【TWVRP】基于matlab遗传算法求解带时间窗的车辆路径问题【含Matlab源码 002期】

406 阅读7分钟

一、简介

1 VRP问题
车辆路径规划问题(Vehicle Routing Problem,VRP)一般指的是:对一系列发货点和收货点,组织调用一定的车辆,安排适当的行车路线,使车辆有序地通过它们,在满足指定的约束条件下(例如:货物的需求量与发货量,交发货时间,车辆容量限制,行驶里程限制,行驶时间限制等),力争实现一定的目标(如车辆空驶总里程最短,运输总费用最低,车辆按一定时间到达,使用的车辆数最小等)。

2 VRPTW问题
带时间窗的车辆路径规划问题(Vehicle Routing Problem with Time Window,VRPTW)是在VRP基础上添加配送时间约束条件产生的一个新问题。在这类问题中,给定车辆到达目的地的最早时间和最晚时间,要求车辆必须在规定的时间窗内到达,早于最早时间或晚于最晚时间都要产生额外的惩罚费用。此时,决策如何规划调度车辆使得配送的总费用最小化。

3 VRP与VRPTW对比:
在这里插入图片描述
4 问题描述
本文将要研究的问题参考自文章《Fruit and Vegetable Agricultural Products Logistics Transport Routing Optimization - A Case Study of Qingdao blueberries distribution》。

某果蔬农产品运输配送中心 C0 (Center)。该配送中心有足够的能力满足顾客所有对果蔬农产品数量的要求。同时该配送中心有足够多且完全相同的车辆 J 能够完成配送活动的需要,运输车辆的最大容量为 V(Volume),配送车辆在配送活动过程中均能一次到达,中间不会出现任何阻碍和特殊情况。C={C0 ,C1 ,C2 ……Cn }。其中 C0 代表配送中心。Ci (i=1,2, ……,n)(Consumer)表示有需求的客户的需求数量;n 表示有需求的客户数量。Dik (Distance):表示顾客 Ci 到顾客 Ck 的距离(其中i不等于k);Qdi (Quantity Demanded):表示顾客 Ci 的需求量;Qg (Quality good):表示果蔬农产品刚刚采摘完,完好时的果蔬农产品的质量;[ETi ,LTi ]表示客户 Ci 对某类产品的时间窗约束。

在已知以上的条件情况下,合理安排最优的配送路线使得配送过程中满足所有条件情况下,各个费用之和最少。

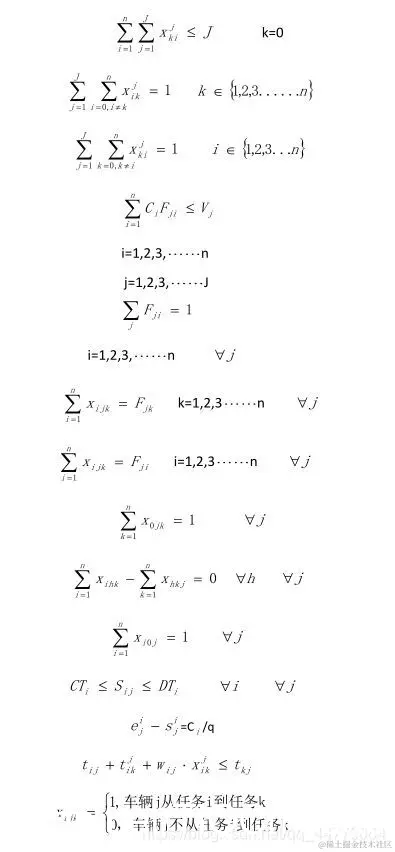
5 数学模型
(具体模型参见(三)中文献)
在这里插入图片描述
在这里插入图片描述
在这里插入图片描述
在这里插入图片描述
6 算法设计
个体编码
遗传算法求解VRPTW的文献中有多种编码方式,这里对于个体采用自然数编码,代表配送中心,代表顾客;不同车辆的配送路线之间用0分隔(即每辆车都从仓库出发);对于有个顾客,辆车的VRP问题来说,染色体长度为。

例如配送中心有3辆车为8个客户服务,一条可能的染色体如下:
0, 7, 0, 1, 2, 3, 5, 0, 8, 4, 6, 0
这条染色体表示的三辆车的行驶路线为:
第一辆车:0-7-0
第二辆车:0-1-2-3-5-0
第三辆车:0-8-4-6-0

惩罚
在交叉和突变产生的子代中,可能会有两种违反约束的形式:

车辆超载
不能在时间窗口约束给出的最晚时间点内到达指定顾客处
对这两种违反约束的情况采用静态惩罚,考虑到时间窗口更容易被违反,对其施加较大的惩罚因子。对这两种约束违反的惩罚因子分别设置为10和500。

