【图像增强】基于粒子群算法优化gabor滤波器实现图像增强matlab源码

220 阅读1分钟

Gabor变化属于加窗傅里叶变换,Gabor函数可以在频域不同尺度、不同方向上提取相关的特征。Gabor函数与人眼的生物作用相仿,所以经常用于纹理识别上,并取得了较好的效果。

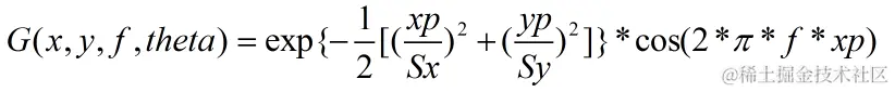
二维Gobor滤波函数:

其中:

xp = x*cos(theta)+y*sin(theta)

yp=y*cos(theta)-x*sin(theta)

 
 
clc
clear all
img = imread('1.bmp');% im :这个是你要输入的图片,运行的过程中会进行灰度变换,名称随意命名
figure;
subplot(121);
imshow(img);%显示原图
title('原图所示');
 %先将彩色图像转换为灰度图像
grayimg = rgb2gray(img);
gim = im2double(grayimg);
 wavelength=3;% wavelength:波长,以像素为单位构造的Gabor滤波器
angle=90;% angle:过滤器的角度,单位为度;0角度意味着响应垂直特征的滤波器
kx=0.5;% kx:控制带宽
ky=0.5;% ky:控制方向选择;一般默认(kx,ky)设置为(0.5,0.5)
[Eim,Oim,Aim] = spatialgabor(gim,wavelength,angle,kx,ky);%spatialgabor(im, wavelength, angle, kx, ky, showfilter)
subplot(122);
imshow(Aim);
Aimsize = size(Aim);%查看滤波之后图像的尺寸
title('Gabor滤波后图');
 

完整代码添加QQ1575304183