【优化求解】人工蜂群ABC算法

447 阅读4分钟

​一、人工蜂群算法的介绍

    人工蜂群算法(Artificial Bee Colony, ABC)是由Karaboga于2005年提出的一种新颖的基于群智能的全局优化算法,其直观背景来源于蜂群的采蜜行为,蜜蜂根据各自的分工进行不同的活动,并实现蜂群信息的共享和交流,从而找到问题的最优解。人工蜂群算法属于群智能算法的一种。

二、人工蜂群算法的原理

   1、原理

        标准的ABC算法通过模拟实际蜜蜂的采蜜机制将人工蜂群分为3类: 采蜜蜂、观察蜂和侦察蜂。整个蜂群的目标是寻找花蜜量最大的蜜源。在标准的ABC算法中,采蜜蜂利用先前的蜜源信息寻找新的蜜源并与观察蜂分享蜜源信息;观察蜂在蜂房中等待并依据采蜜蜂分享的信息寻找新的蜜源;侦查蜂的任务是寻找一个新的有价值的蜜源,它们在蜂房附近随机地寻找蜜源。

        假设问题的解空间是D维的,采蜜蜂与观察蜂的个数都是SN,采蜜蜂的个数或观察蜂的个数与蜜源的数量相等。则标准的ABC算法将优化问题的求解过程看成是在D维搜索空间中进行搜索。每个蜜源的位置代表问题的一个可能解,蜜源的花蜜量对应于相应的解的适应度。一个采蜜蜂与一个蜜源是相对应的。与第i个蜜源相对应的采蜜蜂依据如下公式寻找新的蜜源:

 

 

 其中,,是区间上的随机数,。标准的ABC算法将新生成的可能解与原来的解作比较,并采用贪婪选择策略保留较好的解。每一个观察蜂依据概率选择一个蜜源,概率公式为

其中,是可能解的适应值。对于被选择的蜜源,观察蜂根据上面概率公式搜寻新的可能解。当所有的采蜜蜂和观察蜂都搜索完整个搜索空间时,如果一个蜜源的适应值在给定的步骤内(定义为控制参数“limit”) 没有被提高, 则丢弃该蜜源,而与该蜜源相对应的采蜜蜂变成侦查蜂,侦查蜂通过已下公式搜索新的可能解。

其中,是区间上的随机数,是第维的下界和上界。

  2、流程

  • 初始化;

  • 重复以下过程:

    • 将采蜜蜂与蜜源一一对应,根据上面第一个公式更新蜜源信息,同时确定蜜源的花蜜量;
    • 观察蜂根据采蜜蜂所提供的信息采用一定的选择策略选择蜜源,根据第一个公式更新蜜源信息,同时确定蜜源的花蜜量;
    • 确定侦查蜂,并根据第三个公式寻找新的蜜源;
    • 记忆迄今为止最好的蜜源;
  • 判断终止条件是否成立;

