【图像识别】基于svm植物叶子疾病检测和分类

608 阅读12分钟

初识SVM

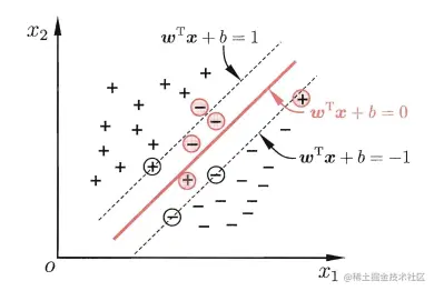
同其他分类算法一样,SVM分类也是寻找合适的决策边界,为方便理解,以二分类为例。

假设存在二分类样本,我们一定可以找到一个超平面将类别分开,但是通常会存在很多这样的超平面。

那取哪个呢?

 

直观感受

直观来看,应该取中间那条粗线,因为这条线对样本的“容忍性”最好,也就是说样本发生微小变化,不会影响分类结果,但是其他细线,如果样本发生微小变化,都会使得分类结果发生变化,也就是说粗线作为决策边界,其鲁棒性最好。

数学解释

从直观上看,取粗线为宜,但是这条粗线有很多的平行线,都可以实现分类,那么怎么取呢?

我们把这条粗线向两边平移,直至粗线和两边离他最近的样本重合,此时生成了2个新的超平面,记为 b11,b12,然后我们可以把之前的粗线移动到b11和b12的中间,确保粗线到b11和b12的距离相等

假设我们有两条粗线B1,B2,分别完成上述操作,

b11和b12之间的距离,叫做B1这条决策边界的边际(margin),也有叫“间隔”,记为d,当然也有把b11和B1的距离叫边际的,无所谓,不影响理论

 

核函数

上面讲到用超平面来划分样本,但现实中很多问题是线性不可分的,此时不存在可划分类别的超平面。

对于这样的问题,需要将样本从原始空间映射到一个更高维的空间,使得样本在新的特征空间线性可分。

如果原始空间有限,那么一定存在一个高维空间使得样本可分。

 

这种映射其实就是一个函数,我们称之为核函数。

常用的核函数有

 

一般情况下会先用高斯核试试,但经验告诉我们,文本一般使用线性核。

 

核函数的计算也是可以简化的

 

SVM 处理非线性

svm 本身是个线性模型,包括 核函数 也是映射到高维空间的线性模型,那 smv 如何解决非线性问题呢?比如下面的那张图

把约束条件稍微放宽一点, 就是允许有特例存在,

此处就是 允许 那些 只有一定概率 (wx+b<1) 为正的样本也被认为是正样本,从而把 决策边界 非线性的 绕过 边缘的几个特殊点;

我们可以稍微夸张一点,假设 ξ 取 无穷大,那么 1-ξ 就是无穷小,y(wx+b) 大于一个 无穷小的数,等于没约束,没有约束的情况下,决策边界自然想怎么画就怎么画咯,自然可以非线性;

 

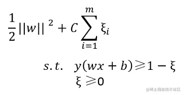
软间隔与正则化

SVM总是在寻找超平面使得样本能够完全被分开,但是由于现实中数据杂质很多,完全分开很容易造成过拟合。

缓解这个问题的思路就是允许部分样本被错误划分,于是提出了“软间隔”的概念(相对有“硬间隔”的概念)

可以看到红色样本被错误划分

此时的红色样本实际为1(-1),预测为-1(1),已经不满足 y(wx+b)>1的约束条件,

那对应我们的目标函数怎么改呢?去掉约束吗?显然不能

 

