【图像识别】基于模板匹配算法识别人脸matlab源码含GUI

179 阅读4分钟

一、简介

应用统计方法解决模式识别问题时,一再碰到的问题之一就是维数问题。在低维空间里解析上或计算上行得通的方法,在高维空间里往往行不通。因此,降低维数有时就会成为处理实际问题的关键。

1 问题描述:如何根据实际情况找到一条最好的、最易于分类的投影线,这就是Fisher判别方法所要解决的基本问题。
考虑把d维空间的样本投影到一条直线上,形成一维空间,即把维数压缩到一维。然而,即使样本在d维空间里形成若干紧凑的互相分得开的集群,当把它们投影到一条直线上时,也可能会是几类样本混在一起而变得无法识别。但是,在一般情况下,总可以找到某个方向,使在这个方向的直线上,样本的投影能分得开。下图可能会更加直观一点:
在这里插入图片描述
在这里插入图片描述
类效果。因此,上述寻找最佳投影方向的问题,在数学上就是寻找最好的变换向量w*的问题。

2 Fisher准则函数的定义
几个必要的基本参量:
2.1在d维X空间
(1)各类样本的均值向量mi
在这里插入图片描述
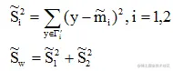
(2)样本类内离散度矩阵Si和总样本类内离散度矩阵Sw
在这里插入图片描述
其中Sw是对称半正定矩阵,而且当N>d时通常是非奇异的。(半正定矩阵:特征值都不小于零的实对称矩阵;非奇异矩阵:矩阵的行列式不为零)
(3)样本类间离散度矩阵Sb
在这里插入图片描述
Sb是对称半正定矩阵。
3.2 在一维Y空间
(1)各类样本的均值
在这里插入图片描述
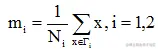
(2)样本类内离散度 和总样本类内离散度
在这里插入图片描述
我们希望投影后,在一维Y空间中各类样本尽可能分得开些,即希望两类均值之差越大越好,同时希望各类样本内部尽量密集,即希望类内离散度越小越好。
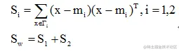
Fisher准则函数定义
在这里插入图片描述
在这里插入图片描述
因此,
在这里插入图片描述
将上述各式代入JF(w),可得:
在这里插入图片描述
其中Sb为样本类间离散度矩阵,Sw为总样本类内离散度矩阵。

4 最佳变换向量w*的求取
在这里插入图片描述
在这里插入图片描述

二、源代码

function varargout = faceCore(varargin)
% FACECORE M-file for faceCore.fig
%      FACECORE, by itself, creates a new FACECORE or raises the existing
%      singleton*.
%
%      H = FACECORE returns the handle to a new FACECORE or the handle to
%      the existing singleton*.
%
%      FACECORE('CALLBACK',hObject,eventData,handles,...) calls the local
%      function named CALLBACK in FACECORE.M with the given input arguments.
%
%      FACECORE('Property','Value',...) creates a new FACECORE or raises the
%      existing singleton*.  Starting from the left, property value pairs are
%      applied to the GUI before faceCore_OpeningFunction gets called.  An
%      unrecognized property name or invalid value makes property application
%      stop.  All inputs are passed to faceCore_OpeningFcn via varargin.
%
%      *See GUI Options on GUIDE's Tools menu.  Choose "GUI allows only one
%      instance to run (singleton)".
%
% See also: GUIDE, GUIDATA, GUIHANDLES
 
% Copyright 2002-2003 The MathWorks, Inc.
 
% Edit the above text to modify the response to help faceCore
 
% Last Modified by GUIDE v2.5 28-May-2009 10:21:26
 
% Begin initialization code - DO NOT EDIT
gui_Singleton = 1;
gui_State = struct('gui_Name',       mfilename, ...
                   'gui_Singleton',  gui_Singleton, ...
                   'gui_OpeningFcn', @faceCore_OpeningFcn, ...
                   'gui_OutputFcn',  @faceCore_OutputFcn, ...
                   'gui_LayoutFcn',  [] , ...
                   'gui_Callback',   []);
if nargin && ischar(varargin{1})
    gui_State.gui_Callback = str2func(varargin{1});
end
 
if nargout
    [varargout{1:nargout}] = gui_mainfcn(gui_State, varargin{:});
else
    gui_mainfcn(gui_State, varargin{:});
end
% End initialization code - DO NOT EDIT
 
 
% --- Executes just before faceCore is made visible.
function faceCore_OpeningFcn(hObject, eventdata, handles, varargin)
% This function has no output args, see OutputFcn.
% hObject    handle to figure
% eventdata  reserved - to be defined in a future version of MATLAB
% handles    structure with handles and user data (see GUIDATA)
% varargin   command line arguments to faceCore (see VARARGIN)
 
