【通信】基于能量均衡LEACH改进算法matlab代码

405 阅读2分钟

文章目录

一、理论基础

1、节点分簇

2、节点能量消耗

转存失败重新上传取消 ​

3、改进的LEACH算法

二、算法流程图

在这里插入图片描述

图1 改进LEACH算法流程图

三、仿真实验与分析

仿真网络中有100个节点且随机地分布在100m×100m范围内,Sink 节点的位置固定,每个节点的初始能量为0.5J,仿真参数如表1所示。
在这里插入图片描述

表1 仿真实验参数

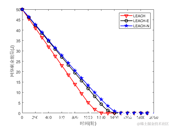
图2~4分别是存活节点数目、网络剩余能量、基站接收的数据量随轮次的变化曲线。
在这里插入图片描述

图2 100m×100m区域内100节点生命周期对比

在这里插入图片描述

图3 网络剩余能量和时间关系

在这里插入图片描述

图4 基站接收数据和时间关系

四、参考文献

[1] Heinzelman W R , Chandrakasan A , Balakrishnan H . Energyefficient communication protocol for wireless microsensor networks. 2000.
[2] 韩广辉,张丽翠.基于LEACH协议的无线传感网能效分簇算法[J].吉林大学学报(信息科学版),2017,35(01):26-31.
[3] 何书前, 严晨, 邓正杰,等. 无线传感器网络路由优化中的能量均衡LEACH改进算法[J]. 现代电子技术, 2020, 043(005):6-9

完整代码或者仿真咨询添加QQ1575304183