【图像修复】基于matlab GUI三维图像复原【含Matlab源码 963期】

312 阅读5分钟

一、简介

三维图像的复原的流程如下所示:
在这里插入图片描述
根据以上流程,三维图像的复原可以分为以下几个部分:三维图像的获得,制作三维PSF,反卷积实现复原。下面分别说明。
1 三维图像的获得
将一幅图片进行微小角度的旋转,再叠加,以获得三维的图片。利用语句B=imrotate(A,angle,method,bbox)函数可以实现,其中,B表示旋转后的图片,A表示需要旋转的图片;angle表示旋转的角度;method参数可以改变插值算法,如’nearest’最邻近线性插值,’bilinear’双线性插值等;bbox参数用于指定输出图像属性:‘crop’: 通过对旋转后的图像B进行裁剪, 保持旋转后输出图像B的尺寸和输入图像A的尺寸一样;{‘loose’}:使输出图像足够大,以保证源图像旋转后超出图像尺寸范围的像素值没有丢失。
2 制作三维PSF
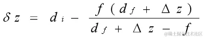
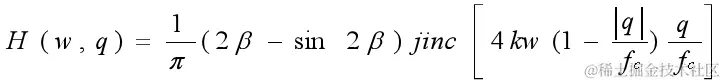
在已知显微镜的放大倍数M、数值孔径NA、照射光波长λ和光学管腔di的情况下,利用以下公式:
在这里插入图片描述
在这里插入图片描述
在这里插入图片描述
可以制作出三维的OTF,再利用otf2psf函数,即可得PSF。
3 反卷积实现复原
反卷积,即对模糊的图像进行去模糊,从而实现图像的复原。作业中采用的是最大似然法来处理,即
在这里插入图片描述
其中,h表示点扩散函数,g表示需要复原的模糊图像,表示对原始图像的估计。

二、源代码

function varargout = text(varargin)
% TEXT M-file for text.fig
%      TEXT, by itself, creates a new TEXT or raises the existing
%      singleton*.
%
%      H = TEXT returns the handle to a new TEXT or the handle to
%      the existing singleton*.
%
%      TEXT('CALLBACK',hObject,eventData,handles,...) calls the local
%      function named CALLBACK in TEXT.M with the given input arguments.
%
%      TEXT('Property','Value',...) creates a new TEXT or raises the
%      existing singleton*.  Starting from the left, property value pairs are
%      applied to the GUI before text_OpeningFcn gets called.  An
%      unrecognized property name or invalid value makes property application
%      stop.  All inputs are passed to text_OpeningFcn via varargin.
%
%      *See GUI Options on GUIDE's Tools menu.  Choose "GUI allows only one
%      instance to run (singleton)".
%
% See also: GUIDE, GUIDATA, GUIHANDLES

% Edit the above text to modify the response to help text

% Last Modified by GUIDE v2.5 09-May-2021 15:29:24

% Begin initialization code - DO NOT EDIT
gui_Singleton = 1;
gui_State = struct('gui_Name',       mfilename, ...
                   'gui_Singleton',  gui_Singleton, ...
                   'gui_OpeningFcn', @text_OpeningFcn, ...
                   'gui_OutputFcn',  @text_OutputFcn, ...
                   'gui_LayoutFcn',  [] , ...
                   'gui_Callback',   []);
if nargin && ischar(varargin{1})
    gui_State.gui_Callback = str2func(varargin{1});
end

if nargout
    [varargout{1:nargout}] = gui_mainfcn(gui_State, varargin{:});
else
    gui_mainfcn(gui_State, varargin{:});
end
% End initialization code - DO NOT EDIT


% --- Executes just before text is made visible.
function text_OpeningFcn(hObject, eventdata, handles, varargin)
% This function has no output args, see OutputFcn.
% hObject    handle to figure
% eventdata  reserved - to be defined in a future version of MATLAB
% handles    structure with handles and user data (see GUIDATA)
% varargin   command line arguments to text (see VARARGIN)

% Choose default command line output for text
handles.output = hObject;

% Update handles structure
guidata(hObject, handles);

% UIWAIT makes text wait for user response (see UIRESUME)
% uiwait(handles.figure1);


% --- Outputs from this function are returned to the command line.
function varargout = text_OutputFcn(hObject, eventdata, handles) 
% varargout  cell array for returning output args (see VARARGOUT);
% hObject    handle to figure
% eventdata  reserved - to be defined in a future version of MATLAB
% handles    structure with handles and user data (see GUIDATA)

% Get default command line output from handles structure
varargout{1} = handles.output;


% --- Executes on button press in pushbutton1.
function pushbutton1_Callback(hObject, eventdata, handles)
% hObject    handle to pushbutton1 (see GCBO)
% eventdata  reserved - to be defined in a future version of MATLAB
% handles    structure with handles and user data (see GUIDATA)


% --- Executes on button press in pushbutton2.
function pushbutton2_Callback(hObject, eventdata, handles)
% hObject    handle to pushbutton2 (see GCBO)
% eventdata  reserved - to be defined in a future version of MATLAB
% handles    structure with handles and user data (see GUIDATA)