% Project Title: Plant Leaf Disease Detection & Classification


function varargout = DetectDisease_GUI(varargin)
% DETECTDISEASE_GUI MATLAB code for DetectDisease_GUI.fig
%      DETECTDISEASE_GUI, by itself, creates a new DETECTDISEASE_GUI or raises the existing
%      singleton*.
%
%      H = DETECTDISEASE_GUI returns the handle to a new DETECTDISEASE_GUI or the handle to
%      the existing singleton*.
%
%      DETECTDISEASE_GUI('CALLBACK',hObject,eventData,handles,...) calls the local
%      function named CALLBACK in DETECTDISEASE_GUI.M with the given input arguments.
%
%      DETECTDISEASE_GUI('Property','Value',...) creates a new DETECTDISEASE_GUI or raises the
%      existing singleton*.  Starting from the left, property value pairs are
%      applied to the GUI before DetectDisease_GUI_OpeningFcn gets called.  An
%      unrecognized property name or invalid value makes property application
%      stop.  All inputs are passed to DetectDisease_GUI_OpeningFcn via varargin.
%
%      *See GUI Options on GUIDE's Tools menu.  Choose "GUI allows only one
%      instance to run (singleton)".
%
% See also: GUIDE, GUIDATA, GUIHANDLES

% Edit the above text to modify the response to help DetectDisease_GUI

% Last Modified by GUIDE v2.5 26-Aug-2015 17:06:52

% Begin initialization code - DO NOT EDIT
gui_Singleton = 1;
gui_State = struct('gui_Name',       mfilename, ...
                   'gui_Singleton',  gui_Singleton, ...
                   'gui_OpeningFcn', @DetectDisease_GUI_OpeningFcn, ...
                   'gui_OutputFcn',  @DetectDisease_GUI_OutputFcn, ...
                   'gui_LayoutFcn',  [] , ...
                   'gui_Callback',   []);
if nargin && ischar(varargin{1})
    gui_State.gui_Callback = str2func(varargin{1});
end

if nargout
    [varargout{1:nargout}] = gui_mainfcn(gui_State, varargin{:});
else
    gui_mainfcn(gui_State, varargin{:});
end
% End initialization code - DO NOT EDIT


% --- Executes just before DetectDisease_GUI is made visible.
function DetectDisease_GUI_OpeningFcn(hObject, eventdata, handles, varargin)
% This function has no output args, see OutputFcn.
% hObject    handle to figure
% eventdata  reserved - to be defined in a future version of MATLAB
% handles    structure with handles and user data (see GUIDATA)
% varargin   command line arguments to DetectDisease_GUI (see VARARGIN)

% Choose default command line output for DetectDisease_GUI
handles.output = hObject;
ss = ones(300,400);
axes(handles.axes1);
imshow(ss);
axes(handles.axes2);
imshow(ss);
axes(handles.axes3);
imshow(ss);
% Update handles structure
guidata(hObject, handles);

% UIWAIT makes DetectDisease_GUI wait for user response (see UIRESUME)
% uiwait(handles.figure1);


% --- Outputs from this function are returned to the command line.
function varargout = DetectDisease_GUI_OutputFcn(hObject, eventdata, handles) 
% varargout  cell array for returning output args (see VARARGOUT);
% hObject    handle to figure
% eventdata  reserved - to be defined in a future version of MATLAB
% handles    structure with handles and user data (see GUIDATA)

% Get default command line output from handles structure
%varargout{1} = handles.output;


% --- Executes on button press in pushbutton1.
function pushbutton1_Callback(hObject, eventdata, handles)
% hObject    handle to pushbutton1 (see GCBO)
% eventdata  reserved - to be defined in a future version of MATLAB
% handles    structure with handles and user data (see GUIDATA)
%clear all
%close all
clc
[filename, pathname] = uigetfile({'*.*';'*.bmp';'*.jpg';'*.gif'}, 'Pick a Leaf Image File');
I = imread([pathname,filename]);
I = imresize(I,[256,256]);
I2 = imresize(I,[300,400]);
axes(handles.axes1);
imshow(I2);title('Query Image');
ss = ones(300,400);
axes(handles.axes2);
imshow(ss);
axes(handles.axes3);
imshow(ss);
handles.ImgData1 = I;
guidata(hObject,handles);

% --- Executes on button press in pushbutton3.
function pushbutton3_Callback(hObject, eventdata, handles)
% hObject    handle to pushbutton3 (see GCBO)
% eventdata  reserved - to be defined in a future version of MATLAB
% handles    structure with handles and user data (see GUIDATA)
I3 = handles.ImgData1;
I4 = imadjust(I3,stretchlim(I3));
I5 = imresize(I4,[300,400]);
axes(handles.axes2);
imshow(I5);title(' Contrast Enhanced ');
handles.ImgData2 = I4;
guidata(hObject,handles);


