【人脸识别】基于matlab GUI PCA人脸二维码识别【含Matlab源码 754期】

302 阅读6分钟

一、简介

1 PCA
PCA(Principal Component Analysis)是常用的数据分析方法。PCA是通过线性变换,将原始数据变换为一组各维度线性无关的数据表示方法,可用于提取数据的主要特征分量,常用于高维数据的降维。

1.1 降维问题
数据挖掘和机器学习中,数据以向量表示。例如某个淘宝店2012年全年的流量及交易情况可以看成一组记录的集合,其中每一天的数据是一条记录,格式如下:
(日期, 浏览量, 访客数, 下单数, 成交数, 成交金额)
其中“日期”是一个记录标志而非度量值,而数据挖掘关心的大多是度量值,因此如果我们忽略日期这个字段后,我们得到一组记录,每条记录可以被表示为一个五维向量,其中一条样本如下所示:
在这里插入图片描述
一般习惯上使用列向量表示一条记录,本文后面也会遵循这个准则。
机器学习的很多算法复杂度和数据的维数有着密切关系,甚至与维数呈指数级关联。这里区区5维的数据,也许无所谓,但是实际机器学习中处理成千上万甚至几十万维的数据也并不罕见,在这种情况下,机器学习的资源消耗是不可接受的,因此就会对数据采取降维的操作。降维就意味着信息的丢失,不过鉴于实际数据本身常常存在相关性,所以在降维时想办法降低信息的损失。
例如上面淘宝店铺的数据,从经验可知,“浏览量”和“访客数”往往具有较强的相关性,而“下单数”和“成交数”也具有较强的相关性。可以直观理解为“当某一天这个店铺的浏览量较高(或较低)时,我们应该很大程度上认为这天的访客数也较高(或较低)”。因此,如果删除浏览量或访客数,最终并不会丢失太多信息,从而降低数据的维度,也就是所谓的降维操作。如果把数据降维用数学来分析讨论,用专业名词表示就是PCA,这是一种具有严格数学基础并且已被广泛采用的降维方法。

1.2 向量与基变换
1.2.1 内积与投影
两个大小相同向量的内积被定义如下:
在这里插入图片描述
在这里插入图片描述
在这里插入图片描述
1.2.2 基
在代数中,经常用线段终点的点坐标表示向量。假设某个向量的坐标为(3,2),这里的3实际表示的是向量在x轴上的投影值是3,在y轴上的投影值是2。也就是说隐式引入了一个定义:以x轴和y轴上正方向长度为1的向量为标准。那么一个向量(3,2)实际是在x轴投影为3而y轴的投影为2。注意投影是一个矢量,可以为负。向量(x, y)实际上表示线性组合:
在这里插入图片描述
由上面的表示,可以得到所有二维向量都可以表示为这样的线性组合。此处(1,0)和(0,1)叫做二维空间中的一组基。
在这里插入图片描述
之所以默认选择(1,0)和(0,1)为基,当然是为了方便,因为它们分别是x和y轴正方向上的单位向量,因此就使得二维平面上点坐标和向量一一对应。但实际上任何两个线性无关的二维向量都可以成为一组基,所谓线性无关在二维平面内,从直观上就是两个不在一条直线的向量。
在这里插入图片描述
另外这里的基是正交的(即内积为0,或直观说相互垂直),可以成为一组基的唯一要求就是线性无关,非正交的基也是可以的。不过因为正交基有较好的性质,所以一般使用的基都是正交的。
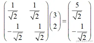
1.2.3 基变换的矩阵
上述例子中的基变换,可以采用矩阵的乘法来表示,即
在这里插入图片描述
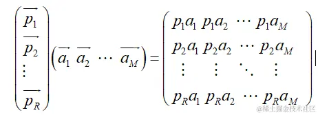
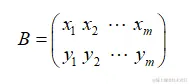
如果推广一下,假设有M个N维向量,想将其变换为由R个N维向量表示的新空间中,那么首先将R个基按行组成矩阵A,然后将向量按列组成矩阵B,那么两矩阵的乘积AB就是变换结果,其中AB的第m列为A中第m列变换后的结果,通过矩阵相乘表示为:
在这里插入图片描述
在这里插入图片描述
1.3 协方差矩阵及优化目标
在进行数据降维的时候,关键的问题是如何判定选择的基是最优。也就是选择最优基是最大程度的保证原始数据的特征。这里假设有5条数据为
在这里插入图片描述
计算每一行的平均值,然后再让每一行减去得到的平均值,得到
在这里插入图片描述
通过坐标的形式表现矩阵,得到的图如下:
在这里插入图片描述
那么现在的问题是:用一维向量来表示这些数据,又希望尽量保留原有的信息,该如何选择呢?这个问题实际上是要在二维平面中选择一个方向的向量,将所有数据点都投影到这条直线上,用投影的值表示原始记录,即二维降到一维的问题。那么如何选择这个方向(或者说基)才能尽量保留最多的原始信息呢?一种直观的看法是:希望投影后的投影值尽可能分散。

