【瑕疵检测】基于matlab GUI灰度共生矩阵痕迹检测【含Matlab源码 863期】

207 阅读9分钟

一、简介

1 灰度共生矩阵生成原理
灰度共生矩阵(GLDM)的统计方法是20世纪70年代初由R.Haralick等人提出的,它是在假定图像中各像素间的空间分布关系包含了图像纹理信息的前提下,提出的具有广泛性的纹理分析方法。

灰度共生矩阵被定义为从灰度为i的像素点出发,离开某个固定位置(相隔距离为d,方位为)的点上灰度值为的概率,即,所有估计的值可以表示成一个矩阵的形式,以此被称为灰度共生矩阵。对于纹理变化缓慢的图像,其灰度共生矩阵对角线上的数值较大;而对于纹理变化较快的图像,其灰度共生矩阵对角线上的数值较小,对角线两侧的值较大。由于灰度共生矩阵的数据量较大,一般不直接作为区分纹理的特征,而是基于它构建的一些统计量作为纹理分类特征。Haralick曾提出了14种基于灰度共生矩阵计算出来的统计量:即:能量、熵、对比度、均匀性、相关性、方差、和平均、和方差、和熵、差方差、差平均、差熵、相关信息测度以及最大相关系数。

在网上看了很多灰度共生矩阵生成的例子感觉都没有说明白,要不就直接上结果要不就给一堆看不懂的代码和公式,后来看了matlab中的介绍就明白了,其实很简单,仔细把下面的看三遍就理解怎么来的了!(我是第三篇看明白的,当时很紧张,相信你们没问题)
下图显示了如何求解灰度共生矩阵,以(1,1)点为例,GLCM(1,1)值为1说明只有一对灰度为1的像素水平相邻。GLCM(1,2)值为2,是因为有两对灰度为1和2的像素水平相邻。(MatLab说明文档) 。
在这里插入图片描述
GLCM表其实就是所有像素可能的组合,比如,GLCM(1,1)就是I中像素值为1和1的组合,GLCM(4,5)就是I中像素4和像素5的组合,GLCM(i,j)的值呢就是I中像素为i,像素为j的有有多少和相邻的成对点。这个相邻有个规则:就是f(x,y),f(x+a,y+b)相邻,就是只有x相隔a的单位,y相隔b个单位,我们认为是相邻的。
平时我们说相邻:B点在A点右边,其实就是这里的a=1,b=0,也就是f(x,y)和f(x+1,y+0)相邻。
于是就有了:
a=1,b=0 时我们就说水平相邻:也就是0度的时候
a=1,b=1 时我们就说对角相邻,也就是45度的时候
a=-1,b=1时 即135度
其他角度类似。
在a=1,b=0时:GLCM(1,1)=1;其实就是I中有几个1和1相邻(1个)(按上面的规则)GLCM(1,2)=2,几个1和2相邻(2个)。ok!
后面好多的性质,都是在把这个矩阵计算出来之后再在这个基础上运算的,那些就不难了!
附加理解2:
共生矩阵用两个位置的像素的联合概率密度来定义,它不仅反映亮度的分布特征,也反映具有同样亮度或者接近亮度的像素之间的位置分布特性,是有关图像亮度变化的二阶统计特征。它是定义一组纹理特征的基础。

由于纹理是由灰度在空间位置上反复出现而形成的,因而在图像空间中像个某距离的两像素之间会存在一定的灰度关系,即图像中灰度的空间相关特性。灰度共生矩阵就是一种通过研究灰度的空间相关特性来描述纹理的常用方法。

灰度直方图是对图像上单个像素具有某个灰度进行统计的结果,

而灰度共生矩阵是对图像上保持某距离的两像素分别具有某灰度的状况进行统计得到的。
取图像(N×N)中任意一点 (x,y)及偏离它的另一点 (x+a,y+b),设该点对的灰度值为(g1,g2)。令点(x,y) 在整个画面上移动,则会得到各种 (g1,g2)值,设灰度值的级数为 k,则(g1,g2) 的组合共有 k^2;种。对于整个画面,统计出每一种(g1,g2)值出现的次数,然后排列成一个方阵,在用(g1,g2) 出现的总次数将它们归一化为出现的概率P(g1,g2),这样的方阵称为灰度共生矩阵。距离差分值(a,b) 取不同的数值组合,可以得到不同情况下的联合概率矩阵。(a,b)取值要根据纹理周期分布的特性来选择,对于较细的纹理,选取(1,0)、(1,1)、(2,0)等小的差分值。  当 a=1,b=0时,像素对是水平的,即0度扫描;当a=0,b=1 时,像素对是垂直的,即90度扫描;当 a=1,b=1时,像素对是右对角线的,即45度扫描;当 a=-1,b=-1时,像素对是左对角线,即135度扫描。
这样,两个象素灰度级同时发生的概率,就将 (x,y)的空间坐标转化为“灰度对” (g1,g2)的描述,形成了灰度共生矩阵。(百度百科)
一幅图象的灰度共生矩阵能反映出图象灰度关于方向、相邻间隔、变化幅度的综合信息,它是分析图象的局部模式和它们排列规则的基础。
感觉差不多了吧!

