【语音识别】基于matlab语音分帧+端点检测+pitch提取+DTW算法歌曲识别【含Matlab源码 1057期】

571 阅读4分钟

一、简介

Dynamic Time Warping(DTW)诞生有一定的历史了(日本学者Itakura提出),它出现的目的也比较单纯,是一种衡量两个长度不同的时间序列的相似度的方法。应用也比较广,主要是在模板匹配中,比如说用在孤立词语音识别(识别两段语音是否表示同一个单词),手势识别,数据挖掘和信息检索等中。

1 概述

在大部分的学科中,时间序列是数据的一种常见表示形式。对于时间序列处理来说,一个普遍的任务就是比较两个序列的相似性。
在时间序列中,需要比较相似性的两段时间序列的长度可能并不相等,在语音识别领域表现为不同人的语速不同。因为语音信号具有相当大的随机性,即使同一个人在不同时刻发同一个音,也不可能具有完全的时间长度。而且同一个单词内的不同音素的发音速度也不同,比如有的人会把“A”这个音拖得很长,或者把“i”发的很短。在这些复杂情况下,使用传统的欧几里得距离无法有效地求的两个时间序列之间的距离(或者相似性)。
2 DTW方法原理

在时间序列中,需要比较相似性的两段时间序列的长度可能并不相等,在语音识别领域表现为不同人的语速不同。而且同一个单词内的不同音素的发音速度也不同,比如有的人会把“A”这个音拖得很长,或者把“i”发的很短。另外,不同时间序列可能仅仅存在时间轴上的位移,亦即在还原位移的情况下,两个时间序列是一致的。在这些复杂情况下,使用传统的欧几里得距离无法有效地求的两个时间序列之间的距离(或者相似性)。

DTW通过把时间序列进行延伸和缩短,来计算两个时间序列性之间的相似性:
在这里插入图片描述
如上图所示,上下两条实线代表两个时间序列,时间序列之间的虚线代表两个时间序列之间的相似的点。DTW使用所有这些相似点之间的距离的和,称之为归整路径距离(Warp Path Distance)来衡量两个时间序列之间的相似性。

2 DTW计算方法:

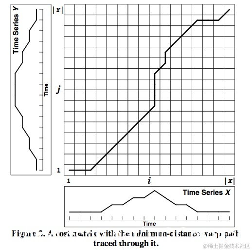
令要计算相似度的两个时间序列为X和Y,长度分别为|X|和|Y|。
归整路径(Warp Path)
归整路径的形式为W=w1,w2,…,wK,其中Max(|X|,|Y|)<=K<=|X|+|Y|。
wk的形式为(i,j),其中i表示的是X中的i坐标,j表示的是Y中的j坐标。
归整路径W必须从w1=(1,1)开始,到wK=(|X|,|Y|)结尾,以保证X和Y中的每个坐标都在W中出现。
另外,W中w(i,j)的i和j必须是单调增加的,以保证图1中的虚线不会相交,所谓单调增加是指:
在这里插入图片描述
在这里插入图片描述
上图为代价矩阵(Cost Matrix) D,D(i,j)表示长度为i和j的两个时间序列之间的归整路径距离。

二、源代码

clc;
clear;
close all;
waveFile = sprintf('同桌的你.wav');%   同桌的你  女儿情   回梦游仙    滴答    彩虹
% 读取波形---端点检测---切音框
    waveFile='同桌的你.wav';
    pivFile = sprintf('同桌的你.piv');
    pivFile=['mfcc' pivFile];
    [y,fs]=audioread(waveFile);  %读取原文件
    figure
    subplot(221)
    plot(y);
    title('原图形');
    
    frame = PointDetect(waveFile);  %端点检测
    subplot(222)
    plot(frame);
    title('端点检测');
    
    subplot(223)
    pitch=wave2pitch(frame,fs);   %计算音高
    plot(pitch);
    title('音高');
function [pitch, pdf, frameEstimated, excitation]=frame2pitch(frame, opt, showPlot)
% frame2acf: PDF (periodicity detection function) of a given frame (primarily for pitch tracking)
%
%	Usage:
%		out=frame2pdf(frame, opt, showPlot);
%			frame: Given frame
%			opt: Options for PDF computation
%				opt.pdf: PDF function to be used
%					'acf' for ACF
%					'amdf' for AMDF
%					'nsdf' for NSDF
%					'acfOverAmdf' for ACF divided by AMDF
%					'hps' for harmonics product sum
%					'ceps' for cepstrum
%				opt.maxShift: no. of shift operations, which is equal to the length of the output vector
%				opt.method: 1 for using the whole frame for shifting
%					2 for using the whole frame for shifting, but normalize the sum by it's overlap area
%					3 for using frame(1:frameSize-maxShift) for shifting
%				opt.siftOrder: order of SIFT (0 for not using SIFT)
%			showPlot: 0 for no plot, 1 for plotting the frame and ACF output
%			out: the returned PDF vector
%
%	Example:
%		waveFile='soo.wav';
%		au=myAudioRead(waveFile);
%		frameSize=256;
%		frameMat=enframe(au.signal, frameSize);
%		frame=frameMat(:, 292);
%		opt=ptOptSet(au.fs, au.nbits, 1);
%		opt.alpha=0;
%		pitch=frame2pitch(frame, opt, 1);
%
%	See also frame2acf, frame2amdf, frame2nsdf.

