【预测模型】基于matlab RBF神经网络预测模型【含Matlab源码 177期】

158 阅读2分钟

一、简介

RBF神将网络是一种三层神经网络,其包括输入层、隐层、输出层。从输入空间到隐层空间的变换是非线性的,而从隐层空间到输出层空间变换是线性的。流图如下:
在这里插入图片描述
RBF网络的基本思想是:用RBF作为隐单元的“基”构成隐含层空间,这样就可以将输入矢量直接映射到隐空间,而不需要通过权连接。当RBF的中心点确定以后,这种映射关系也就确定了。而隐含层空间到输出空间的映射是线性的,即网络的输出是隐单元输出的线性加权和,此处的权即为网络可调参数。其中,隐含层的作用是把向量从低维度的p映射到高维度的h,这样低维度线性不可分的情况到高维度就可以变得线性可分了,主要就是核函数的思想。这样,网络由输入到输出的映射是非线性的,而网络输出对可调参数而言却又是线性的。网络的权就可由线性方程组直接解出,从而大大加快学习速度并避免局部极小问题。
在这里插入图片描述
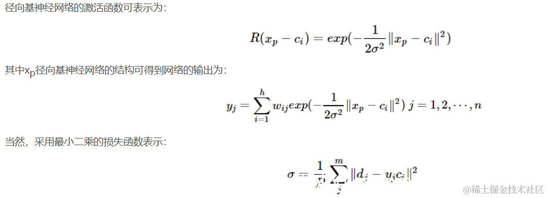
2 RBF神经网络的学习问题
在这里插入图片描述

二、源代码

%% I. 清空环境变量
clear all
clc

%% II. 训练集/测试集产生
%%
% 1. 导入数据
load iris_data.mat

%%
% 2 随机产生训练集和测试集
P_train = [];
T_train = [];
P_test = [];
T_test = [];
for i = 1:3
    temp_input = features((i-1)*50+1:i*50,:);
    temp_output = classes((i-1)*50+1:i*50,:);
    n = randperm(50);
    % 训练集——120个样本
    P_train = [P_train temp_input(n(1:40),:)'];
    T_train = [T_train temp_output(n(1:40),:)'];
    % 测试集——30个样本
    P_test = [P_test temp_input(n(41:50),:)'];
    T_test = [T_test temp_output(n(41:50),:)'];
end

%% III. 模型建立 
result_grnn = [];
result_pnn = [];
time_grnn = [];
time_pnn = [];
for i = 1:4
    for j = i:4
        p_train = P_train(i:j,:);
        p_test = P_test(i:j,:);
       %% 
        % 1. GRNN创建及仿真测试
        t = cputime;
        % 创建网络
        net_grnn = newgrnn(p_train,T_train);
        % 仿真测试
        t_sim_grnn = sim(net_grnn,p_test);
        T_sim_grnn = round(t_sim_grnn);
        t = cputime - t;
        time_grnn = [time_grnn t];
        result_grnn = [result_grnn T_sim_grnn'];
       %%
        % 2. PNN创建及仿真测试
        t = cputime;
        Tc_train = ind2vec(T_train);
        % 创建网络
        net_pnn = newpnn(p_train,Tc_train);
        % 仿真测试
        Tc_test = ind2vec(T_test);
        t_sim_pnn = sim(net_pnn,p_test);
        T_sim_pnn = vec2ind(t_sim_pnn);
        t = cputime - t;
        time_pnn = [time_pnn t];
        result_pnn = [result_pnn T_sim_pnn'];
    end
end

三、运行结果

在这里插入图片描述

四、备注

版本:2014a