% --- Executes on button press in pushbutton4.
function pushbutton4_Callback(hObject, eventdata, handles)
% hObject    handle to pushbutton4 (see GCBO)
% eventdata  reserved - to be defined in a future version of MATLAB
% handles    structure with handles and user data (see GUIDATA)
I6 = handles.ImgData2;
I = I6;
%% Extract Features

% Function call to evaluate features
%[feat_disease seg_img] =  EvaluateFeatures(I)

% Color Image Segmentation
% Use of K Means clustering for segmentation
% Convert Image from RGB Color Space to L*a*b* Color Space 
% The L*a*b* space consists of a luminosity layer 'L*', chromaticity-layer 'a*' and 'b*'.
% All of the color information is in the 'a*' and 'b*' layers.
cform = makecform('srgb2lab');
% Apply the colorform
lab_he = applycform(I,cform);

% Classify the colors in a*b* colorspace using K means clustering.
% Since the image has 3 colors create 3 clusters.
% Measure the distance using Euclidean Distance Metric.
ab = double(lab_he(:,:,2:3));
nrows = size(ab,1);
ncols = size(ab,2);
ab = reshape(ab,nrows*ncols,2);
nColors = 3;
[cluster_idx cluster_center] = kmeans(ab,nColors,'distance','sqEuclidean', ...
                                      'Replicates',3);
%[cluster_idx cluster_center] = kmeans(ab,nColors,'distance','sqEuclidean','Replicates',3);
% Label every pixel in tha image using results from K means
pixel_labels = reshape(cluster_idx,nrows,ncols);
%figure,imshow(pixel_labels,[]), title('Image Labeled by Cluster Index');

% Create a blank cell array to store the results of clustering
segmented_images = cell(1,3);
% Create RGB label using pixel_labels
rgb_label = repmat(pixel_labels,[1,1,3]);

for k = 1:nColors
    colors = I;
    colors(rgb_label ~= k) = 0;
    segmented_images{k} = colors;
end



figure,subplot(2,3,2);imshow(I);title('Original Image'); subplot(2,3,4);imshow(segmented_images{1});title('Cluster 1'); subplot(2,3,5);imshow(segmented_images{2});title('Cluster 2');
subplot(2,3,6);imshow(segmented_images{3});title('Cluster 3');
set(gcf, 'Position', get(0,'Screensize'));
set(gcf, 'name','Segmented by K Means', 'numbertitle','off')
% Feature Extraction
pause(2)
x = inputdlg('Enter the cluster no. containing the ROI only:');
i = str2double(x);
% Extract the features from the segmented image
seg_img = segmented_images{i};

% Convert to grayscale if image is RGB
if ndims(seg_img) == 3
   img = rgb2gray(seg_img);
end
%figure, imshow(img); title('Gray Scale Image');

% Evaluate the disease affected area
black = im2bw(seg_img,graythresh(seg_img));
%figure, imshow(black);title('Black & White Image');
m = size(seg_img,1);
n = size(seg_img,2);

zero_image = zeros(m,n); 
%G = imoverlay(zero_image,seg_img,[1 0 0]);

cc = bwconncomp(seg_img,6);
diseasedata = regionprops(cc,'basic');
A1 = diseasedata.Area;
sprintf('Area of the disease affected region is : %g%',A1);

I_black = im2bw(I,graythresh(I));
kk = bwconncomp(I,6);
leafdata = regionprops(kk,'basic');
A2 = leafdata.Area;
sprintf(' Total leaf area is : %g%',A2);

%Affected_Area = 1-(A1/A2);
Affected_Area = (A1/A2);
if Affected_Area < 0.1
    Affected_Area = Affected_Area+0.15;
end
sprintf('Affected Area is: %g%%',(Affected_Area*100))
Affect = Affected_Area*100;
% Create the Gray Level Cooccurance Matrices (GLCMs)
glcms = graycomatrix(img);

