【图像识别】身份证号码识别matlab源码

423 阅读6分钟

简介:

       本文主要介绍几种基于灰度的图像匹配算法:平均绝对差算法(MAD)、绝对误差和算法(SAD)、误差平方和算法(SSD)、平均误差平方和算法(MSD)、归一化积相关算法(NCC)、序贯相似性检测算法(SSDA)、hadamard变换算法(SATD)。下面依次对其进行讲解。

MAD算法

介绍

        平均绝对差算法(Mean Absolute Differences,简称MAD算法),它是Leese1971年提出的一种匹配算法。是模式识别中常用方法,该算法的思想简单,具有较高的匹配精度,广泛用于图像匹配。

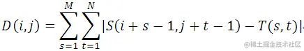
S(x,y) 是大小为mxn的搜索图像,T(x,y)MxN的模板图像,分别如下图 (a)(b) 所示,我们的目的是:在 (a) 中找到与 (b) 匹配的区域(黄框所示)。

算法思路

        在搜索图S中,以 (i,j) 为左上角,取MxN大小的子图,计算其与模板的相似度;遍历整个搜索图,在所有能够取到的子图中,找到与模板图最相似的子图作为最终匹配结果。

MAD算法的相似性测度公式如下。显然,平均绝对差D(i,j) 越小,表明越相似,故只需找到最小的D(i,j) 即可确定能匹配的子图位置:

其中:

算法评价:

优点:

思路简单,容易理解(子图与模板图对应位置上,灰度值之差的绝对值总和,再求平均,实质:是计算的是子图与模板图的L1距离的平均值)。

运算过程简单,匹配精度高。

缺点:

运算量偏大。

对噪声非常敏感。

——————————————————————————————————————————————————————————————————————————————

SAD算法

介绍

        绝对误差和算法(Sum of Absolute Differences,简称SAD算法)。实际上,SAD算法与MAD算法思想几乎是完全一致,只是其相似度测量公式有一点改动(计算的是子图与模板图的L1距离),这里不再赘述。

function varargout = homework2(varargin)
% HOMEWORK2 M-file for homework2.fig
%      HOMEWORK2, by itself, creates a new HOMEWORK2 or raises the existing
%      singleton*.
%
%      H = HOMEWORK2 returns the handle to a new HOMEWORK2 or the handle to
%      the existing singleton*.
%
%      HOMEWORK2('CALLBACK',hObject,eventData,handles,...) calls the local
%      function named CALLBACK in HOMEWORK2.M with the given input arguments.
%
%      HOMEWORK2('Property','Value',...) creates a new HOMEWORK2 or raises the
%      existing singleton*.  Starting from the left, property value pairs are
%      applied to the GUI before homework2_OpeningFcn gets called.  An
%      unrecognized property name or invalid value makes property application
%      stop.  All inputs are passed to homework2_OpeningFcn via varargin.
%
%      *See GUI Options on GUIDE's Tools menu.  Choose "GUI allows only one
%      instance to run (singleton)".
%
% See also: GUIDE, GUIDATA, GUIHANDLES
 
% Edit the above text to modify the response to help homework2
 
% Last Modified by GUIDE v2.5 20-May-2013 21:21:00
 
% Begin initialization code - DO NOT EDIT
gui_Singleton = 1;
gui_State = struct('gui_Name',       mfilename, ...
                   'gui_Singleton',  gui_Singleton, ...
                   'gui_OpeningFcn', @homework2_OpeningFcn, ...
                   'gui_OutputFcn',  @homework2_OutputFcn, ...
                   'gui_LayoutFcn',  [] , ...
                   'gui_Callback',   []);
if nargin && ischar(varargin{1})
    gui_State.gui_Callback = str2func(varargin{1});
end
 
if nargout
    [varargout{1:nargout}] = gui_mainfcn(gui_State, varargin{:});
else
    gui_mainfcn(gui_State, varargin{:});
end
% End initialization code - DO NOT EDIT
 
 
% --- Executes just before homework2 is made visible.
function homework2_OpeningFcn(hObject, eventdata, handles, varargin)
% This function has no output args, see OutputFcn.
% hObject    handle to figure
% eventdata  reserved - to be defined in a future version of MATLAB
% handles    structure with handles and user data (see GUIDATA)
% varargin   command line arguments to homework2 (see VARARGIN)
 
% Choose default command line output for homework2
handles.output = hObject;
 
% Update handles structure
guidata(hObject, handles);
 
% UIWAIT makes homework2 wait for user response (see UIRESUME)
% uiwait(handles.figure1);
 
 
% --- Outputs from this function are returned to the command line.
function varargout = homework2_OutputFcn(hObject, eventdata, handles) 
% varargout  cell array for returning output args (see VARARGOUT);
% hObject    handle to figure
% eventdata  reserved - to be defined in a future version of MATLAB
% handles    structure with handles and user data (see GUIDATA)
 
% Get default command line output from handles structure
varargout{1} = handles.output;
 
%载入原始身份证图像的回调函数
% --- Executes on button press in OriginalImg.
function OriginalImg_Callback(hObject, eventdata, handles)
% hObject    handle to OriginalImg (see GCBO)
% eventdata  reserved - to be defined in a future version of MATLAB
% handles    structure with handles and user data (see GUIDATA)
[FileName,PathName] = uigetfile('*.jpg','Select an image');
if PathName~=0
    str = [PathName,FileName];
    T=imread(str);
    axes(handles.Img);
    imshow(T);
end
 
