【WSN布局】基于改进鲸鱼算法实现WSN节点优化覆盖matlab代码

474 阅读4分钟

文章目录

一、理论基础

2、基本鲸鱼算法

1、启发

鲸鱼优化算法 (whale optimization algorithm,WOA)是 2016 年由澳大利亚格里菲斯大学的Mirjalili等提出的一种新的群体智能优化算法,其优点在于操作简单、参数少以及跳出局部最优的能力强。
在这里插入图片描述

图1 座头鲸的狩猎摄食行为

2、包围猎物

座头鲸能识别猎物的位置并围着它们转。由于最优位置在搜索空间中的位置是未知的,WOA算法假设当前的最佳候选解是目标猎物或接近最优解。在定义了最佳候选解之后,其他候选位置将尝试向最佳位置移动并更新其位置。此行为由以下等式表示:

3、狩猎行为

根据座头鲸的狩猎行为,它是以螺旋运动游向猎物,故狩猎行为的数学模型如下:

4、搜索猎物

数学模型如下:

3、改进鲸鱼优化算法

(1)量子位Bloch球面初始化

(2)改进搜索猎物过程

(3)莱维飞行扰动策略

二、算法流程

算法流程如图1所示。
在这里插入图片描述

图1 IWOA覆盖优化流程图

三、仿真实验与分析

1、实验环境

为验证本文改进的鲸鱼算法应用于WSN覆盖优化性能,用MATLAB进行仿真,将原始WOA、改进后的IWOA 和其他文献的覆盖效果进行对比,其中实验的参数与其他文献的对应参数设置相同。参与对比的算法如表1所示。

表1 对比算法

在这里插入图片描述

2、实验结果

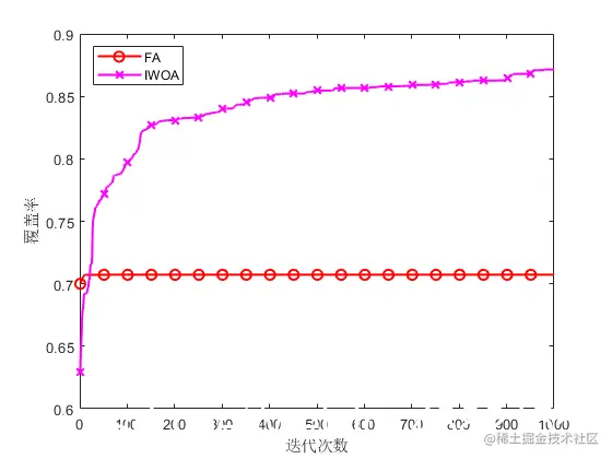
(1)与FA算法对比

将实验参数设置与文献[2]相同, 设监测区域为50 m × 50 m 50 m×50 m50m×50m的二维平面, 传感器节点个数N = 35 N=35N=35,其感知半径是R s = 5 m R_s = 5 mRs​=5m,通信半径R c = 10 m R_c= 10 mRc​=10m,迭代1000次。初始部署、FA优化覆盖、IWOA优化覆盖如图2~4所示。
在这里插入图片描述

图2 初始部署

在这里插入图片描述

图3 FA优化覆盖

在这里插入图片描述

图4 IWOA优化覆盖

二者的对比如图5所示。
在这里插入图片描述

图5 FAvsIWOA

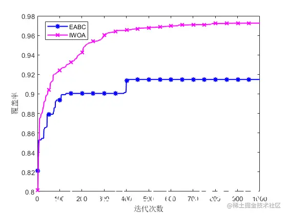
(2)与EABC算法对比

将实验参数设置与文献[3]相同,即监测区域为100 m × 100 m 100 m×100 m100m×100m的二维正方形平面,部署同构传感器节点个数N = 50 N=50N=50,其感知半径是R s = 10 m R_s=10 mRs​=10m,通信半径R c = 20 m R_c=20 mRc​=20m,迭代次数为1000。图6为EABC初始部署,图7为EABC优化覆盖图,图8为IWOA优化覆盖图,图9为二者对比图。
在这里插入图片描述

图6 EABC初始部署

在这里插入图片描述

图7 EABC优化覆盖

在这里插入图片描述

图8 IWOA优化覆盖

在这里插入图片描述

图9 EABCvsIWOA

代码下载或者仿真关注头像

四、参考文献

[1] 宋婷婷, 张达敏, 王依柔,等. 基于改进鲸鱼优化算法的WSN覆盖优化[J]. 传感技术学报, 2020, 033(003):415-422.
[2] Tuba E , Tuba M , Beko M . Mobile wireless sensor networks coverage maximization by firefly algorithm[C]// Radioelektronika. IEEE, 2017:1-5.
[3] 于文杰, 李迅波, 羊行,等. 外推人工蜂群算法在WSN部署优化中的应用研究[J]. 仪表技术与传感器, 2017(6).