【语音识别】基于matlab动态时间规整(DTW)孤立字语音识别【含Matlab源码 573期】

190 阅读3分钟

一、简介

Dynamic Time Warping(DTW)诞生有一定的历史了(日本学者Itakura提出),它出现的目的也比较单纯,是一种衡量两个长度不同的时间序列的相似度的方法。应用也比较广,主要是在模板匹配中,比如说用在孤立词语音识别(识别两段语音是否表示同一个单词),手势识别,数据挖掘和信息检索等中。

1 概述

在大部分的学科中,时间序列是数据的一种常见表示形式。对于时间序列处理来说,一个普遍的任务就是比较两个序列的相似性。
在时间序列中,需要比较相似性的两段时间序列的长度可能并不相等,在语音识别领域表现为不同人的语速不同。因为语音信号具有相当大的随机性,即使同一个人在不同时刻发同一个音,也不可能具有完全的时间长度。而且同一个单词内的不同音素的发音速度也不同,比如有的人会把“A”这个音拖得很长,或者把“i”发的很短。在这些复杂情况下,使用传统的欧几里得距离无法有效地求的两个时间序列之间的距离(或者相似性)。
2 DTW方法原理

在时间序列中,需要比较相似性的两段时间序列的长度可能并不相等,在语音识别领域表现为不同人的语速不同。而且同一个单词内的不同音素的发音速度也不同,比如有的人会把“A”这个音拖得很长,或者把“i”发的很短。另外,不同时间序列可能仅仅存在时间轴上的位移,亦即在还原位移的情况下,两个时间序列是一致的。在这些复杂情况下,使用传统的欧几里得距离无法有效地求的两个时间序列之间的距离(或者相似性)。

DTW通过把时间序列进行延伸和缩短,来计算两个时间序列性之间的相似性:
在这里插入图片描述
如上图所示,上下两条实线代表两个时间序列,时间序列之间的虚线代表两个时间序列之间的相似的点。DTW使用所有这些相似点之间的距离的和,称之为归整路径距离(Warp Path Distance)来衡量两个时间序列之间的相似性。

2 DTW计算方法:

令要计算相似度的两个时间序列为X和Y,长度分别为|X|和|Y|。
归整路径(Warp Path)
归整路径的形式为W=w1,w2,…,wK,其中Max(|X|,|Y|)<=K<=|X|+|Y|。
wk的形式为(i,j),其中i表示的是X中的i坐标,j表示的是Y中的j坐标。
归整路径W必须从w1=(1,1)开始,到wK=(|X|,|Y|)结尾,以保证X和Y中的每个坐标都在W中出现。
另外,W中w(i,j)的i和j必须是单调增加的,以保证图1中的虚线不会相交,所谓单调增加是指:
在这里插入图片描述
在这里插入图片描述
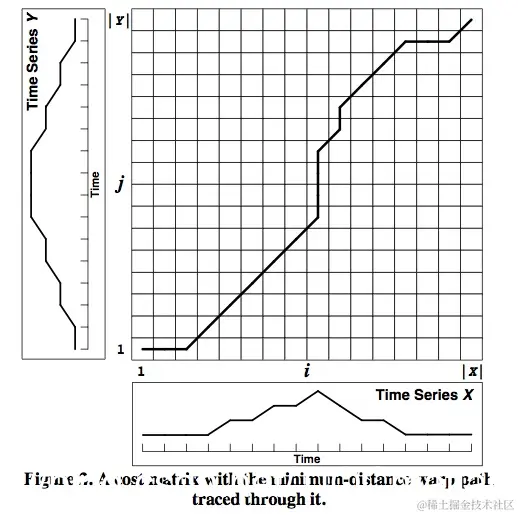
上图为代价矩阵(Cost Matrix) D,D(i,j)表示长度为i和j的两个时间序列之间的归整路径距离。