% --- Executes on button press in pushbutton3.
function pushbutton3_Callback(hObject, eventdata, handles)
% hObject    handle to pushbutton3 (see GCBO)
% eventdata  reserved - to be defined in a future version of MATLAB
% handles    structure with handles and user data (see GUIDATA)


% --- Executes on button press in pushbutton4.
function pushbutton4_Callback(hObject, eventdata, handles)
% hObject    handle to pushbutton4 (see GCBO)
% eventdata  reserved - to be defined in a future version of MATLAB
% handles    structure with handles and user data (see GUIDATA)



function edit1_Callback(hObject, eventdata, handles)
% hObject    handle to edit1 (see GCBO)
% eventdata  reserved - to be defined in a future version of MATLAB
% handles    structure with handles and user data (see GUIDATA)

% Hints: get(hObject,'String') returns contents of edit1 as text
%        str2double(get(hObject,'String')) returns contents of edit1 as a double


% --- Executes during object creation, after setting all properties.
function edit1_CreateFcn(hObject, eventdata, handles)
% hObject    handle to edit1 (see GCBO)
% eventdata  reserved - to be defined in a future version of MATLAB
% handles    empty - handles not created until after all CreateFcns called

% Hint: edit controls usually have a white background on Windows.
%       See ISPC and COMPUTER.
if ispc && isequal(get(hObject,'BackgroundColor'), get(0,'defaultUicontrolBackgroundColor'))
    set(hObject,'BackgroundColor','white');
end



function edit2_Callback(hObject, eventdata, handles)
% hObject    handle to edit2 (see GCBO)
% eventdata  reserved - to be defined in a future version of MATLAB
% handles    structure with handles and user data (see GUIDATA)

% Hints: get(hObject,'String') returns contents of edit2 as text
%        str2double(get(hObject,'String')) returns contents of edit2 as a double


% --- Executes during object creation, after setting all properties.
function edit2_CreateFcn(hObject, eventdata, handles)
% hObject    handle to edit2 (see GCBO)
% eventdata  reserved - to be defined in a future version of MATLAB
% handles    empty - handles not created until after all CreateFcns called

% Hint: edit controls usually have a white background on Windows.
%       See ISPC and COMPUTER.
if ispc && isequal(get(hObject,'BackgroundColor'), get(0,'defaultUicontrolBackgroundColor'))
    set(hObject,'BackgroundColor','white');
end


% --- Executes on button press in pushbutton9.
function pushbutton9_Callback(hObject, eventdata, handles)
% hObject    handle to pushbutton9 (see GCBO)
% eventdata  reserved - to be defined in a future version of MATLAB
% handles    structure with handles and user data (see GUIDATA)
% 按2D最大似然法公式,在空域中,通过卷积做图像复原:
W = str2num(get(handles.edit5,'String'));

global h;
load f.mat f1;  
load g.mat g1;
fi=g1;
t1=clock;   % 循环起始时间
for i=1:W;
    a=imfilter (fi, h, 'conv', 'replicate' );       %  公式中分母的卷积。
    b=g1./a;                     %  a,g大小应相同,才能作点除。
    c=imfilter (b, h, 'conv', 'replicate' );       %  公式中的相关。    
    fi=fi.*c;                    %  最大似然法公式。点乘时,f,c应大小相同。 
end
t2=clock;   % 循环结束时间
K = str2num(get(handles.edit3,'String'));
axes(handles.axes5)
imshow(fi(:,:,K),[]);%显示3D复原图中的一幅;
N = str2num(get(handles.edit4,'String'));
f=double(f1);
for i=1:150
for j=1:150
  for k=1:N 
mse_m(i,j,k)=(f(i,j,k)-fi(i,j,k))^2;
end
end
end
hh=sum(mse_m(:));
  mse=hh/(150*150*N)
%hh=sum(mse_m(:));
%aa=sum(a(:));
 % mse=b/(a);
set(handles.edit6,'string',num2str(mse));


function edit5_Callback(hObject, eventdata, handles)
% hObject    handle to edit5 (see GCBO)
% eventdata  reserved - to be defined in a future version of MATLAB
% handles    structure with handles and user data (see GUIDATA)
input = get(handles.edit5,'String'); %get teh input from the edit text field
input = str2num(input); %change from string to number
if input<=0 
hm=msgbox('请输入范围内的值', 'error')
end
% Hints: get(hObject,'String') returns contents of edit5 as text
%        str2double(get(hObject,'String')) returns contents of edit5 as a double


% --- Executes during object creation, after setting all properties.
function edit5_CreateFcn(hObject, eventdata, handles)
% hObject    handle to edit5 (see GCBO)
% eventdata  reserved - to be defined in a future version of MATLAB
% handles    empty - handles not created until after all CreateFcns called

% Hint: edit controls usually have a white background on Windows.
%       See ISPC and COMPUTER.
if ispc && isequal(get(hObject,'BackgroundColor'), get(0,'defaultUicontrolBackgroundColor'))
    set(hObject,'BackgroundColor','white');
end

三、运行结果

在这里插入图片描述

四、备注

版本:2014a