交叉
这里参考《基于电动汽车的带时间窗的路径优化问题研究》中给出的交叉操作

突变
对选中的个体中各条子路线用2-opt算法优化

选择
育种选择:binary锦标赛选择
环境选择:采用精英保留策略,合并子代和父代后,选择数量等同于族群规模的个体
%

二、源代码

clear
clc
close all
tic
%% 用importdata这个函数来读取文件
c101=importdata('c101.txt');
vehicle_info = [2 4	350	50;
3	6	350	50;
6	15	450	100;
10	17	550	110;
13	30	650	140;
15	40	650	140;
25	50	850	180];
cap=200;                                                        %车辆最大装载量
%% 提取数据信息
E=c101(1,5);                                                    %配送中心时间窗开始时间
L=c101(1,6);                                                    %配送中心时间窗结束时间
vertexs=c101(:,2:3);                                            %所有点的坐标x和y
customer=vertexs(2:end,:);                                       %顾客坐标
cusnum=size(customer,1);                                         %顾客数
v_num=21;                                                        %车辆最多使用数目
demands=c101(2:end,4);                                          %需求量
a=c101(2:end,5);                                                %顾客时间窗开始时间[a[i],b[i]]
b=c101(2:end,6);                                                %顾客时间窗结束时间[a[i],b[i]]
s=c101(2:end,7);                                                %客户点的服务时间
h=pdist(vertexs);
dist=squareform(h);                                             %距离矩阵,满足三角关系,暂用距离表示花费c[i][j]=dist[i][j]
%% 遗传算法参数设置
alpha=10;                                                       %违反的容量约束的惩罚函数系数
belta=100;                                                      %违反时间窗约束的惩罚函数系数
NIND=100;                                                       %种群大小
MAXGEN=100;                                                     %迭代次数
Pc=0.9;                                                         %交叉概率
Pm=0.05;                                                        %变异概率
GGAP=0.9;                                                       %代沟(Generation gap)
N=cusnum+v_num-1;                                               %染色体长度=顾客数目+车辆最多使用数目-1
%% 初始化种群
init_vc=init(cusnum,a,demands,cap);                             %构造初始解
Chrom=InitPopCW(NIND,N,cusnum,init_vc);
%% 输出随机解的路线和总距离
disp('初始种群中的一个随机值:')
[VC,NV,TD,violate_num,violate_cus]=decode(Chrom(1,:),cusnum,cap,demands,a,b,L,s,dist);
% disp(['总距离:',num2str(TD)]);
disp(['车辆使用数目:',num2str(NV),',车辆行驶总距离:',num2str(TD),',违反约束路径数目:',num2str(violate_num),',违反约束顾客数目:',num2str(violate_cus)]);
disp('~~~~~~~~~~~~~~~~~~~~~~~~~~~~~~~~~~~~~~~~~~~~~~~~~~~~~~~~~~~~~~~~')
%% 优化
gen=1;
figure;
hold on;box on
xlim([0,MAXGEN])
title('优化过程')
xlabel('代数')
ylabel('最优值')
ObjV=calObj(Chrom,cusnum,cap,demands,a,b,L,s,dist,alpha,belta);             %计算种群目标函数值
preObjV=min(ObjV);
while gen<=MAXGEN
    %% 计算适应度
    ObjV=calObj(Chrom,cusnum,cap,demands,a,b,L,s,dist,alpha,belta);             %计算种群目标函数值
    line([gen-1,gen],[preObjV,min(ObjV)]);pause(0.0001)
    preObjV=min(ObjV);
    FitnV=Fitness(ObjV);
    %% 选择
    SelCh=Select(Chrom,FitnV,GGAP);
    %% OX交叉操作
    SelCh=Recombin(SelCh,Pc);
    %% 变异
    SelCh=Mutate(SelCh,Pm);
    %% 局部搜索操作
    SelCh=LocalSearch(SelCh,cusnum,cap,demands,a,b,L,s,dist,alpha,belta);
    %% 重插入子代的新种群
    Chrom=Reins(Chrom,SelCh,ObjV);
    %% 删除种群中重复个体,并补齐删除的个体
    Chrom=deal_Repeat(Chrom);
    %% 打印当前最优解
    ObjV=calObj(Chrom,cusnum,cap,demands,a,b,L,s,dist,alpha,belta);             %计算种群目标函数值
    [minObjV,minInd]=min(ObjV);
    disp(['第',num2str(gen),'代最优解:'])
    [bestVC,bestNV,bestTD,best_vionum,best_viocus]=decode(Chrom(minInd(1),:),cusnum,cap,demands,a,b,L,s,dist);
    disp(['车辆使用数目:',num2str(bestNV),',车辆行驶总距离:',num2str(bestTD),',违反约束路径数目:',num2str(best_vionum),',违反约束顾客数目:',num2str(best_viocus)]);
    fprintf('\n')
    %% 更新迭代次数
    gen=gen+1 ;
end
%% 画出最优解的路线图
ObjV=calObj(Chrom,cusnum,cap,demands,a,b,L,s,dist,alpha,belta);             %计算种群目标函数值
[minObjV,minInd]=min(ObjV);
%% 输出最优解的路线和总距离
disp('最优解:')
bestChrom=Chrom(minInd(1),:);
[bestVC,bestNV,bestTD,best_vionum,best_viocus]=decode(bestChrom,cusnum,cap,demands,a,b,L,s,dist);
disp(['车辆使用数目:',num2str(bestNV),',车辆行驶总距离:',num2str(bestTD),',违反约束路径数目:',num2str(best_vionum),',违反约束顾客数目:',num2str(best_viocus)]);
disp('-------------------------------------------------------------')
%% 判断最优解是否满足时间窗约束和载重量约束,0表示违反约束,1表示满足全部约束
flag=Judge(bestVC,cap,demands,a,b,L,s,dist);
%% 检查最优解中是否存在元素丢失的情况,丢失元素,如果没有则为空
DEL=Judge_Del(bestVC);
%% 画出最终路线图
draw_Best(bestVC,vertexs);
save c101.mat
toc

三、运行结果

在这里插入图片描述

四、备注

版本:2014a