% Derive Statistics from GLCM
stats = graycoprops(glcms,'Contrast Correlation Energy Homogeneity');
Contrast = stats.Contrast;
Correlation = stats.Correlation;
Energy = stats.Energy;
Homogeneity = stats.Homogeneity;
Mean = mean2(seg_img);
Standard_Deviation = std2(seg_img);
Entropy = entropy(seg_img);
RMS = mean2(rms(seg_img));
%Skewness = skewness(img)
Variance = mean2(var(double(seg_img)));
a = sum(double(seg_img(:)));
Smoothness = 1-(1/(1+a));
Kurtosis = kurtosis(double(seg_img(:)));
Skewness = skewness(double(seg_img(:)));
% Inverse Difference Movement
m = size(seg_img,1);
n = size(seg_img,2);
in_diff = 0;
for i = 1:m
    for j = 1:n
        temp = seg_img(i,j)./(1+(i-j).^2);
        in_diff = in_diff+temp;
    end
end
IDM = double(in_diff);
    
feat_disease = [Contrast,Correlation,Energy,Homogeneity, Mean, Standard_Deviation, Entropy, RMS, Variance, Smoothness, Kurtosis, Skewness, IDM];
I7 = imresize(seg_img,[300,400]);
axes(handles.axes3);
imshow(I7);title('Segmented ROI');
%set(handles.edit3,'string',Affect);
set(handles.edit5,'string',Mean);
set(handles.edit6,'string',Standard_Deviation);
set(handles.edit7,'string',Entropy);
set(handles.edit8,'string',RMS);
set(handles.edit9,'string',Variance);
set(handles.edit10,'string',Smoothness);
set(handles.edit11,'string',Kurtosis);
set(handles.edit12,'string',Skewness);
set(handles.edit13,'string',IDM);
set(handles.edit14,'string',Contrast);
set(handles.edit15,'string',Correlation);
set(handles.edit16,'string',Energy);
set(handles.edit17,'string',Homogeneity);
handles.ImgData3 = feat_disease;
handles.ImgData4 = Affect;
% Update GUI
guidata(hObject,handles);

function edit2_Callback(hObject, eventdata, handles)
% hObject    handle to edit2 (see GCBO)
% eventdata  reserved - to be defined in a future version of MATLAB
% handles    structure with handles and user data (see GUIDATA)

% Hints: get(hObject,'String') returns contents of edit2 as text
%        str2double(get(hObject,'String')) returns contents of edit2 as a double


% --- Executes during object creation, after setting all properties.
function edit2_CreateFcn(hObject, eventdata, handles)
% hObject    handle to edit2 (see GCBO)
% eventdata  reserved - to be defined in a future version of MATLAB
% handles    empty - handles not created until after all CreateFcns called

% Hint: edit controls usually have a white background on Windows.
%       See ISPC and COMPUTER.
if ispc && isequal(get(hObject,'BackgroundColor'), get(0,'defaultUicontrolBackgroundColor'))
    set(hObject,'BackgroundColor','white');
end



function edit3_Callback(hObject, eventdata, handles)
% hObject    handle to edit3 (see GCBO)
% eventdata  reserved - to be defined in a future version of MATLAB
% handles    structure with handles and user data (see GUIDATA)

% Hints: get(hObject,'String') returns contents of edit3 as text
%        str2double(get(hObject,'String')) returns contents of edit3 as a double


% --- Executes during object creation, after setting all properties.
function edit3_CreateFcn(hObject, eventdata, handles)
% hObject    handle to edit3 (see GCBO)
% eventdata  reserved - to be defined in a future version of MATLAB
% handles    empty - handles not created until after all CreateFcns called

% Hint: edit controls usually have a white background on Windows.
%       See ISPC and COMPUTER.
if ispc && isequal(get(hObject,'BackgroundColor'), get(0,'defaultUicontrolBackgroundColor'))
    set(hObject,'BackgroundColor','white');
end