1.3.1 方差
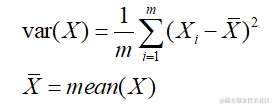
上述问题是希望投影后投影的值尽可能在一个方向上分散,而这种分散程度,可以采用数学上的方差来表述,即:
在这里插入图片描述
于是上面的问题被形式化表述为:寻找一个一维基,使得所有数据变换为这个基上的坐标后,方差值最大。

2.3.2 协方差
数学上可以用两个特征的协方差表示其相关性,即:
在这里插入图片描述
当协方差为0时,表示两个特征完全独立。为了让协方差为0,选择第二个基时只能在与第一个基正交的方向上选择。因此最终选择的两个方向一定是正交的。

至此获得降维问题的优化目标:将一组N维向量降为K维(K<N),其目标是选择K个单位(模为1)正交基,使得原始数据变换到这组基上后,各字段两两间协方差为0,而字段的方差则尽可能大(在正交的约束下,取最大的K个方差)。

2.3.3 协方差矩阵
假设只有x和y两个字段,将它们按行组成矩阵,其中是通过中心化的矩阵,也就是每条字段减去每条字段的平均值得到的矩阵:
在这里插入图片描述
在这里插入图片描述
3.4 协方差矩阵对角化
在这里插入图片描述
在这里插入图片描述
1.4 算法与实例
1.4.1 PCA算法
在这里插入图片描述
1.4.2 实例
在这里插入图片描述
在这里插入图片描述
1.5. 讨论
根据上面对PCA的数学原理的解释,可以了解到一些PCA的能力和限制。PCA本质上是将方差最大的方向作为主要特征,并且在各个正交方向上将数据“离相关”,也就是让它们在不同正交方向上没有相关性。

因此,PCA也存在一些限制,例如它可以很好的解除线性相关,但是对于高阶相关性就没有办法了,对于存在高阶相关性的数据,可以考虑Kernel PCA,通过Kernel函数将非线性相关转为线性相关。另外,PCA假设数据各主特征是分布在正交方向上,如果在非正交方向上存在几个方差较大的方向,PCA的效果就大打折扣了。

最后需要说明的是,PCA是一种无参数技术,也就是说面对同样的数据,如果不考虑清洗,谁来做结果都一样,没有主观参数的介入,所以PCA便于通用实现,但是本身无法个性化的优化。

二、源代码

function varargout = MainForm(varargin)
% MAINFORM MATLAB code for MainForm.fig
%      MAINFORM, by itself, creates a new MAINFORM or raises the existing
%      singleton*.
%
%      H = MAINFORM returns the handle to a new MAINFORM or the handle to
%      the existing singleton*.
%
%      MAINFORM('CALLBACK',hObject,eventData,handles,...) calls the local
%      function named CALLBACK in MAINFORM.M with the given input arguments.
%
%      MAINFORM('Property','Value',...) creates a new MAINFORM or raises the
%      existing singleton*.  Starting from the left, property value pairs are
%      applied to the GUI before MainForm_OpeningFcn gets called.  An
%      unrecognized property name or invalid value makes property application
%      stop.  All inputs are passed to MainForm_OpeningFcn via varargin.
%
%      *See GUI Options on GUIDE's Tools menu.  Choose "GUI allows only one
%      instance to run (singleton)".
%
% See also: GUIDE, GUIDATA, GUIHANDLES

% Edit the above text to modify the response to help MainForm

% Last Modified by GUIDE v2.5 17-Mar-2014 21:27:08

% Begin initialization code - DO NOT EDIT
gui_Singleton = 1;
gui_State = struct('gui_Name',       mfilename, ...
    'gui_Singleton',  gui_Singleton, ...
    'gui_OpeningFcn', @MainForm_OpeningFcn, ...
    'gui_OutputFcn',  @MainForm_OutputFcn, ...
    'gui_LayoutFcn',  [] , ...
    'gui_Callback',   []);
if nargin && ischar(varargin{1})
    gui_State.gui_Callback = str2func(varargin{1});
end

if nargout
    [varargout{1:nargout}] = gui_mainfcn(gui_State, varargin{:});
else
    gui_mainfcn(gui_State, varargin{:});
end
% End initialization code - DO NOT EDIT


% --- Executes just before MainForm is made visible.
function MainForm_OpeningFcn(hObject, eventdata, handles, varargin)
% This function has no output args, see OutputFcn.
% hObject    handle to figure
% eventdata  reserved - to be defined in a future version of MATLAB
% handles    structure with handles and user data (see GUIDATA)
% varargin   command line arguments to MainForm (see VARARGIN)

