leetcode每日一题系列-序列化二叉树

705 阅读2分钟

这是我参与更文挑战的第8天,活动详情查看: 更文挑战

leetcode剑指offer37-序列化二叉树

[博客链接]

菜🐔的学习之路

掘金首页

[题目描述

请实现两个函数,分别用来序列化和反序列化二叉树。 

 你需要设计一个算法来实现二叉树的序列化与反序列化。这里不限定你的序列 / 反序列化算法执行逻辑,你只需要保证一个二叉树可以被序列化为一个字符串并且将这个字
符串反序列化为原始的树结构。 

 提示:输入输出格式与 LeetCode 目前使用的方式一致,详情请参阅 LeetCode 序列化二叉树的格式。你并非必须采取这种方式,你也可以采用其他的方
法解决这个问题。 



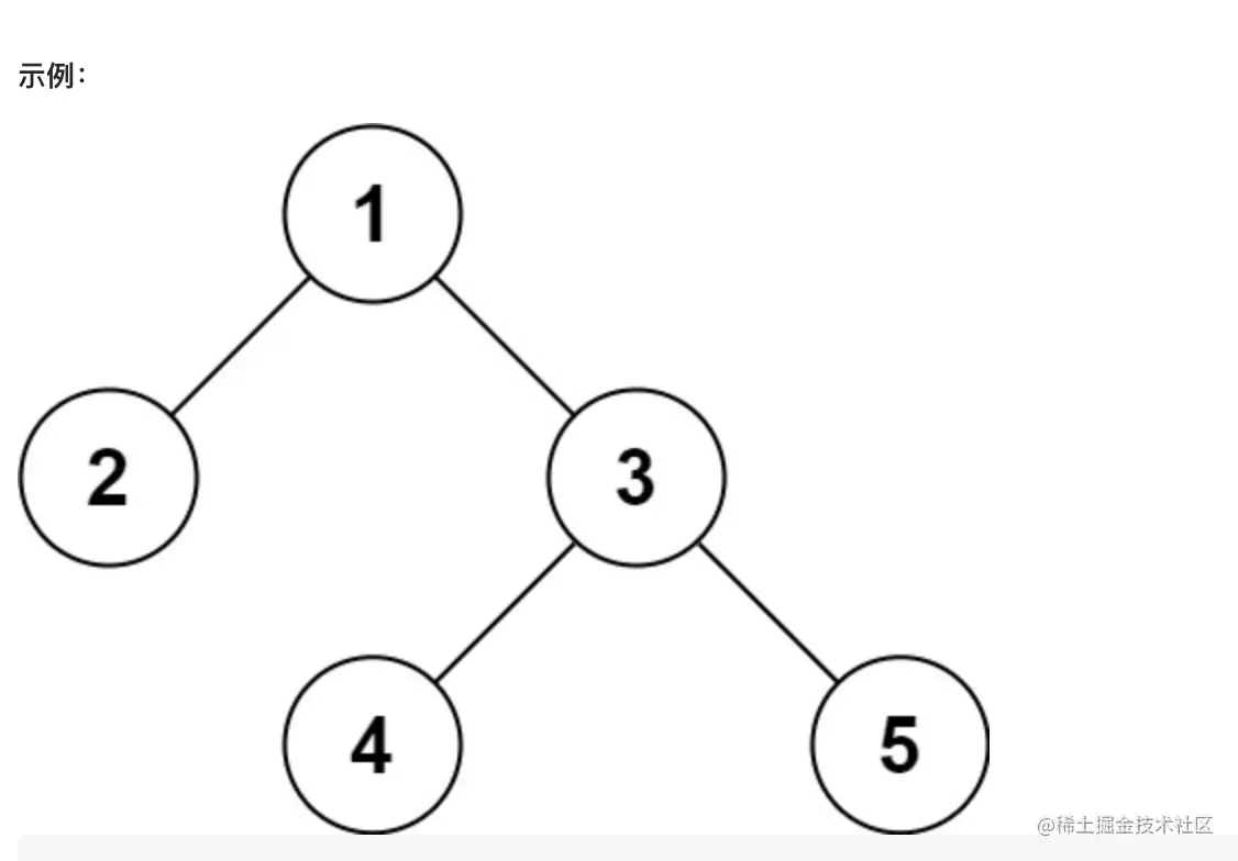
 示例: 


