一、数学模型

2、樽海鞘群算法
樽海鞘是一种透明的桶状生物,和水母比较相似。它通过吸水、喷水来移动的。由于它生活在寒带的深海里面,给我们的研究造成了一定的困扰。但是,这并不影响我们对它的研究。在深海里,樽海鞘是以樽海鞘链的形式存在,这就是我们感兴趣的群体行为之一。
首先,我们将樽海鞘链分为两组:1、领导者;2、追随者。
领导者就是樽海鞘链前端的部分;追随者就是樽海鞘链后端的部分。
首先,领导者的位置跟新公式:

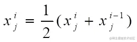
最后,更新追随者位置
为了不误导大家,我给直接给出结果

二、仿真结果



图3 SSA覆盖率进化曲线
代码下载或者仿真咨询添加QQ