2 灰度共生矩阵特征量
灰度共生矩阵特征量
2.1对比度
度量 矩阵的值是如何分布和图像中局部变化的多少,反应了图像的清晰度和纹理的沟纹深浅。纹理的沟纹越深,反差越大,效果越清晰;反之,对比值小,则沟纹浅,效果模糊。
在这里插入图片描述
2.2 能量

能量变换反映了图像灰度分布均匀程度和纹理粗细度。若灰度共生矩阵的元素值相近,则能量较小,表示纹理细致;若其中一些值大,而其它值小,则能量值较大。能量值大表明一种较均一和规则变化的纹理模式。
在这里插入图片描述
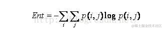
2.3 熵

图像包含信息量的随机性度量。当共生矩阵中所有值均相等或者像素值表现出最大的随机性时,熵最大;因此熵值表明了图像灰度分布的复杂程度,熵值越大,图像越复杂。
在这里插入图片描述
2.4 逆方差

逆方差反映了图像纹理局部变化的大小,若图像纹理的不同区域间较均匀,变化缓慢,逆方差会较大,反之较小。

在这里插入图片描述
2.5相关性

用来度量图像的灰度级在行或列方向上的相似程度,因此值得大小反应了局部灰度相关性,值越大,相关性也越大。
在这里插入图片描述

二、源代码

function varargout = td(varargin)
% TD M-file for td.fig
%      TD, by itself, creates a new TD or raises the existing
%      singleton*.
%
%      H = TD returns the handle to a new TD or the handle to
%      the existing singleton*.
%
%      TD('CALLBACK',hObject,eventData,handles,...) calls the local
%      function named CALLBACK in TD.M with the given input arguments.
%
%      TD('Property','Value',...) creates a new TD or raises the
%      existing singleton*.  Starting from the left, property value pairs are
%      applied to the GUI before td_OpeningFunction gets called.  An
%      unrecognized property name or invalid value makes property application
%      stop.  All inputs are passed to td_OpeningFcn via varargin.
%
%      *See GUI Options on GUIDE's Tools menu.  Choose "GUI allows only one
%      instance to run (singleton)".
%
% See also: GUIDE, GUIDATA, GUIHANDLES

% Copyright 2002-2003 The MathWorks, Inc.

% Edit the above text to modify the response to help td

% Last Modified by GUIDE v2.5 12-May-2015 11:29:39

% Begin initialization code - DO NOT EDIT
gui_Singleton = 1;
gui_State = struct('gui_Name',       mfilename, ...
                   'gui_Singleton',  gui_Singleton, ...
                   'gui_OpeningFcn', @td_OpeningFcn, ...
                   'gui_OutputFcn',  @td_OutputFcn, ...
                   'gui_LayoutFcn',  [] , ...
                   'gui_Callback',   []);
if nargin && ischar(varargin{1})
    gui_State.gui_Callback = str2func(varargin{1});
end

if nargout
    [varargout{1:nargout}] = gui_mainfcn(gui_State, varargin{:});
else
    gui_mainfcn(gui_State, varargin{:});
end
% End initialization code - DO NOT EDIT


% --- Executes just before td is made visible.
function td_OpeningFcn(hObject, eventdata, handles, varargin)
% This function has no output args, see OutputFcn.
% hObject    handle to figure
% eventdata  reserved - to be defined in a future version of MATLAB
% handles    structure with handles and user data (see GUIDATA)
% varargin   command line arguments to td (see VARARGIN)

% Choose default command line output for td
handles.output = hObject;

% Update handles structure
guidata(hObject, handles);

% UIWAIT makes td wait for user response (see UIRESUME)
% uiwait(handles.figure1);