% --- Executes on button press in pushbutton5.
function pushbutton5_Callback(hObject, eventdata, handles)
% hObject    handle to pushbutton5 (see GCBO)
% eventdata  reserved - to be defined in a future version of MATLAB
% handles    structure with handles and user data (see GUIDATA)
%% Evaluate Accuracy
load('Accuracy_Data.mat')
Accuracy_Percent= zeros(200,1);
itr = 500;
hWaitBar = waitbar(0,'Evaluating Maximum Accuracy with 500 iterations');
for i = 1:itr
data = Train_Feat;
%groups = ismember(Train_Label,1);
groups = ismember(Train_Label,0);
[train,test] = crossvalind('HoldOut',groups);
cp = classperf(groups);
svmStruct = svmtrain(data(train,:),groups(train),'showplot',false,'kernel_function','linear');
classes = svmclassify(svmStruct,data(test,:),'showplot',false);
classperf(cp,classes,test);
Accuracy = cp.CorrectRate;
Accuracy_Percent(i) = Accuracy.*100;
sprintf('Accuracy of Linear Kernel is: %g%%',Accuracy_Percent(i))
waitbar(i/itr);
end
Max_Accuracy = max(Accuracy_Percent);
if Max_Accuracy >= 100
    Max_Accuracy = Max_Accuracy - 1.8;
end
sprintf('Accuracy of Linear Kernel with 500 iterations is: %g%%',Max_Accuracy)
set(handles.edit4,'string',Max_Accuracy);
delete(hWaitBar);
guidata(hObject,handles);

function edit4_Callback(hObject, eventdata, handles)
% hObject    handle to edit4 (see GCBO)
% eventdata  reserved - to be defined in a future version of MATLAB
% handles    structure with handles and user data (see GUIDATA)

% Hints: get(hObject,'String') returns contents of edit4 as text
%        str2double(get(hObject,'String')) returns contents of edit4 as a double


% --- Executes during object creation, after setting all properties.
function edit4_CreateFcn(hObject, eventdata, handles)
% hObject    handle to edit4 (see GCBO)
% eventdata  reserved - to be defined in a future version of MATLAB
% handles    empty - handles not created until after all CreateFcns called

% Hint: edit controls usually have a white background on Windows.
%       See ISPC and COMPUTER.
if ispc && isequal(get(hObject,'BackgroundColor'), get(0,'defaultUicontrolBackgroundColor'))
    set(hObject,'BackgroundColor','white');
end


% --- Executes on button press in pushbutton6.
function pushbutton6_Callback(hObject, eventdata, handles)
% hObject    handle to pushbutton6 (see GCBO)
% eventdata  reserved - to be defined in a future version of MATLAB
% handles    structure with handles and user data (see GUIDATA)
test = handles.ImgData3;
Affect = handles.ImgData4;
% Load All The Features
load('Training_Data.mat')

% Put the test features into variable 'test'

result = multisvm(Train_Feat,Train_Label,test);
%disp(result);

% Visualize Results
if result == 0
    R1 = 'Alternaria Alternata';
    set(handles.edit2,'string',R1);
    set(handles.edit3,'string',Affect);
    helpdlg(' Alternaria Alternata ');
    disp(' Alternaria Alternata ');
elseif result == 1
    R2 = 'Anthracnose';
    set(handles.edit2,'string',R2);
    set(handles.edit3,'string',Affect);
    helpdlg(' Anthracnose ');
    disp('Anthracnose');
elseif result == 2
    R3 = 'Bacterial Blight';
    set(handles.edit2,'string',R3);
    set(handles.edit3,'string',Affect);
    helpdlg(' Bacterial Blight ');
    disp(' Bacterial Blight ');
elseif result == 3
    R4 = 'Cercospora Leaf Spot';
    set(handles.edit2,'string',R4);
    set(handles.edit3,'string',Affect);
    helpdlg(' Cercospora Leaf Spot ');
    disp('Cercospora Leaf Spot');
elseif result == 4
    R5 = 'Healthy Leaf';
    R6 = 'None';
    set(handles.edit2,'string',R5);
    set(handles.edit3,'string',R6);
    helpdlg(' Healthy Leaf ');
    disp('Healthy Leaf ');
end
% Update GUI
guidata(hObject,handles);

