掌握了2-3-4树也就掌握了红黑树,不信进来看看,建议收藏!

346 阅读3分钟

「本文已参与好文召集令活动,点击查看:后端、大前端双赛道投稿,2万元奖池等你挑战!」   红黑树的本质是2-3-4树,所以我们先掌握了2-3-4树,那么红黑树就非常容易了。本文重点来介绍2-3-4树。

2-3-4树

1 概念介绍

  2-3-4树是四阶的 B树(Balance Tree),他属于一种多路查找树,它的结构有以下限制:   所有叶子节点都拥有相同的深度。   节点只能是 2-节点、3-节点、4-节点之一。

  • 2-节点:包含 1 个元素的节点,有 2 个子节点;
  • 3-节点:包含 2 个元素的节点,有 3 个子节点;
  • 4-节点:包含 3 个元素的节点,有 4 个子节点;

所有节点必须至少包含1个元素 元素始终保持排序顺序,整体上保持二叉查找树的性质,即父结点大于左子结点,小于右子结点; 而且结点有多个元素时,每个元素必须大于它左边的和它的左子树中元素。

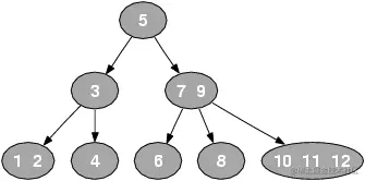
下图是一个典型的 2-3-4树 在这里插入图片描述

2 生成的过程

  接下来我们通过演示来看看2-3-4树生成的过程 第一次插入---2节点 在这里插入图片描述

插入第二个节点--3节点 合并 在这里插入图片描述

插入第三个节点---4节点 合并 在这里插入图片描述

插入第4个节点---需要分裂 在这里插入图片描述

插入6 在这里插入图片描述 插入7 在这里插入图片描述

插入8 在这里插入图片描述 插入9 在这里插入图片描述

插入10 在这里插入图片描述 插入11 在这里插入图片描述

插入12 在这里插入图片描述 最后我们插入1来看看效果 在这里插入图片描述

  到这儿相信大家对于2-3-4树应该有了个直观的认知了。

3 和红黑树的等价关系

  红黑树起源于2-3-4树,它的本质就是2-3-4树。

3.1 2节点

​   一个2节点对应的红黑树节点就是一个黑色节点

在这里插入图片描述

3.2 3节点

  一个三节点可以有两种情况的红黑树节点,一种是右倾,一种是左倾,所以一个2-3-4树可以有多个红黑树 在这里插入图片描述

原则:上黑下红

3.3 4节点

  一个四节点转换的情况只有一种,中间节点黑色,左右节点红色 在这里插入图片描述

3.4 裂变状态

  还有就是在2-3-4树中存在的裂变状态。转换为红黑树后会先变色(不能有两个相邻的红色节点)。 在这里插入图片描述

4 转换为红黑树

  接下来具体看看一个2-3-4树是如何转换为对应的红黑树的,

原始的2-3-4树: 在这里插入图片描述

  按照右倾规则来转换为: 在这里插入图片描述   转换后满足黑色节点平衡的要求   按照左倾规则来转换为: 在这里插入图片描述

  通过对2-3-4树和红黑树的等价关系,对于我们后面分析红黑树的内容会非常有帮助!!!