%	Roger Jang 20020404, 20041013, 20060313

if nargin<1, selfdemo; return; end
if nargin<2||isempty(opt), opt=ptOptSet(8000, 16, 1); end
if nargin<3, showPlot=0; end

%% ====== Preprocessing
%save frame frame
frame=frameZeroMean(frame, opt.zeroMeanPolyOrder);
%frame=frameZeroMean(frame, 0);

frameEstimated=[];
excitation=[];
if opt.siftOrder>0
	[frameEstimated, excitation, coef]=sift(frame, opt.siftOrder);	% Simple inverse filtering tracking
	frame=excitation;
end
frameSize=length(frame);
maxShift=min(frameSize, opt.maxShift);

switch lower(opt.pdf)
	case 'acf'
	%	pdf=frame2acf(frame, maxShift, opt.method);
		pdf=frame2acfMex(frame, maxShift, opt.method);
	%	if opt.method==1
	%		pdfWeight=1+linspace(0, opt.alpha, length(pdf))';
	%		pdf=pdf.*pdfWeight;	% To avoid double pitch error (esp for violin). 20110416
	%	end
	%	if opt.method==2
	%		pdfWeight=1-linspace(0, opt.alpha, length(pdf))';	% alpha is less than 1.
	%		pdf=pdf.*pdfWeight;	% To avoid double pitch error (esp for violin). 20110416
	%	end
		pdfLen=length(pdf);
		pdfWeight=opt.alpha+pdfLen*(1-opt.alpha)./(pdfLen-(0:pdfLen-1)');
		pdf=pdf.*pdfWeight;	% alpha=0==>normalized ACF, alpha=1==>tapering ACF
	case 'amdf'
	%	amdf=frame2amdf(frame, maxShift, opt.method);
		amdf=frame2amdfMex(frame, maxShift, opt.method);
		pdf=max(amdf)*(1-linspace(0,1,length(amdf))')-amdf;
	case 'nsdf'
	%	pdf=frame2nsdf(frame, maxShift, opt.method);
		pdf=frame2nsdfMex(frame, maxShift, opt.method);
	case 'acfoveramdf'
		opt.pdf='acf';
		[acfPitch, acf] =feval(mfilename, frame, opt);
		opt.pdf='amdf';
		[amdfPitch, amdf]=feval(mfilename, frame, opt);
		pdf=0*acf;
		pdf(2:end)=acf(2:end)./amdf(2:end);
	case 'hps'
		[pdf, freq]=frame2hps(frame, opt.fs, opt.zeroPaddedFactor);
	case 'ceps'
		pdf=frame2ceps(frame, opt.fs, opt.zeroPaddedFactor);
	otherwise
		error('Unknown PDF=%s!', opt.pdf);
end

switch lower(opt.pdf)
	case {'acf', 'amdf', 'nsdf', 'amdf4pt', 'acfoveramdf', 'ceps'}
		n1=floor(opt.fs/opt.freqRange(2));		% pdf(1:n1) will not be used
		n2= ceil(opt.fs/opt.freqRange(1));		% pdf(n2:end) will not be used
		if n2>length(pdf), n2=length(pdf); end
		% Update n1 such that pdf(n1)<=pdf(n1+1)
		while n1<n2 & pdf(n1)>pdf(n1+1), n1=n1+1; end
		% Update n2 such that pdf(n2)<=pdf(n2-1)
		while n2>n1 & pdf(n2)>pdf(n2-1), n2=n2-1; end
		pdf2=pdf;
		pdf2(1:n1)=-inf;
		pdf2(n2:end)=-inf;
		[maxValue, maxIndex]=max(pdf2);
		if isinf(maxValue) || maxIndex==n1+1 || maxIndex==n2-1
			pitch=0; maxIndex=nan; maxValue=nan;
		elseif opt.useParabolicFit
			deviation=optimViaParabolicFit(pdf(maxIndex-1:maxIndex+1));
			maxIndex=maxIndex+deviation;
			pitch=freq2pitch(opt.fs/(maxIndex-1));
		else
			pitch=freq2pitch(opt.fs/(maxIndex-1));
		end
	case {'hps'}
		pdf2=pdf;
		pdf2(freq<opt.freqRange(1)|freq>opt.freqRange(2))=-inf;
		[maxValue, maxIndex]=max(pdf2);
	%	if opt.useParabolicFit
	%		deviation=optimViaParabolicFit(pdf(maxIndex-1:maxIndex+1));
	%		maxIndex=maxIndex+deviation;
	%	end
		pitch=freq2pitch(freq(maxIndex));
	otherwise
		error('Unknown PDF=%s!', opt.pdf);
end

if showPlot
	subplot(2,1,1);
	plot(frame, '.-');
	set(gca, 'xlim', [-inf inf]);
	title('Input frame');
	subplot(2,1,2);
	plot(1:length(pdf), pdf, '.-', 1:length(pdf2), pdf2, '.r');
	line(maxIndex, maxValue, 'marker', '^', 'color', 'k');
	set(gca, 'xlim', [-inf inf]);
	title(sprintf('%s vector (opt.method = %d)', opt.pdf, opt.method));
end

% ====== Self demo
function selfdemo
mObj=mFileParse(which(mfilename));
strEval(mObj.example);

三、运行结果

在这里插入图片描述

四、备注

版本:2014a