【语言去噪】基于matlab GUI IIR+FIR滤波器语音去噪【含Matlab源码 1027期】

324 阅读3分钟

一、简介

1 设计原理
在这里插入图片描述
1.1 滤波器概念
在这里插入图片描述
1.2 数字滤波器的系统函数和差分方程
在这里插入图片描述
1.3 数字滤波器结构的表示
在这里插入图片描述
在这里插入图片描述
1.4 数字滤波器的分类
在这里插入图片描述
在这里插入图片描述
2.1 IIR滤波器与FIR滤波器的分析比较
在这里插入图片描述
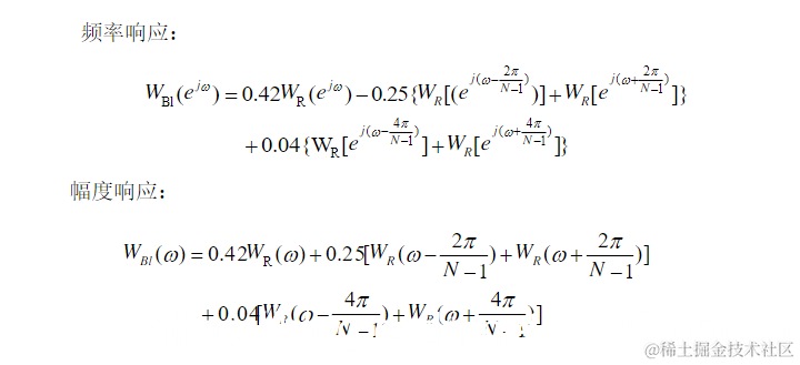
2.2 FIR滤波器的原理

在这里插入图片描述
在这里插入图片描述
在这里插入图片描述
在这里插入图片描述
在这里插入图片描述
在这里插入图片描述
在这里插入图片描述
在这里插入图片描述
3 FIR滤波器的仿真步骤
在这里插入图片描述
在这里插入图片描述

二、源代码

function varargout = DSP(varargin)
% DSP MATLAB code for DSP.fig
%      DSP, by itself, creates a new DSP or raises the existing
%      singleton*.
%
%      H = DSP returns the handle to a new DSP or the handle to
%      the existing singleton*.
%
%      DSP('CALLBACK',hObject,eventData,handles,...) calls the local
%      function named CALLBACK in DSP.M with the given input arguments.
%
%      DSP('Property','Value',...) creates a new DSP or raises the
%      existing singleton*.  Starting from the left, property value pairs are
%      applied to the GUI before DSP_OpeningFcn gets called.  An
%      unrecognized property name or invalid value makes property application
%      stop.  All inputs are passed to DSP_OpeningFcn via varargin.
%
%      *See GUI Options on GUIDE's Tools menu.  Choose "GUI allows only one
%      instance to run (singleton)".
%
% See also: GUIDE, GUIDATA, GUIHANDLES

% Edit the above text to modify the response to help DSP

% Last Modified by GUIDE v2.5 13-Dec-2020 17:32:39

% Begin initialization code - DO NOT EDIT
gui_Singleton = 1;
gui_State = struct('gui_Name',       mfilename, ...
                   'gui_Singleton',  gui_Singleton, ...
                   'gui_OpeningFcn', @DSP_OpeningFcn, ...
                   'gui_OutputFcn',  @DSP_OutputFcn, ...
                   'gui_LayoutFcn',  [] , ...
                   'gui_Callback',   []);
if nargin && ischar(varargin{1})
    gui_State.gui_Callback = str2func(varargin{1});%
end

if nargout
    [varargout{1:nargout}] = gui_mainfcn(gui_State, varargin{:});
else
    gui_mainfcn(gui_State, varargin{:});
end
% End initialization code - DO NOT EDIT


% --- Executes just before DSP is made visible.
function DSP_OpeningFcn(hObject, eventdata, handles, varargin)
% This function has no output args, see OutputFcn.
% hObject    handle to figure
% eventdata  reserved - to be defined in a future version of MATLAB
% handles    structure with handles and user data (see GUIDATA)
% varargin   command line arguments to DSP (see VARARGIN)

% Choose default command line output for DSP
handles.output = hObject;

% Update handles structure
guidata(hObject, handles);

% UIWAIT makes DSP wait for user response (see UIRESUME)
% uiwait(handles.main);