输入:root = [1,2,3,null,null,4,5]
输出:[1,2,3,null,null,4,5]




 注意:本题与主站 297 题相同:https://leetcode-cn.com/problems/serialize-and-deserialize-b
inary-tree/ 
 Related Topics 树 深度优先搜索 广度优先搜索 设计 字符串 二叉树 
 👍 178 👎 0

image-20210630142539790

[题目链接]

leetcode题目链接

[github地址]

代码链接

[思路介绍]

思路一:BFS 广度优先搜索,然后依次反序列化,整体题目难度可能是代码实现而非思路逻辑

public class Codec {

        // Encodes a tree to a single string.
        public String serialize(TreeNode root) {
            String serialization = "";
            //corner case
            if (root == null) {
                return serialization;
            }
            Deque<TreeNode> deque = new LinkedList<>();
            deque.add(root);
            while (!deque.isEmpty()) {
                TreeNode temp = deque.poll();
                if (temp == null) {
                    serialization += "null,";
                    continue;
                }
                serialization += (temp.val + ",");
                deque.add(temp.left);
                deque.add(temp.right);
            }
            return serialization.substring(0, serialization.length() - 1);
        }

        // Decodes your encoded data to tree.
        //根据BFS结果反推树节点
        public TreeNode deserialize(String data) {
            //corner case
            if ("".equals(data)){
                return null;
            }
            String[] trees = data.split(",");
            if (trees.length == 1) {
                return new TreeNode(Integer.parseInt(data));
            }
            TreeNode root = new TreeNode(Integer.parseInt(trees[0]));
            TreeNode cur = root;
            Deque<TreeNode> deque = new LinkedList<>();
            deque.add(root);
            int step = 1;
            while (!deque.isEmpty() && step < trees.length) {
                TreeNode temp = deque.poll();
                if ("null".equals(trees[step])){
                    temp.left = null;
                }else{
                    temp.left = new TreeNode(Integer.parseInt(trees[step]));
                    deque.add(temp.left);
                }
                step++;
                if (step == trees.length){
                    return root;
                }
                if ("null".equals(trees[step])){
                    temp.right = null;
                }else{
                    temp.right = new TreeNode(Integer.parseInt(trees[step]));
                    deque.add(temp.right);
                }
                step++;
            }
            return cur;
        }


    }

时间复杂度O(n)


思路二:DFS

  • 思路同上难度可能更多的是在代码实现上
public class Codec {
        String serialization = "";
        int i = 0;
        public String serialize(TreeNode root) {
            dfs(root);
            return serialization.substring(0, serialization.length() - 1);
        }

        public TreeNode deserialize(String data) {
            //corner case
            if ("".equals(data)) {
                return null;
            }
            String[] trees = data.split(",");
            if ("null".equals(trees[0])){
                return null;
            }
            TreeNode root = new TreeNode(Integer.parseInt(trees[0]));
            i++;
            deserializeDfs(root, trees);
            return root;
        }

        public void deserializeDfs(TreeNode root, String[] trees) {
            int n = trees.length;
            if (i == n) {
                return;
            }
            if ("null".equals(trees[i])) {
                root.left = null;
                i++;
            } else {
                root.left = new TreeNode(Integer.parseInt(trees[i]));
                i++;
                deserializeDfs(root.left, trees);
            }
            if (i == n) {
                return;
            }
            if ("null".equals(trees[i])){
                root.right = null;
                i++;
            }else{
                root.right = new TreeNode(Integer.parseInt(trees[i]));
                i++;
                deserializeDfs(root.right, trees);
            }
        }

        public void dfs(TreeNode root) {
            if (root == null) {
                serialization += "null,";
                return;
            }
            serialization += (root.val + ",");
            if (root.left == null) {
                serialization += "null,";
            }else{
                dfs(root.left);
            }
            if (root.right == null){
                serialization += "null,";
            }else{
                dfs(root.right);
            }
        }

    }

**时间复杂度O(n) **