二、源代码

function trimmed_X = my_vad(x)
%端点检测;输入为录入语音,输出为有用信号

Ini = 0.1;          %初始静默时间
Ts = 0.01;          %窗的时长
Tsh = 0.005;        %帧移时长
Fs = 16000;         %采样频率
counter1 = 0;       %以下四个参数用来寻找起始点和结束点
counter2 = 0;
counter3 = 0;
counter4 = 0;
ZCRCountf = 0;      %用于存储过零率检测结果
ZCRCountb = 0;     
ZTh = 40;           %过零阈值
w_sam = fix(Ts*Fs);                   %窗口长度
o_sam = fix(Tsh*Fs);                  %帧移长度
lengthX = length(x);
segs = fix((lengthX-w_sam)/o_sam)+1;  %分帧数
sil = fix((Ini-Ts)/Tsh)+1;            %静默时间帧数
win = hamming(w_sam);

Limit = o_sam*(segs-1)+1;             %最后一帧的起始位置

FrmIndex = 1:o_sam:Limit;             %每一帧的起始位置
ZCR_Vector = zeros(1,segs);           %记录每一帧的过零点数
                                     
%短时过零点
for t = 1:segs
    ZCRCounter = 0; 
    nextIndex = (t-1)*o_sam+1;
    for r = nextIndex+1:(nextIndex+w_sam-1)
        if (x(r) >= 0) && (x(r-1) >= 0)
         
        elseif (x(r) > 0) && (x(r-1) < 0)
         ZCRCounter = ZCRCounter + 1;
        elseif (x(r) < 0) && (x(r-1) < 0)
         
        elseif (x(r) < 0) && (x(r-1) > 0)
         ZCRCounter = ZCRCounter + 1;
        end
    end
    ZCR_Vector(t) = ZCRCounter;
end

%短时平均幅度
Erg_Vector = zeros(1,segs);
for u = 1:segs
    nextIndex = (u-1)*o_sam+1;
    Energy = x(nextIndex:nextIndex+w_sam-1).*win;
    Erg_Vector(u) = sum(abs(Energy));
end

IMN = mean(Erg_Vector(1:sil));  %静默能量均值(噪声均值)
IMX = max(Erg_Vector);          %短时平均幅度的最大值
I1 = 0.03 * (IMX-IMN) + IMN;    %I1,I2为初始能量阈值
I2 = 4 * IMN;
ITL = 100*min(I1,I2);            %能量阈值下限,前面系数根据实际情况更改得到合适结果
ITU = 10* ITL;                  %能量阈值上限
IZC = mean(ZCR_Vector(1:sil));  
stdev = std(ZCR_Vector(1:sil)); %静默阶段过零率标准差

IZCT = min(ZTh,IZC+2*stdev);    %过零率阈值
indexi = zeros(1,lengthX);      
indexj = indexi;               
indexk = indexi;
indexl = indexi;

%搜寻超过能量阈值上限的部分
for i = 1:length(Erg_Vector)
    if (Erg_Vector(i) > ITU)
        counter1 = counter1 + 1;
        indexi(counter1) = i;
    end
end
ITUs = indexi(1);        %第一个能量超过阈值上限的帧

%搜寻能量超过能量下限的部分
for j = ITUs:-1:1
    if (Erg_Vector(j) < ITL)
        counter2 = counter2 + 1;
        indexj(counter2) = j;
    end
end
start = indexj(1)+1;    %第一级判决起始帧

Erg_Vectorf = fliplr(Erg_Vector);%将能量矩阵关于中心左右对称,如果是一行向量相当于逆序 

%重复上面过程相当于找结束帧
for k = 1:length(Erg_Vectorf)
    if (Erg_Vectorf(k) > ITU)
        counter3 = counter3 + 1;
        indexk(counter3) = k;
    end
end
%初始化DTW判别矩阵
Scores1 = zeros(1,N);                
Scores2 = zeros(1,N);
Scores3 = zeros(1,N);


%加载模板数据
s1 = load('Vectors1.mat');
fMatrixall1 = struct2cell(s1);
s2 = load('Vectors2.mat');
fMatrixall2 = struct2cell(s2);
s3 = load('Vectors3.mat');
fMatrixall3 = struct2cell(s3);


%计算DTW
for i = 1:N
    fMatrix1 = fMatrixall1{i,1};
    fMatrix1 = CMN(fMatrix1);
    Scores1(i) = myDTW(fMatrix1,rMatrix);
end

for j = 1:N
    fMatrix2 = fMatrixall2{j,1};
    fMatrix2 = CMN(fMatrix2);
    Scores2(j) = myDTW(fMatrix2,rMatrix);
end

三、运行结果

在这里插入图片描述

四、备注

版本:2014a