【模式识别】基于贝叶斯最小错误率手写数字识别matlab 源码

365 阅读5分钟

一、简介

1、实验目的
本次试验的目的是建立一个手写数字识别系统,能够准确 的提取用户在手写板上写出的数字,并且能够正确地识别出来。

2、实验方法及步骤
此次实验选择MATLAB中的GUI界面来构建实验的平台框架,然后采用基于最小错误率的贝叶斯决策来作为识别方法,对手写数字进行识别。需要在GUI界面中搭建好所需的对象,并写入完成相关功能的程序。其实现的功能是首先能够识别用户输入的手写数字,并提取输入数字的特征;然后将得到的手写数字特征加上对应数字的标签,将其存入样本库中,用于后面手写数字的对比识别;最后根据用户输入的手写数字,提取特征并在样本库中根据贝叶斯决策来判断手写数字的类型,最后显示识别结果。主要分为以下四个步骤:

(1)平台搭建
本次手写数字识别系统的编程环境为MATLAB,通过在MATLAB的GUI界面中搭建框架,并在对应的对象的回调函数中编写相关的程序来实现手写数字识别的功能。
在GUI界面中需要的对象有两个静态文本框、一个坐标区、一个可编辑文本,搭建的界面及其功能如图1所示。
由图可以看出每个对象都有各自的的功能:“手写板”坐标用于用户书写数字;“特征提取”可编辑文本用于显示手写数字的每个特征值,以便后面的对比识别;“清除”按钮可以清除用户写在“手写板”上的数字以及“特征提取”中数字特征值;“提取特征”按钮的功能是对“手写板”中的数字进行识别处理,提取相应的特征值并输到“特征提取”可编辑文本中显示;“保存为样本”按钮则是用于建立样本数据库,将前期的样本特征保存到样本库中,以便后面数字的识别;而“识别”按钮则是根据当前输入的手写数字特征,在样本库中寻找对应的数字类型。
此次手写数字识别系统的平台搭建就如图1所示,然后通过搭建的界面根据需要实现的功能对相应的对象的回调函数编写程序。
(2)特征描述
特征描述就是对手写数字进行分析处理,得到数字的特征,然后根据每类数字各自的特征值来识别手写数字的类型。
在此次设计中,手写数字特征描述的步骤为:首先将含有全部特征信息的手写数字图像从坐标轴中提取出来,将提取出来的书写数字图像进行二值化处理;然后将处理后的图像分成6 × 6 6\times66×6小格,每个网格中全部1值像素点个数与全部像素点个数之比就是手写数字在这一网格中的特征值,得到36个网格中的特征值并存入特征矩阵feature中,即feature矩阵包含了手写数字所有的特征信息;最后显示手写数字的特征图,判断每个网格的特征值是否大于预先设定好的阈值(此次设计中取0.1),若大于阈值,则此网格全部像素点的值为1,反之网格全部像素点的值为0。其实现如图2所示。
在这里插入图片描述
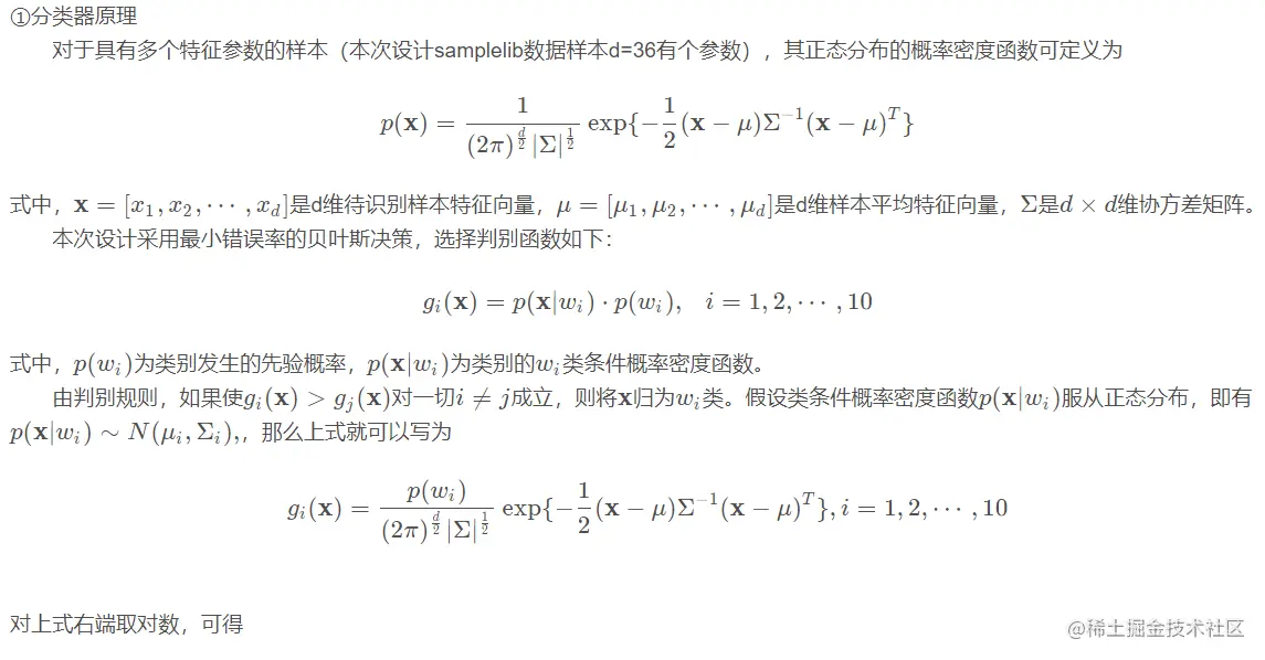
(3)建立最小错误率贝叶斯决策分类器
在这里插入图片描述
在这里插入图片描述
4)实现手写数字识别
根据上述设计,得到了手写数字识别系统。首先,通过输入样本得到样本库。此次实验中存入样本库samplelib.mat的每类样本的个数为20,选取的特征参数为6 × 6 6\times 66×6。

