【优化求解】风驱动优化算法

346 阅读2分钟

文章目录

一、理论基础

1、算法原理

2、算法过程

WDO算法的实现流程:
1) 初始化空气质点的个数和维度,定义最大迭代次数和相关的参数常量,设置搜索边界(位置和速度),设置相应的测试函数。
2) 随机初始化各个质点的初始信息(位置和速度),计算初始的压力值并根据压力值的大小升序排列。
3) 开始迭代。更新空气质点的速度和位置,计算质点压力值并以升序方式重新排列种群顺序。
4) 迭代终止。判断是否满足终止条件,如果不满足就返回步骤3),否则就终止迭代,最后搜索到的最优位置就是最优解。

二、仿真实验

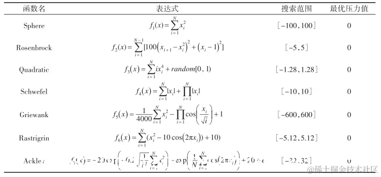
对表2列出的七个测试函数进行测试,每个函数维度均为30。

表2 测试函数简介

在这里插入图片描述在实验过程中,各个算法的种群个数N NN设置为30,最大迭代次数设置为500,测试函数的相应搜索范围如表2所示,搜索速度的范围对应于位置搜索范围的百分之一。在WDO算法中,常量参数α = 0.4 , g = 0.2 , R T = 3 , c = 0.4 \alpha=0.4,g=0.2,RT=3,c=0.4α=0.4,g=0.2,RT=3,c=0.4。迭代收敛曲线如下图所示:
在这里插入图片描述在这里插入图片描述在这里插入图片描述在这里插入图片描述在这里插入图片描述在这里插入图片描述在这里插入图片描述

三、参考文献

[1] Bayraktar Z , Komurcu M , Werner D H . Wind Driven Optimization (WDO): A novel nature-inspired optimization algorithm and its application to electromagnetics[C]// IEEE. IEEE, 2010.
[2] 杜进生, 张天能, 周赤伟. 基于二阶泰勒级数展开和风驱动优化算法的结构有限元模型修正[J]. 建筑结构学报, 2019, 040(002):206-214.
[3] 朱祥兵,李垣江,王建华,武汉卿. 基于Levy飞行机制的风驱动优化算法[J]. 计算机与数字工程, 2018, 46(10): 1943-1950,1956.

代码下载或者仿真咨询添加QQ1575304183