【目标融合】基于拓展卡尔曼滤波实现车载激光雷达和雷达的数据融合matlab源码

256 阅读7分钟

一、简介

扩展卡尔曼滤波器理论

如下图所示。扩展卡尔曼滤波的理论和编程依旧需要使用到这些公式,相比于原生的卡尔曼滤波,只在个别地方有所不同。

1、代码:初始化(Initialization) 

扩展卡尔曼滤波的初始化,需要将各个变量进行设置,对于不同的运动模型,状态向量是不一样的。为了保证代码对不同状态向量的兼容性,我们使用Eigen库中非定长的数据结构。

如下所示,我们新建了一个ExtendedKalmanFilter类,定义了一个叫做x_的状态向量(state vector)。代码中的VerctorXd表示X维的列向量,元素的数据类型为double。

初始化扩展卡尔曼滤波器时需要输入一个初始的状态量x_in,用以表示障碍物最初的位置和速度信息,一般直接使用第一次的测量结果。 

2、代码:预测(Prediction) 

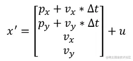
完成初始化后,我们开始写Prediction部分的代码。首先是公式

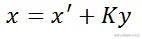
这里的x为状态向量,通过左乘一个矩阵F,再加上外部的影响u,得到预测的状态向量x'。这里的F被称作状态转移矩阵(state transistion matrix)。以2维的匀速运动为例,这里的x为

根据中学物理课本中的公式s1 = s0 + vt,经过时间△t后的预测状态向量应该是

对于二维的匀速运动模型,加速度为0,并不会对预测后的状态造成影响,因此

如果换成加速或减速运动模型,可以引入加速度ax和ay,根据s1 = s0 + vt + at^2/2这里的u会变成:

作为入门,这里不讨论太复杂的模型,因此公式

最终将写成

再看预测模块的第二个公式

 

该公式中P表示系统的不确定程度,这个不确定程度,在卡尔曼滤波器初始化时会很大,随着越来越多的数据注入滤波器中,不确定程度会变小,P的专业术语叫状态协方差矩阵(state covariance matrix);这里的Q表示过程噪声(process covariance matrix),即无法用x'=Fx+u表示的噪声,比如车辆运动时突然到了上坡,这个影响是无法用之前的状态转移方程估计的。

毫米波雷达测量障碍物在径向上的位置和速度相对准确,不确定度较低,因此可以对状态协方差矩阵P进行如下初始化:

 

由于Q对整个系统存在影响,但又不能太确定对系统的影响有多大。对于简单的模型来说,这里可以直接使用单位矩阵或空值进行计算,即

 

根据以上内容和公式

 代码:观测(Measurement) 

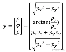
观测的第一个公式是

这个公式的目的是计算观测到的观测值z与预测值x'之间差值y。 

前面提到过毫米波雷达观测值z的数据特性,如下图所示:

 

 

 

 

由图可知观测值z的数据维度为3×1,为了能够实现矩阵运算,y和Hx'的数据维度也都为3×1。 

使用基本的数学运算可以完成预测值x'从笛卡尔坐标系到极坐标系的坐标转换,求得Hx',再与观测值z进行计算。需要注意的是,在计算差值y的这一步中,我们通过坐标转换的方式避开了未知的旋转矩阵H的计算,直接得到了Hx’的值。 (ps:Hx’就是传感器坐标系下的预测值坐标)

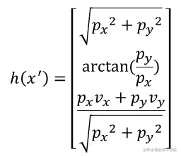
为了简化表达,我们用px,py以及vx和vy表示预测后的位置及速度,如下所示:

 

 

其中测量值z和预测后的位置x'都是已知量,因此我们很容易计算得到观测与预测的差值y。 

毫米波雷达在转换时涉及到笛卡尔坐标系和极坐标系的位置、速度转换,这个转化过程是非线性的。因而在处理类似毫米波雷达这种非线性的模型时,习惯于将计算差值y的公式写成如下,以作线性和非线性模型的区分。

 

 对应上面的式子,这里的h(x')为:

 

 再看卡尔曼滤波器接下来的两个公式

这两个公式求的是卡尔曼滤波器中一个很重要的量——卡尔曼增益K(Kalman Gain),用人话讲就是求差值y的权值。第一个公式中的R是测量噪声矩阵(measurement covariance matrix),这个表示的是测量值与真值之间的差值。一般情况下,传感器的厂家会提供。如果厂家未提供,我们也可以通过测试和调试得到。S只是为了简化公式,写的一个临时变量,不用太在意。 