二、源代码

function varargout = save_sample(varargin)
% SAVE_SAMPLE MATLAB code for save_sample.fig
%      SAVE_SAMPLE, by itself, creates a new SAVE_SAMPLE or raises the existing
%      singleton*.
%
%      H = SAVE_SAMPLE returns the handle to a new SAVE_SAMPLE or the handle to
%      the existing singleton*.
%
%      SAVE_SAMPLE('CALLBACK',hObject,eventData,handles,...) calls the local
%      function named CALLBACK in SAVE_SAMPLE.M with the given input arguments.
%
%      SAVE_SAMPLE('Property','Value',...) creates a new SAVE_SAMPLE or raises the
%      existing singleton*.  Starting from the left, property value pairs are
%      applied to the GUI before save_sample_OpeningFcn gets called.  An
%      unrecognized property name or invalid value makes property application
%      stop.  All inputs are passed to save_sample_OpeningFcn via varargin.
%
%      *See GUI Options on GUIDE's Tools menu.  Choose "GUI allows only one
%      instance to run (singleton)".
%
% See also: GUIDE, GUIDATA, GUIHANDLES
 
% Edit the above text to modify the response to help save_sample
 
% Last Modified by GUIDE v2.5 08-Apr-2019 21:40:02
 
% Begin initialization code - DO NOT EDIT
gui_Singleton = 1;
gui_State = struct('gui_Name',       mfilename, ...
                   'gui_Singleton',  gui_Singleton, ...
                   'gui_OpeningFcn', @save_sample_OpeningFcn, ...
                   'gui_OutputFcn',  @save_sample_OutputFcn, ...
                   'gui_LayoutFcn',  [] , ...
                   'gui_Callback',   []);
if nargin && ischar(varargin{1})
    gui_State.gui_Callback = str2func(varargin{1});
end
 
if nargout
    [varargout{1:nargout}] = gui_mainfcn(gui_State, varargin{:});
else
    gui_mainfcn(gui_State, varargin{:});
end
% End initialization code - DO NOT EDIT
 
% --- Executes just before save_sample is made visible.
function save_sample_OpeningFcn(hObject, eventdata, handles, varargin)
% This function has no output args, see OutputFcn.
% hObject    handle to figure
% eventdata  reserved - to be defined in a future version of MATLAB
% handles    structure with handles and user data (see GUIDATA)
% varargin   command line arguments to save_sample (see VARARGIN)
 
% Choose default command line output for save_sample
handles.output = hObject;
% Update handles structure
guidata(hObject, handles);
 
if exist('template.mat','file')~=0     
    load template.mat;
end
 
 
 
% UIWAIT makes save_sample wait for user response (see UIRESUME)
% uiwait(handles.figure1);
 
 
 
 
% --- Outputs from this function are returned to the command line.
function varargout = save_sample_OutputFcn(hObject, eventdata, handles) 
% varargout  cell array for returning output args (see VARARGOUT);
% hObject    handle to figure
% eventdata  reserved - to be defined in a future version of MATLAB
% handles    structure with handles and user data (see GUIDATA)
 
% Get default command line output from handles structure
varargout{1} = handles.output;
 
 
function edit1_Callback(hObject, eventdata, handles)
% hObject    handle to edit1 (see GCBO)
% eventdata  reserved - to be defined in a future version of MATLAB
% handles    structure with handles and user data (see GUIDATA)
 
% Hints: get(hObject,'String') returns contents of edit1 as text
%        str2double(get(hObject,'String')) returns contents of edit1 as a double
 
 
% --- Executes during object creation, after setting all properties.
function edit1_CreateFcn(hObject, eventdata, handles)
% hObject    handle to edit1 (see GCBO)
% eventdata  reserved - to be defined in a future version of MATLAB
% handles    empty - handles not created until after all CreateFcns called
 
% Hint: edit controls usually have a white background on Windows.
%       See ISPC and COMPUTER.
if ispc && isequal(get(hObject,'BackgroundColor'), get(0,'defaultUicontrolBackgroundColor'))
    set(hObject,'BackgroundColor','white');
end
 
 
% --- Executes on button press in pushbutton1.
function pushbutton1_Callback(hObject, eventdata, handles)
% hObject    handle to pushbutton1 (see GCBO)
% eventdata  reserved - to be defined in a future version of MATLAB
% handles    structure with handles and user data (see GUIDATA)
load template pattern
feature = importdata('feature.dat');
% 获取样品种类
str = get(handles.edit1,'string');
if isempty(str)
    warndlg('请输入数字!','警告:');
    return;
end
 

三、运行结果

在这里插入图片描述

四、备注

完整代码下载www.cnblogs.com/ttmatlab/p/…