% Choose default command line output for faceCore
handles.output = hObject;
 
% Update handles structure
guidata(hObject, handles);
 
% UIWAIT makes faceCore wait for user response (see UIRESUME)
% uiwait(handles.figure1);
 
 
% --- Outputs from this function are returned to the command line.
function varargout = faceCore_OutputFcn(hObject, eventdata, handles) 
% varargout  cell array for returning output args (see VARARGOUT);
% hObject    handle to figure
% eventdata  reserved - to be defined in a future version of MATLAB
% handles    structure with handles and user data (see GUIDATA)
 
% Get default command line output from handles structure
varargout{1} = handles.output;
 
 
% --- Executes on button press in pushbutton1.
function pushbutton1_Callback(hObject, eventdata, handles)
% hObject    handle to pushbutton1 (see GCBO)
% eventdata  reserved - to be defined in a future version of MATLAB
% handles    structure with handles and user data (see GUIDATA)
global TrainDatabasePath ;
TrainDatabasePath = uigetdir(strcat(matlabroot,'\work'), '训练库路径选择...' );
 
% --- Executes on button press in pushbutton2.
function pushbutton2_Callback(hObject, eventdata, handles)
% hObject    handle to pushbutton2 (see GCBO)
% eventdata  reserved - to be defined in a future version of MATLAB
% handles    structure with handles and user data (see GUIDATA)
global TestDatabasePath;
TestDatabasePath = uigetdir(strcat(matlabroot,'\work'), '测试库路径选择...');
 
% --- Executes on button press in pushbutton3.
%function pushbutton3_Callback(hObject, eventdata, handles)
% hObject    handle to pushbutton3 (see GCBO)
% eventdata  reserved - to be defined in a future version of MATLAB
% handles    structure with handles and user data (see GUIDATA)
%[filename,pathname]=uigetfile({'*.jpg';'*.bmp'},'');
%str=[pathname  filename];
%im=imread(str);
%axes(handles.axes1);
%imshow(im);
 
 
 
% --- Executes on button press in pushbutton4.
function pushbutton4_Callback(hObject, eventdata, handles)
% hObject    handle to pushbutton4 (see GCBO)
% eventdata  reserved - to be defined in a future version of MATLAB
% handles    structure with handles and user data (see GUIDATA)
global TrainDatabasePath ;
global TestDatabasePath;
global T;
T = CreateDatabase(TrainDatabasePath);
%[m V_PCA V_Fisher ProjectedImages_Fisher] = FisherfaceCore(T);
 
% --- Executes on button press in pushbutton5.
function pushbutton9_Callback(hObject, eventdata, handles)
% hObject    handle to pushbutton5 (see GCBO)
% eventdata  reserved - to be defined in a future version of MATLAB
% handles    structure with handles and user data (see GUIDATA)
global im;
[filename,pathname]=uigetfile({'*.jpg';'*.bmp'},'选择测试图片...');
str=[pathname  filename];
im=imread(str);
axes(handles.axes1);
imshow(im);
function OutputName = Recognition(TestImage, m_database, V_PCA, V_Fisher, ProjectedImages_Fisher)
% Recognizing step....
%
% Description: This function compares two faces by projecting the images into facespace and 
% measuring the Euclidean distance between them.
%
% Argument:      TestImage              - Path of the input test image
%
%                m_database             - (M*Nx1) Mean of the training database
%                                         database, which is output of 'EigenfaceCore' function.
%
%                V_PCA                  - (M*Nx(P-1)) Eigen vectors of the covariance matrix of 
%                                         the training database
 
%                V_Fisher               - ((P-1)x(C-1)) Largest (C-1) eigen vectors of matrix J = inv(Sw) * Sb
 
%                ProjectedImages_Fisher - ((C-1)xP) Training images, which
%                                         are projected onto Fisher linear space
% 
% Returns:       OutputName             - Name of the recognized image in the training database.
%
% See also: RESHAPE, STRCAT
 
% Original version by Amir Hossein Omidvarnia, October 2007
%                     Email: aomidvar@ece.ut.ac.ir                  
 
Train_Number = size(ProjectedImages_Fisher,2);
%%%%%%%%%%%%%%%%%%%%%%%% Extracting the FLD features from test image
%InputImage = imread(TestImage);
temp=TestImage(:,:,1);
%temp = InputImage(:,:,1);
 
[irow icol] = size(temp);
InImage = reshape(temp',irow*icol,1);
Difference = double(InImage)-m_database; % Centered test image
ProjectedTestImage = V_Fisher' * V_PCA' * Difference; % Test image feature vector
 

三、运行结果

在这里插入图片描述
在这里插入图片描述