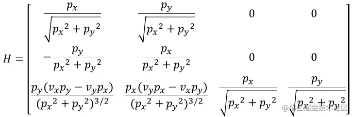
由于求得卡尔曼增益K需要使用到测量矩阵H,因此接下来的任务就是得到H。 

毫米波雷达观测z是包含位置、角度和径向速度的3x1的列向量,状态向量x'是包含位置和速度信息的4x1的列向量,根据公式y=z-Hx'可知测量矩阵(Measurement Matrix)H的维度是3行4列。即:

从上面的公式很容易看出,等式两边的转化是非线性的,并不存在一个常数矩阵H,能够使得等式两边成立。

 

如果将高斯分布作为输入,输入到一个非线性函数中,得到的结果将不再符合高斯分布,也就将导致卡尔曼滤波器的公式不再适用。因此我们需要将上面的非线性函数转化为近似的线性函数求解。

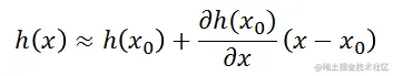
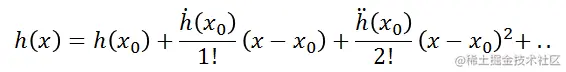
在大学课程《高等数学》中我们学过,非线性函数y=h(x)可通过泰勒公式在点(x0,y0)处展开为泰勒级数:

 

忽略二次以上的高阶项,即可得到近似的线性化方程,用以替代非线性函数h(x),即:

将非线性函数h(x)拓展到多维,即求各个变量的偏导数,即:

对x求偏导数所对应的这一项被称为雅可比(Jacobian)式。

我们将求偏导数的公式与我们的之前推导的公式对应起来看x的系数,会发现这里的测量矩阵H其实就是泰勒公式中的雅可比式。

多维的雅可比式的推导过程有兴趣的同学可以自己研究一下,这里我们直接使用其结论:

 

求得非线性函数h(x')对px,py,vx,vy的一阶偏导数,并排列成的矩阵,最终得到雅克比(Jacobian)矩阵H:

 

其中

 

接下来就是考验各位高等数学求偏导数功底的时候了!

 

经过一系列计算,最终得到测量矩阵H为:

 

 根据以上公式可知,在每次预测障碍物的状态后,需要根据预测的位置和速度计算出对应的测量矩阵H,这个测量矩阵为非线性函数h(x')在x'所在位置进行求导的结果。

再看卡尔曼滤波器的最后两个公式

这两个公式,实际上完成了卡尔曼滤波器的闭环,第一个公式是完成了当前状态向量x的更新,不仅考虑了上一时刻的预测值,也考虑了测量值,和整个系统的噪声,第二个公式根据卡尔曼增益K,更新了系统的不确定度P,用于下一个周期的运算,该公式中的I为与状态向量同维度的单位矩阵。

二、部分代码

clear;
clf;
dt = 0.1;
Data = csvread('Radar_Lidar_Data1.csv',1,1);
% Data = csvread('Radar_Lidar_Data2.csv',1,1);
Radar_Measurement = [];
Lidar_Measurement = [];
EKF_Path = [];

F = [[1, 0, dt, 0];
     [0, 1, 0, dt];
     [0, 0, 1, 0];
     [0, 0, 0, 1]];
 
u = 0;
B = [(dt^2)/2 (dt^2)/2 dt dt]';

P = [[1, 0, 0, 0];
     [0, 1, 0, 0];
     [0, 0, 1000, 0];
     [0, 0, 0, 1000]];


R_l = [[0.0025, 0];
       [0, 0.0025]];
  
R_r = [[0.09, 0, 0];
      [0, 0.005, 0];
      [0, 0, 0.09]];
 

Q = [(dt^2)/4 0 (dt^3)/2 0;     0 (dt^2)/4 0 (dt^3)/2;     (dt^3/2) 0 (dt^2) 0;     0 (dt^3)/2 0 (dt^2)];


H = [[1, 0, 0, 0];
     [0, 1, 0, 0]];

I = eye(4);

if (Data(1,1) == 1)
    x = [Data(1,2); Data(1,3); 0; 0];
else
    x = [Data(1,2); Data(1,3); Data(1,4); 0];
end

    
  

for i = 1:length(Radar_Measurement)
    Radar_Measurement_Cart(i,:) = [[Radar_Measurement(i,1),0];[0, Radar_Measurement(i,1)]]*[cos(Radar_Measurement(i,2));sin(Radar_Measurement(i,2))];
end

hold on;

plot(Data(:,6),Data(:,7),'linewidth', 2);
scatter(EKF_Path(:,1),EKF_Path(:,2),25,'filled','r');
scatter(Lidar_Measurement(:,1),Lidar_Measurement(:,2),5,'filled','blue');
scatter(Radar_Measurement_Cart(:,1),Radar_Measurement_Cart(:,2),5,'filled','g');

legend('Grundtruth','EKF Path result','Lidar Measurement','Radar Measurement','Location','northwest');
axis square;
hold off;

三、结果