% Choose default command line output for MainForm
handles.output = hObject;
clc;
set(handles.axes1, 'XTick', [], 'YTick', [], ...
    'XTickLabel', '', 'YTickLabel', '', 'Color', [0.7020 0.7804 1.0000], 'Box', 'On',...
    'xlim', [-1 1], 'ylim', [-1 1]);
set(handles.axes2, 'XTick', [], 'YTick', [], ...
    'XTickLabel', '', 'YTickLabel', '', 'Color', [0.7020 0.7804 1.0000], 'Box', 'On',...
    'xlim', [-1 1], 'ylim', [-1 1]);
set(handles.axes3, 'XTick', [], 'YTick', [], ...
    'XTickLabel', '', 'YTickLabel', '', 'Color', [0.7020 0.7804 1.0000], 'Box', 'On',...
    'xlim', [-1 1], 'ylim', [-1 1]);
handles.Ims = 0;
handles.c = 0;
handles.Im = 0;
handles.f = 0;
handles.Img = 0;
% Update handles structure
guidata(hObject, handles);

% UIWAIT makes MainForm wait for user response (see UIRESUME)
% uiwait(handles.figure1);


% --- Outputs from this function are returned to the command line.
function varargout = MainForm_OutputFcn(hObject, eventdata, handles)
% varargout  cell array for returning output args (see VARARGOUT);
% hObject    handle to figure
% eventdata  reserved - to be defined in a future version of MATLAB
% handles    structure with handles and user data (see GUIDATA)

% Get default command line output from handles structure
varargout{1} = handles.output;



function edit1_Callback(hObject, eventdata, handles)
% hObject    handle to edit1 (see GCBO)
% eventdata  reserved - to be defined in a future version of MATLAB
% handles    structure with handles and user data (see GUIDATA)

% Hints: get(hObject,'String') returns contents of edit1 as text
%        str2double(get(hObject,'String')) returns contents of edit1 as a double


% --- Executes during object creation, after setting all properties.
function edit1_CreateFcn(hObject, eventdata, handles)
% hObject    handle to edit1 (see GCBO)
% eventdata  reserved - to be defined in a future version of MATLAB
% handles    empty - handles not created until after all CreateFcns called

% Hint: edit controls usually have a white background on Windows.
%       See ISPC and COMPUTER.
if ispc && isequal(get(hObject,'BackgroundColor'), get(0,'defaultUicontrolBackgroundColor'))
    set(hObject,'BackgroundColor','white');
end


% --- Executes on button press in pushbutton1.
function pushbutton1_Callback(hObject, eventdata, handles)
% hObject    handle to pushbutton1 (see GCBO)
% eventdata  reserved - to be defined in a future version of MATLAB
% handles    structure with handles and user data (see GUIDATA)
filePath = OpenImageFile();
if filePath == 0
    return;
end
Img = imread(filePath);
if ndims(Img) == 3
    Img = rgb2gray(Img);
end
sz = size(Img);
sz0 = [112 92];
if ~isequal(sz, sz0);
    Img = imresize(Img, sz0, 'bilinear');
end
% wh = 600;
% if sz(1) > wh
%     rate = wh/sz(1);
%     Img = imresize(Img, rate, 'bilinear');
% end
% 显示
imshow(Img, [], 'Parent', handles.axes1);
handles.Img = Img;
handles.sz = size(Img);
guidata(hObject, handles);


% --- Executes on button press in pushbutton2.
function pushbutton2_Callback(hObject, eventdata, handles)
% hObject    handle to pushbutton2 (see GCBO)
% eventdata  reserved - to be defined in a future version of MATLAB
% handles    structure with handles and user data (see GUIDATA)
if isequal(handles.Img, 0)
    return;
end
f = GetFaceVector(handles.Img);
f = f(1:round(length(f)*0.9));
handles.f = f;
guidata(hObject, handles);
msgbox('降维成功!', '提示信息');


% --- Executes on button press in pushbutton3.
function pushbutton3_Callback(hObject, eventdata, handles)
% hObject    handle to pushbutton3 (see GCBO)
% eventdata  reserved - to be defined in a future version of MATLAB
% handles    structure with handles and user data (see GUIDATA)
if isequal(handles.f, 0)
    return;
end
Im = QrGen(handles.f);
% 显示
imshow(Im, [], 'Parent', handles.axes2);
handles.Im = Im;
guidata(hObject, handles);


% --- Executes on button press in pushbutton4.
function pushbutton4_Callback(hObject, eventdata, handles)
% hObject    handle to pushbutton4 (see GCBO)
% eventdata  reserved - to be defined in a future version of MATLAB
% handles    structure with handles and user data (see GUIDATA)
if isequal(handles.Im, 0)
    return;
end
c = QrDen(handles.Im);
set(handles.edit1, 'String', c);
handles.c = c;
guidata(hObject, handles);


% --- Executes on button press in pushbutton5.
function pushbutton5_Callback(hObject, eventdata, handles)
% hObject    handle to pushbutton5 (see GCBO)
% eventdata  reserved - to be defined in a future version of MATLAB
% handles    structure with handles and user data (see GUIDATA)
if isequal(handles.c, 0)
    return;
end
Ims = FaceRec(handles.c, handles.sz);
% 显示
imshow(Ims, [], 'Parent', handles.axes3);
handles.Ims = Ims;
guidata(hObject, handles);

三、运行结果

在这里插入图片描述

四、备注

版本:2014a