【图像分割】基于matlab最大类间方差法(otsu)图像分割【含Matlab源码 121期】

254 阅读2分钟

一、简介

由Otsu(大津展之)于1978年提出的最大类间方差法,是引起较多关注的一种阈值选取方法。它是在判决分析或最小二乘原理的基础上推导出来的。

参考文献:

[1] Otsu N. A threshold selection method from gray-level histogram. IEEE Trans,1979;SMC-9;62-66 下载地址

算法思想:

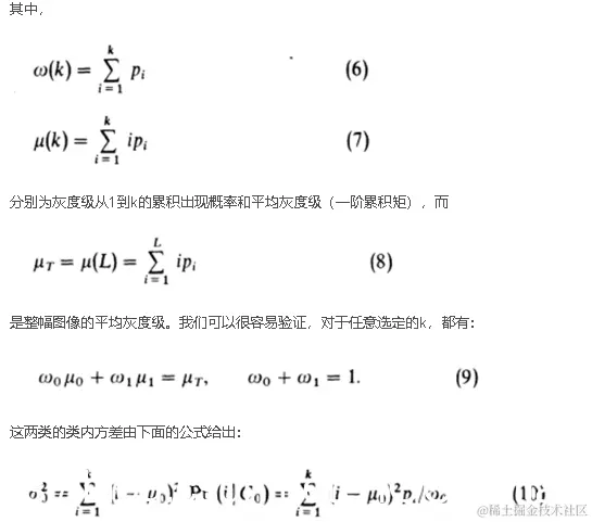
假设一幅图像有L个灰度级[1,2,…,L]。灰度级为i的像素点的个数为ni,那么总的像素点个数就应该为N=n1+n2+…+nL。为了讨论方便,我们使用归一化的灰度级直方图并且视为这幅图像的概率分布:
在这里插入图片描述
在这里插入图片描述
在这里插入图片描述
在这里插入图片描述
在这里插入图片描述

二、源代码

 
clear
close all
clc
 
I=imread('rice.png');    
[m,n]=size(I);   
N=m*n;   
L=256;   
 
for i=1:L  
    count(i)=length(find(I==(i-1)));  
    f(i)=count(i)/(N);  %每个灰度对应的概率,i=1,对应灰度值为0(i-1)
end  
 
for i=1:L   
    if count(i)~=0   
        st=i-1;   %开始的灰度值
        break;   
    end   
end   
for i=L:-1:1   
    if count(i)~=0   
        nd=i-1;   %结束的灰度值
        break;   
    end   
end   
 
p=st;   q=nd-st+1;   
u=0;   
for i=1:q   
    u=u+f(p+i)*(p+i-1);  %u是像素的平均值    
    ua(i)=u;           %ua(i)是前i+p个像素的平均灰度值  (前p个无取值) 
end;   
 
for i=1:q   
    w(i)=sum(f(1+p:i+p));  %w(i)是前i个像素的累加概率,对应公式中P0 
end;   
 
w=w+eps;  
   %对照sigmaB的公式写出目标函数。实际是遍历所有值
d=(w./(1-w)).*(ua./w-u).^2;
[y,tp]=max(d);  %可以取出数组的最大值及取最大值的点   
th=tp+p;  
 
 
figure;imshow(im2bw(I,th/255),[]);  title('最大类间方差');
%% matlab自带函数
figure;imshow(im2bw(I,graythresh(I)),[]);  title('matlab自带');
 

三、运行结果

在这里插入图片描述
在这里插入图片描述

四、备注

版本:2014a