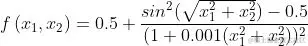
三、人工蜂群算法用于求解函数优化问题

    对于函数

其中

%% Copyright (c) 2015, Yarpiz (www.yarpiz.com)% All rights reserved. Please read the "license.txt" for license terms.%% Project Code: YPEA114% Project Title: Implementation of Artificial Bee Colony in MATLAB% Publisher: Yarpiz (www.yarpiz.com)% % Developer: S. Mostapha Kalami Heris (Member of Yarpiz Team)% % Contact Info: sm.kalami@gmail.com, info@yarpiz.com%​clc;clear;close all;​%% Problem Definition​CostFunction=@(x) Sphere(x);        % Cost Function​nVar=5;             % Number of Decision Variables​VarSize=[1 nVar];   % Decision Variables Matrix Size​VarMin=-10;         % Decision Variables Lower BoundVarMax= 10;         % Decision Variables Upper Bound​%% ABC Settings​MaxIt=200;              % Maximum Number of Iterations​nPop=100;               % Population Size (Colony Size)​nOnlooker=nPop;         % Number of Onlooker Bees​L=round(0.6*nVar*nPop); % Abandonment Limit Parameter (Trial Limit)​a=1;                    % Acceleration Coefficient Upper Bound​%% Initialization​% Empty Bee Structureempty_bee.Position=[];empty_bee.Cost=[];​% Initialize Population Arraypop=repmat(empty_bee,nPop,1);​% Initialize Best Solution Ever FoundBestSol.Cost=inf;​% Create Initial Populationfor i=1:nPop    pop(i).Position=unifrnd(VarMin,VarMax,VarSize);    pop(i).Cost=CostFunction(pop(i).Position);    if pop(i).Cost<=BestSol.Cost        BestSol=pop(i);    endend​% Abandonment CounterC=zeros(nPop,1);​% Array to Hold Best Cost ValuesBestCost=zeros(MaxIt,1);​%% ABC Main Loop​for it=1:MaxIt        % Recruited Bees    for i=1:nPop                % Choose k randomly, not equal to i        K=[1:i-1 i+1:nPop];        k=K(randi([1 numel(K)]));                % Define Acceleration Coeff.        phi=a*unifrnd(-1,+1,VarSize);                % New Bee Position        newbee.Position=pop(i).Position+phi.*(pop(i).Position-pop(k).Position);                % Evaluation        newbee.Cost=CostFunction(newbee.Position);                % Comparision        if newbee.Cost<=pop(i).Cost            pop(i)=newbee;        else            C(i)=C(i)+1;        end            end        % Calculate Fitness Values and Selection Probabilities    F=zeros(nPop,1);    MeanCost = mean([pop.Cost]);    for i=1:nPop        F(i) = exp(-pop(i).Cost/MeanCost); % Convert Cost to Fitness    end    P=F/sum(F);        % Onlooker Bees    for m=1:nOnlooker                % Select Source Site        i=RouletteWheelSelection(P);                % Choose k randomly, not equal to i        K=[1:i-1 i+1:nPop];        k=K(randi([1 numel(K)]));                % Define Acceleration Coeff.        phi=a*unifrnd(-1,+1,VarSize);                % New Bee Position        newbee.Position=pop(i).Position+phi.*(pop(i).Position-pop(k).Position);                % Evaluation        newbee.Cost=CostFunction(newbee.Position);                % Comparision        if newbee.Cost<=pop(i).Cost            pop(i)=newbee;        else            C(i)=C(i)+1;        end            end        % Scout Bees    for i=1:nPop        if C(i)>=L            pop(i).Position=unifrnd(VarMin,VarMax,VarSize);            pop(i).Cost=CostFunction(pop(i).Position);            C(i)=0;        end    end        % Update Best Solution Ever Found    for i=1:nPop        if pop(i).Cost<=BestSol.Cost            BestSol=pop(i);        end    end        % Store Best Cost Ever Found    BestCost(it)=BestSol.Cost;        % Display Iteration Information    disp(['Iteration ' num2str(it) ': Best Cost = ' num2str(BestCost(it))]);    end    %% Results​figure;%plot(BestCost,'LineWidth',2);semilogy(BestCost,'LineWidth',2);xlabel('Iteration');ylabel('Best Cost');grid on;​
function [SX0]=observe(Q,Lmin,Lmax)%生成的S1为  population行*C列%但是要保证生成的阈值第一个比后一个小,且不能为图像的最大、小灰度值global population C;P=zeros(8*C,1);w=[1,2,4,8,16,32,64,128];SX0=zeros(population,C);num=3;flag=1;i=1;ill=0; while i<=population         R=rand(8*C,1);                  P(:,1)=R(:,1)>=(Q(:,1,i).^2);             k=1;             while k<=C                     t=(k-1)*8+1;                                SX0(i,k)=w(1,:)*double(P(t:t+7,1));                          temp=1;                   while (SX0(i,k)<=Lmin || SX0(i,k)>=Lmax || ((k>1) && SX0(i,k)<=SX0(i,k-1))) && (temp<=num)                        Rt=rand(8,1);                               P(t:t+7,1)=Rt(:,1)>=(Q(t:t+7,1,i).^2);                                  SX0(i,k)=w(1,:)*double(P(t:t+7,1));                           temp=temp+1;                                            end                                   if (temp>num) && (SX0(i,k)<=Lmin || SX0(i,k)>=Lmax || ((k>1) && SX0(i,k)<=SX0(i,k-1)))                           flag=0;  %表示此组数据不合理                          ill=ill+1;                          R=rand(8*C,1);                                                      P(:,1)=R(:,1)>=(Q(:,1,i).^2);       %有时会出现停滞状态,由于此处的Q的artha==1                          k=1;                   else                        flag=1;                         ill=0;                        k=k+1;                   end                     if ill>=3                                   Q(:,:,i)=ones(8*C,2,1)/sqrt(2);                   end                                 end     %% while k<=C                 i=i+1; end​% % fid = fopen('data.txt', 'wt');% %   for j=1:C% %       for i=1:population% %   % % fprintf(fid, ' %4.0f  ',SX0(i,j));% %         if i==population% %         fprintf(fid, '\n');% %         end% %   end% % % % fwrite(fid,SX0(:,j),'integer*population');% % % % fwrite(fid,'\n','char');% % % % end% % fclose(fid);​
​function i=RouletteWheelSelection(P)​    r=rand;        C=cumsum(P);        i=find(r<=C,1,'first');​end
​function z=Sphere(x)​    z=sum(x.^2);​end

完整代码添加QQ1575304183