% --- Executes on button press in pushbutton7.
function pushbutton7_Callback(hObject, eventdata, handles)
% hObject    handle to pushbutton7 (see GCBO)
% eventdata  reserved - to be defined in a future version of MATLAB
% handles    structure with handles and user data (see GUIDATA)
close all


function edit5_Callback(hObject, eventdata, handles)
% hObject    handle to edit5 (see GCBO)
% eventdata  reserved - to be defined in a future version of MATLAB
% handles    structure with handles and user data (see GUIDATA)

% Hints: get(hObject,'String') returns contents of edit5 as text
%        str2double(get(hObject,'String')) returns contents of edit5 as a double


% --- Executes during object creation, after setting all properties.
function edit5_CreateFcn(hObject, eventdata, handles)
% hObject    handle to edit5 (see GCBO)
% eventdata  reserved - to be defined in a future version of MATLAB
% handles    empty - handles not created until after all CreateFcns called

% Hint: edit controls usually have a white background on Windows.
%       See ISPC and COMPUTER.
if ispc && isequal(get(hObject,'BackgroundColor'), get(0,'defaultUicontrolBackgroundColor'))
    set(hObject,'BackgroundColor','white');
end



function edit6_Callback(hObject, eventdata, handles)
% hObject    handle to edit6 (see GCBO)
% eventdata  reserved - to be defined in a future version of MATLAB
% handles    structure with handles and user data (see GUIDATA)

% Hints: get(hObject,'String') returns contents of edit6 as text
%        str2double(get(hObject,'String')) returns contents of edit6 as a double


% --- Executes during object creation, after setting all properties.
function edit6_CreateFcn(hObject, eventdata, handles)
% hObject    handle to edit6 (see GCBO)
% eventdata  reserved - to be defined in a future version of MATLAB
% handles    empty - handles not created until after all CreateFcns called

% Hint: edit controls usually have a white background on Windows.
%       See ISPC and COMPUTER.
if ispc && isequal(get(hObject,'BackgroundColor'), get(0,'defaultUicontrolBackgroundColor'))
    set(hObject,'BackgroundColor','white');
end



function edit7_Callback(hObject, eventdata, handles)
% hObject    handle to edit7 (see GCBO)
% eventdata  reserved - to be defined in a future version of MATLAB
% handles    structure with handles and user data (see GUIDATA)

% Hints: get(hObject,'String') returns contents of edit7 as text
%        str2double(get(hObject,'String')) returns contents of edit7 as a double


% --- Executes during object creation, after setting all properties.
function edit7_CreateFcn(hObject, eventdata, handles)
% hObject    handle to edit7 (see GCBO)
% eventdata  reserved - to be defined in a future version of MATLAB
% handles    empty - handles not created until after all CreateFcns called

% Hint: edit controls usually have a white background on Windows.
%       See ISPC and COMPUTER.
if ispc && isequal(get(hObject,'BackgroundColor'), get(0,'defaultUicontrolBackgroundColor'))
    set(hObject,'BackgroundColor','white');
end



function edit8_Callback(hObject, eventdata, handles)
% hObject    handle to edit8 (see GCBO)
% eventdata  reserved - to be defined in a future version of MATLAB
% handles    structure with handles and user data (see GUIDATA)

% Hints: get(hObject,'String') returns contents of edit8 as text
%        str2double(get(hObject,'String')) returns contents of edit8 as a double


% --- Executes during object creation, after setting all properties.
function edit8_CreateFcn(hObject, eventdata, handles)
% hObject    handle to edit8 (see GCBO)
% eventdata  reserved - to be defined in a future version of MATLAB
% handles    empty - handles not created until after all CreateFcns called

% Hint: edit controls usually have a white background on Windows.
%       See ISPC and COMPUTER.
if ispc && isequal(get(hObject,'BackgroundColor'), get(0,'defaultUicontrolBackgroundColor'))
    set(hObject,'BackgroundColor','white');
end



function edit9_Callback(hObject, eventdata, handles)
% hObject    handle to edit9 (see GCBO)
% eventdata  reserved - to be defined in a future version of MATLAB
% handles    structure with handles and user data (see GUIDATA)