% --- Outputs from this function are returned to the command line.
function varargout = DSP_OutputFcn(hObject, eventdata, handles) 
% varargout  cell array for returning output args (see VARARGOUT);
% hObject    handle to figure
% eventdata  reserved - to be defined in a future version of MATLAB
% handles    structure with handles and user data (see GUIDATA)

% Get default command line output from handles structure
varargout{1} = handles.output;


% --------------------------------------------------------------------
function file_Callback(hObject, eventdata, handles)
% hObject    handle to file (see GCBO)
% eventdata  reserved - to be defined in a future version of MATLAB
% handles    structure with handles and user data (see GUIDATA)


% --------------------------------------------------------------------
function noise_Callback(hObject, eventdata, handles)
% hObject    handle to noise (see GCBO)
% eventdata  reserved - to be defined in a future version of MATLAB
% handles    structure with handles and user data (see GUIDATA)


% --------------------------------------------------------------------
function filter_Callback(hObject, eventdata, handles)
% hObject    handle to filter (see GCBO)
% eventdata  reserved - to be defined in a future version of MATLAB
% handles    structure with handles and user data (see GUIDATA)


% --------------------------------------------------------------------
function help_Callback(hObject, eventdata, handles)
% hObject    handle to help (see GCBO)
% eventdata  reserved - to be defined in a future version of MATLAB
% handles    structure with handles and user data (see GUIDATA)


% --------------------------------------------------------------------
function help_doc_Callback(hObject, eventdata, handles)
% hObject    handle to help_doc (see GCBO)
% eventdata  reserved - to be defined in a future version of MATLAB
% handles    structure with handles and user data (see GUIDATA)


% --------------------------------------------------------------------
function about_Callback(hObject, eventdata, handles)
% hObject    handle to about (see GCBO)
% eventdata  reserved - to be defined in a future version of MATLAB
% handles    structure with handles and user data (see GUIDATA)
string =str2mat('     声音处理示例程序',[],'     版本:1.0',[],'     开发:项晓强 褚倩云 徐如林',[],'     电子邮箱:xrlin@163.com',[],'     特别鸣谢:安大航模队大力赞助');
msgbox(string);

% --------------------------------------------------------------------
function IIR_Callback(hObject, eventdata, handles)
% hObject    handle to IIR (see GCBO)
% eventdata  reserved - to be defined in a future version of MATLAB
% handles    structure with handles and user data (see GUIDATA)


% --------------------------------------------------------------------
function FIR_Callback(hObject, eventdata, handles)
% hObject    handle to FIR (see GCBO)
% eventdata  reserved - to be defined in a future version of MATLAB
% handles    structure with handles and user data (see GUIDATA)


% --------------------------------------------------------------------
function flat_noise_Callback(hObject, eventdata, handles)
% hObject    handle to flat_noise (see GCBO)
% eventdata  reserved - to be defined in a future version of MATLAB
% handles    structure with handles and user data (see GUIDATA)

set(handles.L1,'Visible','off');
set(handles.L2,'Visible','off');
set(handles.L3,'Visible','off');
set(handles.L4,'Visible','off');
set(handles.E1,'Visible','off');
set(handles.E2,'Visible','off');
set(handles.E3,'Visible','off');
set(handles.E4,'Visible','off');
set(handles.single_run,'Enable','off');
set(handles.multi_run,'Enable','off');
set(handles.IIR_run,'Enable','off');
set(handles.FIR_run,'Enable','off');

wav = evalin('base','data');
fs = evalin('base','Fs');
reswav = awgn(wav,20);%添加信噪比为10dB的高斯噪声
assignin('base','resdata',reswav);
fftwav = abs(fft(reswav));
axes(handles.Time);
x = (0:length(reswav)-1)/fs;
handles.Line1 = plot(x,reswav);
guidata(hObject,handles);%保存值
set(handles.Time,'XMinorTick','on');
grid on;
xlabel('时间/s');
ylabel('幅度');
title('时域图');


axes(handles.Freq);
xf = (0:length(reswav)-1)'*fs/length(fftwav);
handles.Line2 = plot(xf,fftwav);
guidata(hObject,handles);%保存值
set(handles.Freq,'XMinorTick','on');
grid on;
xlabel('频率/Hz');
ylabel('幅度');
title('频域图');
assignin('base','flag',1);

三、运行结果

在这里插入图片描述
在这里插入图片描述
在这里插入图片描述
在这里插入图片描述

四、备注

版本:2014a