% --- Outputs from this function are returned to the command line.
function varargout = td_OutputFcn(hObject, eventdata, handles) 
% varargout  cell array for returning output args (see VARARGOUT);
% hObject    handle to figure
% eventdata  reserved - to be defined in a future version of MATLAB
% handles    structure with handles and user data (see GUIDATA)

% Get default command line output from handles structure
varargout{1} = handles.output;


% --- Executes on button press in open1.
function open1_Callback(hObject, eventdata, handles)
% hObject    handle to open1 (see GCBO)
% eventdata  reserved - to be defined in a future version of MATLAB
% handles    structure with handles and user data (see GUIDATA)
global im1
[filename,pathname]=uigetfile({'*.jpg';'*.bmp';'*.tif';'*.png'},'select picture');  %§§
%§§
str=[pathname filename];
%
im1=imread(str);
%axes
axes(handles.axes1);
imshow(im1);


% --- Executes on button press in open2.
function open2_Callback(hObject, eventdata, handles)
% hObject    handle to open2 (see GCBO)
% eventdata  reserved - to be defined in a future version of MATLAB
% handles    structure with handles and user data (see GUIDATA)
global im2
[filename,pathname]=uigetfile({'*.jpg';'*.bmp';'*.tif';'*.png'},'select picture');  %§§
%§§
str=[pathname filename];
%
im2=imread(str);
%axes
axes(handles.axes2);
imshow(im2);




% --- Executes on button press in .
%function _Callback(hObject, eventdata, handles)
% hObject    handle to  (see GCBO)
% eventdata  reserved - to be defined in a future version of MATLAB
% handles    structure with handles and user data (see GUIDATA)


% --- Executes on button press in junhenghua.
function junhenghua_Callback(hObject, eventdata, handles)
% hObject    handle to junhenghua (see GCBO)
% eventdata  reserved - to be defined in a future version of MATLAB
% handles    structure with handles and user data (see GUIDATA)
global im1
global im2
%im1=~im1;
%im1=bwmorph(im1,'thin',Inf);
%th1=graythresh(im1);
%im1=im2bw(im1,th1);
im1=histeq(im1);
axes(handles.axes1);
imshow(im1);
%im2=double(im2);
%im2=histeq(im2);
%th2=graythresh(im2);
%im2=im2bw(im2,th2);
im2=histeq(im2);
axes(handles.axes2);
imshow(im2);

% --- Executes on button press in pushbutton5.
function pushbutton5_Callback(hObject, eventdata, handles)
% hObject    handle to pushbutton5 (see GCBO)
% eventdata  reserved - to be defined in a future version of MATLAB
% handles    structure with handles and user data (see GUIDATA)


% --- Executes on button press in pushbutton6.
function pushbutton6_Callback(hObject, eventdata, handles)
% hObject    handle to pushbutton6 (see GCBO)
% eventdata  reserved - to be defined in a future version of MATLAB
% handles    structure with handles and user data (see GUIDATA)


% --- Executes on button press in huiduhua.
function huiduhua_Callback(hObject, eventdata, handles)
% hObject    handle to huiduhua (see GCBO)
% eventdata  reserved - to be defined in a future version of MATLAB
% handles    structure with handles and user data (see GUIDATA)
global im1
global im2
%[d1,d2,d3] = size(im1); 
%if(d3 > 1) 
im1=rgb2gray(im1);
%end
%im1= double(im1) / 255; 
%im1= uint8(255 * im1* 0.5 + 0.5); 
%th=graythresh(im1);
%im1=im2bw(im1,th);
axes(handles.axes1);
imshow(im1);
im2=rgb2gray(im2);
%th=graythresh(im2);
%im2=im2bw(im2,th);
axes(handles.axes2);
imshow(im2);

% --- Executes during object creation, after setting all properties.
function text1_CreateFcn(hObject, eventdata, handles)
% hObject    handle to text1 (see GCBO)
% eventdata  reserved - to be defined in a future version of MATLAB
% handles    empty - handles not created until after all CreateFcns called




% --- Executes on button press in quzao.
function quzao_Callback(hObject, eventdata, handles)
% hObject    handle to quzao (see GCBO)
% eventdata  reserved - to be defined in a future version of MATLAB
% handles    structure with handles and user data (see GUIDATA)
global im1
global im2
%im1=double(im1);
im1=medfilt2(im1);
axes(handles.axes1);
imshow(im1);
%im2=double(im2);
im2=medfilt2(im2);
axes(handles.axes2);
imshow(im2);

三、运行结果

在这里插入图片描述
在这里插入图片描述

四、备注

版本:2014a