% Hints: get(hObject,'String') returns contents of edit9 as text
%        str2double(get(hObject,'String')) returns contents of edit9 as a double


% --- Executes during object creation, after setting all properties.
function edit9_CreateFcn(hObject, eventdata, handles)
% hObject    handle to edit9 (see GCBO)
% eventdata  reserved - to be defined in a future version of MATLAB
% handles    empty - handles not created until after all CreateFcns called

% Hint: edit controls usually have a white background on Windows.
%       See ISPC and COMPUTER.
if ispc && isequal(get(hObject,'BackgroundColor'), get(0,'defaultUicontrolBackgroundColor'))
    set(hObject,'BackgroundColor','white');
end



function edit10_Callback(hObject, eventdata, handles)
% hObject    handle to edit10 (see GCBO)
% eventdata  reserved - to be defined in a future version of MATLAB
% handles    structure with handles and user data (see GUIDATA)

% Hints: get(hObject,'String') returns contents of edit10 as text
%        str2double(get(hObject,'String')) returns contents of edit10 as a double


% --- Executes during object creation, after setting all properties.
function edit10_CreateFcn(hObject, eventdata, handles)
% hObject    handle to edit10 (see GCBO)
% eventdata  reserved - to be defined in a future version of MATLAB
% handles    empty - handles not created until after all CreateFcns called

% Hint: edit controls usually have a white background on Windows.
%       See ISPC and COMPUTER.
if ispc && isequal(get(hObject,'BackgroundColor'), get(0,'defaultUicontrolBackgroundColor'))
    set(hObject,'BackgroundColor','white');
end



function edit11_Callback(hObject, eventdata, handles)
% hObject    handle to edit11 (see GCBO)
% eventdata  reserved - to be defined in a future version of MATLAB
% handles    structure with handles and user data (see GUIDATA)

% Hints: get(hObject,'String') returns contents of edit11 as text
%        str2double(get(hObject,'String')) returns contents of edit11 as a double


% --- Executes during object creation, after setting all properties.
function edit11_CreateFcn(hObject, eventdata, handles)
% hObject    handle to edit11 (see GCBO)
% eventdata  reserved - to be defined in a future version of MATLAB
% handles    empty - handles not created until after all CreateFcns called

% Hint: edit controls usually have a white background on Windows.
%       See ISPC and COMPUTER.
if ispc && isequal(get(hObject,'BackgroundColor'), get(0,'defaultUicontrolBackgroundColor'))
    set(hObject,'BackgroundColor','white');
end



function edit12_Callback(hObject, eventdata, handles)
% hObject    handle to edit12 (see GCBO)
% eventdata  reserved - to be defined in a future version of MATLAB
% handles    structure with handles and user data (see GUIDATA)

% Hints: get(hObject,'String') returns contents of edit12 as text
%        str2double(get(hObject,'String')) returns contents of edit12 as a double


% --- Executes during object creation, after setting all properties.
function edit12_CreateFcn(hObject, eventdata, handles)
% hObject    handle to edit12 (see GCBO)
% eventdata  reserved - to be defined in a future version of MATLAB
% handles    empty - handles not created until after all CreateFcns called

% Hint: edit controls usually have a white background on Windows.
%       See ISPC and COMPUTER.
if ispc && isequal(get(hObject,'BackgroundColor'), get(0,'defaultUicontrolBackgroundColor'))
    set(hObject,'BackgroundColor','white');
end



function edit13_Callback(hObject, eventdata, handles)
% hObject    handle to edit13 (see GCBO)
% eventdata  reserved - to be defined in a future version of MATLAB
% handles    structure with handles and user data (see GUIDATA)

% Hints: get(hObject,'String') returns contents of edit13 as text
%        str2double(get(hObject,'String')) returns contents of edit13 as a double


