大家准备好了

<dependency>
    <groupId>io.jmnarloch</groupId>
    <artifactId>ribbon-discovery-filter-spring-cloud-starter</artifactId>
    <version>2.1.0</version>
</dependency>

还有一点要注意的是,网关在过滤请求的时候,有可能会使你请求头数据丢失,没错,确实是网关给你吃了

它不是过意的哈,它是想保证安全,一些比较特别的key,他就会给你抹掉,如Authorization、Cookie等

//网关配置好这个,什么都不用填,就可以不让网管把携带的请求头参数抹掉
zuul:
 sensitive-header: 

嘿嘿,大家喜欢的可以关注我的微信公众号哦,听说现在关注的,以后都是尊贵的老粉了