【图像隐藏】基于DCT(离散余弦变换)与SVD(奇异值分解)域实现自适应嵌入水印含攻击

882 阅读3分钟

一、引言

       DCT变换的全称是离散余弦变换(Discrete Cosine Transform),主要用于将数据或图像的压缩,能够将空域的信号转换到频域上,具有良好的去相关性的性能。DCT变换本身是无损的,但是在图像编码等领域给接下来的量化、哈弗曼编码等创造了很好的条件,同时,由于DCT变换时对称的,所以,我们可以在量化编码后利用DCT反变换,在接收端恢复原始的图像信息。DCT变换在当前的图像分析已经压缩领域有着极为广大的用途,我们常见的JPEG静态图像编码以及MJPEG、MPEG动态编码等标准中都使用了DCT变换。

 


二、一维DCT变换

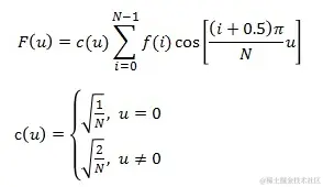
      一维DCT变换时二维DCT变换的基础,所以我们先来讨论下一维DCT变换。一维DCT变换共有8种形式,其中最常用的是第二种形式,由于其运算简单、适用范围广。我们在这里只讨论这种形式,其表达式如下:

      

       其中,f(i)为原始的信号,F(u)是DCT变换后的系数,N为原始信号的点数,c(u)可以认为是一个补偿系数,可以使DCT变换矩阵为正交矩阵。

 


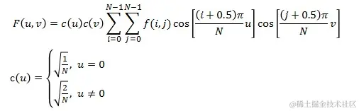
三、二维DCT变换

       二维DCT变换其实是在一维DCT变换的基础上在做了一次DCT变换,其公式如下:

     

       由公式我们可以看出,上面只讨论了二维图像数据为方阵的情况,在实际应用中,如果不是方阵的数据一般都是补齐之后再做变换的,重构之后可以去掉补齐的部分,得到原始的图像信息,这个尝试一下,应该比较容易理解。

      另外,由于DCT变换高度的对称性,在使用Matlab进行相关的运算时,我们可以使用更简单的矩阵处理方式:

    

clear all;
close all;
clc;
key=30; %密钥key为Arnold置乱的次数
Orignalpicture=double(imread('lena.jpg')); %读入原始图片
[prow,pcol]=size(Orignalpicture);  %取原始图片的高,宽
Orignalmark=double(imread('suda.bmp'));%读入64*64的水印图片
[wrow,wcol]=size(Orignalmark); 
%--- 测试密钥key是否超出范围------
n=check_arnold(wrow);
if (key+1)>n
    error('arnold key error');
end
arnoldw=arnold(Orignalmark,wrow,key); %Arnold置乱
figure(1);
imshow(uint8(Orignalmark)); %显示图片
title('原始水印图像');
figure(2);
imshow(uint8(arnoldw));
title('置乱后的水印图像');
%  分块 DCT 
fun1=@dct2;  
im_dct=blkproc(Orignalpicture,[8 8],fun1);
numblk1=prow/8;
numblk2=pcol/8;
A=zeros(numblk1,numblk2);
for k=1:numblk1
    for p=1:numblk2
         x=(k-1)*8+1; y=(p-1)*8+1;
         A(k,p)=im_dct(x,y);     %取DCT变换后的高频系数
    end
end
[U,D,V]=svd(A);   %奇异值分解
a=0.2;%水印嵌入强度
for i=1:wrow
    for j=1:wcol
        DD(i,j)=D(i,j)+a*arnoldw(i,j);
    end
end
[U1,D1,V1]=svd(DD);
A1=U*D1*V';
for k=1:numblk1
    for p=1:numblk2
         x=(k-1)*8+1; y=(p-1)*8+1;
         im_dct(x,y)=A1(k,p);
    end
end
fun2=@idct2;  %dct反变换
imw=blkproc(im_dct,[8 8],fun2);
figure(3);
subplot(1,2,1);
imshow(uint8(Orignalpicture));
title('原始图像');
subplot(1,2,2);
imshow(uint8(imw));
title('嵌入水印后的图像');
psnrvalue=psnr(Orignalpicture,imw)
%攻击预处理--------------------------------------------------------------
f=imw;
%将含水印图像f归一化,以便于攻击处理。
m=max(max(f));
f=double(f)./double(m);
attack=13;
%攻击----------------------------------------------------------------------
switch attack
    case 0,
        attackf=f;
        att='未攻击';
    case 1,    
%%1. JPEG 压缩
 imwrite(f,'attackf.jpg','jpg','quality',50);
 attackf=imread('attackf.jpg');
 attackf=double(attackf)/255;
 att='JPEG压缩';
    case 2,