【图像去噪】基于matalb小波变换(中值+硬阙值+软阙值)图像去噪【含Matlab源码 462期】

245 阅读4分钟

一、简介

1974年,法国工程师J.Morlet首先提出小波变换的概念,1986年著名数学家Y.Meyer偶然构造出一个真正的小波基,并与S.Mallat合作建立了构造小波基的多尺度分析之后,小波分析才开始蓬勃发展起来。小波分析的应用领域十分广泛,在数学方面,它已用于数值分析、构造快速数值方法、曲线曲面构造、微分方程求解、控制论等。在信号分析方面的滤波、去噪声、压缩、传递等。在图像处理方面的图像压缩、分类、识别与诊断,去噪声等。本章将着重阐述小波在图像中的应用分析。
1 小波变换原理
小波分析是一个比较难的分支,用户采用小波变换,可以实现图像压缩,振动信号的分解与重构等,因此在实际工程上应用较广泛。小波分析与Fourier变换相比,小波变换是空间域和频率域的局部变换,因而能有效地从信号中提取信息。小波变换通过伸缩和平移等基本运算,实现对信号的多尺度分解与重构,从而很大程度上解决了Fourier变换带来的很多难题。
小波分析作一个新的数学分支,它是泛函分析、Fourier分析、数值分析的完美结晶;小波分析也是一种“时间—尺度”分析和多分辨分析的新技术,它在信号分析、语音合成、图像压缩与识别、大气与海洋波分析等方面的研究,都有广泛的应用。
(1)小波分析用于信号与图像压缩。小波压缩的特点是压缩比高,压缩速度快,压缩后能保持信号与图像的特征不变,且在传递中能够抗干扰。基于小波分析的压缩方法很多,具体有小波压缩,小波包压缩,小波变换向量压缩等。
(2)小波也可以用于信号的滤波去噪、信号的时频分析、信噪分离与提取弱信号、求分形指数、信号的识别与诊断以及多尺度边缘检测等。
(3)小波分析在工程技术等方面的应用概括的包括计算机视觉、曲线设计、湍流、远程宇宙的研究与生物医学方面。
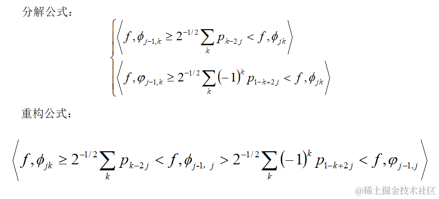
2 多尺度分析
在这里插入图片描述
3 图像的分解和量化
在这里插入图片描述
4 图像压缩编码
在这里插入图片描述
5 图像编码评价
在这里插入图片描述

二、源代码

clc
clear all
close all
x1=imread('lena.bmp');%读入图像的值为无符号型unit8(),进行矩阵操作前必须先转换为矩阵运算所支持的double()双精度型。
figure(1);
subplot(2,3,1)
imshow(x1);
title('原图');


%添加高斯噪声
x2=imnoise(x1,'gaussian',0.01);
x1=double(x1);
subplot(2,3,2);
imshow(x2);
title('加噪后');
x3=double(x2);
%加噪后的信噪比
SNR=10*log(sum(x1.^2)/(sum((x3-x1).^2)))
[h0,h1]=wave1(x3);
%一次分解
[h00,h01]=wave1(h0');
[h10,h11]=wave1(h1');
% %% 中值滤波
% x0=rgb2gray(x1); %灰度处理,灰度处理后的图像是二维矩阵 
n=3;    %模板大小
[height, width]=size(x1);   %获取图像的尺寸(n小于图片的宽高)
x11=double(x2);  %数据类型转换
x22=x11;  %转换后的数据赋给x2
for i=1:height-n+1  
    for j=1:width-n+1  
        c=x11(i:i+(n-1),j:j+(n-1)); %在x1中从头取模板大小的块赋给c  
        e=c(1,:);      %e中存放是c矩阵的第一行  
        for u=2:n  %将c中的其他行元素取出来接在e后使e为一个行矩阵 
            e=[e,c(u,:)];          
        end  
        med=median(e);      %取一行的中值  
        x22(i+(n-1)/2,j+(n-1)/2)=med;   %将模板各元素的中值赋给模板中心位置的元素  
    end  
end    
d=uint8(x22);  %未被赋值的元素取原值 

subplot(2,3,3);; imshow(d); title('中值滤波')%显示过滤后的灰度图片
% %硬阈值去噪
[t]=Throld(h11);
% [Sh00]=Soft(h00,t);
[hh01]=Soft(h01,t);
[hh10]=Soft(h10,t);
[hh11]=Soft(h11,t);
%图像重构
[H1]=revers1(h00,hh01);
[H2]=revers1(hh10,hh11);
[H3]=revers1(H1',H2');
%软阈值去噪后的信噪比
SNRH=10*log(sum(x1.^2)/(sum((H3-x1).^2)))
SS1=uint8(H3);
subplot(2,3,4)
imshow(SS1);
title('硬阈值去噪');

% %软阈值去噪

% [Sh00]=Soft(h00,t);
[Sh01]=Soft(h01,t);
[Sh10]=Soft(h10,t);
[Sh11]=Soft(h11,t);
%图像重构
function [T]=HardSoft(x,t)
[m,n]=size(x);
for i=1:m
    for j=1:n
        if(abs(x(i,j))<t)
            x(i,j)=0;
        else
            x(i,j)=(sign(x(i,j)))*(abs(x(i,j))-0.7*t);
        end
    end
end
T=x;
function [T]=Soft(x,t)

[m,n]=size(x);
for i=1:m
    for j=1:n
        if(abs(x(i,j))<t)
            x(i,j)=0;
        else
            x(i,j)=(sign(x(i,j)))*(abs(x(i,j))-t);
        end
    end
end
T=x;

三、运行结果

在这里插入图片描述

四、备注

版本:2014a