% --- Executes during object creation, after setting all properties.
function edit13_CreateFcn(hObject, eventdata, handles)
% hObject    handle to edit13 (see GCBO)
% eventdata  reserved - to be defined in a future version of MATLAB
% handles    empty - handles not created until after all CreateFcns called

% Hint: edit controls usually have a white background on Windows.
%       See ISPC and COMPUTER.
if ispc && isequal(get(hObject,'BackgroundColor'), get(0,'defaultUicontrolBackgroundColor'))
    set(hObject,'BackgroundColor','white');
end



function edit14_Callback(hObject, eventdata, handles)
% hObject    handle to edit14 (see GCBO)
% eventdata  reserved - to be defined in a future version of MATLAB
% handles    structure with handles and user data (see GUIDATA)

% Hints: get(hObject,'String') returns contents of edit14 as text
%        str2double(get(hObject,'String')) returns contents of edit14 as a double


% --- Executes during object creation, after setting all properties.
function edit14_CreateFcn(hObject, eventdata, handles)
% hObject    handle to edit14 (see GCBO)
% eventdata  reserved - to be defined in a future version of MATLAB
% handles    empty - handles not created until after all CreateFcns called

% Hint: edit controls usually have a white background on Windows.
%       See ISPC and COMPUTER.
if ispc && isequal(get(hObject,'BackgroundColor'), get(0,'defaultUicontrolBackgroundColor'))
    set(hObject,'BackgroundColor','white');
end



function edit15_Callback(hObject, eventdata, handles)
% hObject    handle to edit15 (see GCBO)
% eventdata  reserved - to be defined in a future version of MATLAB
% handles    structure with handles and user data (see GUIDATA)

% Hints: get(hObject,'String') returns contents of edit15 as text
%        str2double(get(hObject,'String')) returns contents of edit15 as a double


% --- Executes during object creation, after setting all properties.
function edit15_CreateFcn(hObject, eventdata, handles)
% hObject    handle to edit15 (see GCBO)
% eventdata  reserved - to be defined in a future version of MATLAB
% handles    empty - handles not created until after all CreateFcns called

% Hint: edit controls usually have a white background on Windows.
%       See ISPC and COMPUTER.
if ispc && isequal(get(hObject,'BackgroundColor'), get(0,'defaultUicontrolBackgroundColor'))
    set(hObject,'BackgroundColor','white');
end



function edit16_Callback(hObject, eventdata, handles)
% hObject    handle to edit16 (see GCBO)
% eventdata  reserved - to be defined in a future version of MATLAB
% handles    structure with handles and user data (see GUIDATA)

% Hints: get(hObject,'String') returns contents of edit16 as text
%        str2double(get(hObject,'String')) returns contents of edit16 as a double


% --- Executes during object creation, after setting all properties.
function edit16_CreateFcn(hObject, eventdata, handles)
% hObject    handle to edit16 (see GCBO)
% eventdata  reserved - to be defined in a future version of MATLAB
% handles    empty - handles not created until after all CreateFcns called

% Hint: edit controls usually have a white background on Windows.
%       See ISPC and COMPUTER.
if ispc && isequal(get(hObject,'BackgroundColor'), get(0,'defaultUicontrolBackgroundColor'))
    set(hObject,'BackgroundColor','white');
end



function edit17_Callback(hObject, eventdata, handles)
% hObject    handle to edit17 (see GCBO)
% eventdata  reserved - to be defined in a future version of MATLAB
% handles    structure with handles and user data (see GUIDATA)

% Hints: get(hObject,'String') returns contents of edit17 as text
%        str2double(get(hObject,'String')) returns contents of edit17 as a double


% --- Executes during object creation, after setting all properties.
function edit17_CreateFcn(hObject, eventdata, handles)
% hObject    handle to edit17 (see GCBO)
% eventdata  reserved - to be defined in a future version of MATLAB
% handles    empty - handles not created until after all CreateFcns called

% Hint: edit controls usually have a white background on Windows.
%       See ISPC and COMPUTER.
if ispc && isequal(get(hObject,'BackgroundColor'), get(0,'defaultUicontrolBackgroundColor'))
    set(hObject,'BackgroundColor','white');
end