【预测模型】基于RBF神经网络实现清水值预测matlab源码

203 阅读2分钟

一、简介

RBF神将网络是一种三层神经网络,其包括输入层、隐层、输出层。从输入空间到隐层空间的变换是非线性的,而从隐层空间到输出层空间变换是线性的。流图如下:
在这里插入图片描述
RBF网络的基本思想是:用RBF作为隐单元的“基”构成隐含层空间,这样就可以将输入矢量直接映射到隐空间,而不需要通过权连接。当RBF的中心点确定以后,这种映射关系也就确定了。而隐含层空间到输出空间的映射是线性的,即网络的输出是隐单元输出的线性加权和,此处的权即为网络可调参数。其中,隐含层的作用是把向量从低维度的p映射到高维度的h,这样低维度线性不可分的情况到高维度就可以变得线性可分了,主要就是核函数的思想。这样,网络由输入到输出的映射是非线性的,而网络输出对可调参数而言却又是线性的。网络的权就可由线性方程组直接解出,从而大大加快学习速度并避免局部极小问题。
在这里插入图片描述
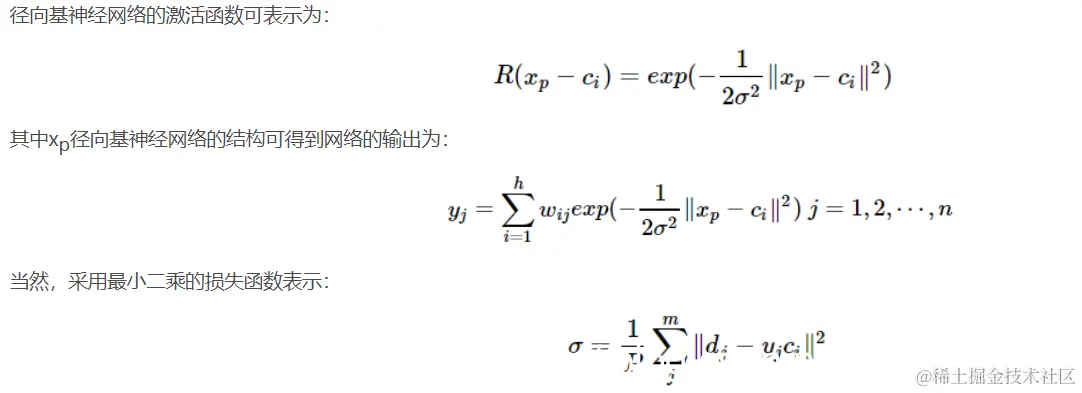
2 RBF神经网络的学习问题
在这里插入图片描述

二、源代码

%% I. 清空环境变量
clear all
clc

%% II. 训练集/测试集产生
%%
% 1. 导入数据
list=dir(['.\data\','*.xls']);
k=length(list);
data_train_x=[];%训练集输入
data_train_y=[];%训练集输出
data_test_x=[];%测试集输入
data_test_y=[];%测试集输出
 for i=1:k
 str= strcat ('.\data\', list(i).name)
if i<k
 [data_train_x1,data_train_y1]=data_chuli(str);
 data_train_x=[data_train_x;data_train_x1];%训练集输入
  data_train_y=[data_train_y;data_train_y1];%训练集输入
else
    [data_test_x1,data_test_y1]=data_chuli(str);
 data_test_x=[data_test_x;data_test_x1];%训练集输入
data_test_y=[data_test_y;data_test_y1];%训练集输入 
end
 end

三、运行结果

在这里插入图片描述

完整代码或仿真咨询QQ1575304183