%图像自动亮度调整的回调函数
% --- Executes on button press in autoLight.
function autoLight_Callback(hObject, eventdata, handles)
% hObject    handle to autoLight (see GCBO)
% eventdata  reserved - to be defined in a future version of MATLAB
% handles    structure with handles and user data (see GUIDATA)
axes(handles.Img);
T=getimage;
 
low_out=0.2; high_out=0.9;
gamma=1.518;
hsv=rgb2hsv(T);
I=hsv(:,:,3);
minL=min(min(I));
maxL=max(max(I));
J=imadjust(I,[minL;maxL],[low_out;high_out],gamma);
hsv(:,:,3)=J;
rgb_atuoI=hsv2rgb(hsv);
axes(handles.Light);
imshow(rgb_atuoI);
 
%图像二值化的回调函数
% --- Executes on button press in DIP.
function DIP_Callback(hObject, eventdata, handles)
% hObject    handle to DIP (see GCBO)
% eventdata  reserved - to be defined in a future version of MATLAB
% handles    structure with handles and user data (see GUIDATA)
axes(handles.Img);
I=getimage;
[m,n,r]=size(I);%图像的像素为width*height
%%%%%蓝色字体变黑
myI=double(I);
 
for i=1:m
    for j=1:n
            if((myI(i,j,1)>=15)&&(myI(i,j,1)<=130)&&((myI(i,j,2)<=165)&&(myI(i,j,2)>=90))&&((myI(i,j,3)<=220)&&(myI(i,j,3)>=135))) % 蓝色RGB的灰度范围
              I(i,j,1)=40; %红色分量
              I(i,j,2)=40; %绿色分量
              I(i,j,3)=40; %蓝色分量
           end  
    end       
end
%figure, imshow(I);title('变色后的图像');
 
width=round(0.9*n);height=round(0.87*m);
rx=round(0.05*n);cy=round(0.075*m);
I=subim(I,height,width,rx,cy);
%figure,imshow(I);
 
 
if sum(size(I)>0)==3 %倘若是彩色图--2维*3,先转换成灰度图
I=rgb2gray(I);
end
%figure,imhist(I);
x=3;%行数分为x部分
y=1;%列数分为y部分
BW=erzhihua(I,x,y);
 
[n m l]=size(BW);%图像的像素为m*n
c = [0.65*m 0.65*m m m];
r = [0 0.85*n 0.85*n 0];
BW = roifill(BW,c,r);
 
BW=imadjust(BW);%使用imadjust函数对图像进行增强对比度
% Convert to BW
threshold = graythresh(BW);
BW =~im2bw(BW,0.6*threshold);
 
[image_h image_w]=size(BW);
% Remove all object containing fewer than (imagen/80) pixels
BW = bwareaopen(BW,floor(image_w/80));
% 滤波
%h=fspecial('average',1);
%BW=im2bw(round(filter2(h,BW)));
%imwrite(d,'4.均值滤波后.jpg');
axes(handles.Binary);
imshow(BW);
 
 
%图像分割与识别按钮的回调函数
% --- Executes on button press in OCR.
function OCR_Callback(hObject, eventdata, handles)
% hObject    handle to OCR (see GCBO)
% eventdata  reserved - to be defined in a future version of MATLAB
% handles    structure with handles and user data (see GUIDATA)
axes(handles.Binary);
imagen = getimage;
[image_h image_w]=size(imagen);
%figure;imshow(imagen);title('INPUT IMAGE')
 
% Convert to gray scale
if size(imagen,3)==3 %RGB image
    imagen=rgb2gray(imagen);
end
 
%Storage matrix word from image
word=[ ];
re=imagen;
%Opens text.txt as file for write
fid = fopen('ID_card.txt', 'wt');
% Load templates
load templates
global templates
% Compute the number of letters in template file
num_letras=size(templates,2);
figure;
plot_flag=1;
while 1
    %Fcn 'lines' separate lines in text
    [fl re]=lines(re);
    imgn=fl;
    [line_h line_w]=size(fl);%记录下切割出来的一行字符的长宽
    %Uncomment line below to see lines one by one
    % imshow(fl);pause(1)    
    %-----------------------------------------------------------------     
    % Label and count connected components
   [L Ne] = bwlabel(imgn);    
 
      n=1;%记录循环次数
while(n<=Ne)
        char_flag=0;%为0时,是第一次判断这个连通域
        flag=1;%初始化两个连通域属于同个字符
   while(flag==1)       
      if char_flag==0
        [r,c] = find(L==n);
        Width0=max(r)-min(r);%连通域宽度
        Height0=max(c)-min(c);%连通域高度
        Radio0=Width0/Height0;%连通域宽高比
        Square0=Width0*Height0;%连通域面积
        maxr=max(r);
        maxc=max(c);
        minr=min(r);
        minc=min(c);
      end
       if n<Ne
          [r1,c1] = find(L==(n+1));%寻找下一个连通域
          Width1=max(r)-min(r);%连通域宽度
          Height1=max(c)-min(c);%连通域高度
          Radio1=Width1/Height1;%连通域宽高比
          Square1=Width1*Height1;%连通域面积
          Uheight=max(maxc,max(c1))-min(minc,min(c1));%合并后高度
          Uwidth=max(maxr,max(r1))-min(minr,min(r1));%合并后宽度
          Uradio=Uwidth/Uheight;%合并后的宽高比
          Oheigth=Height0+Height1-Uheight;%重叠高度
          Owidth=Width0+Width1-Uwidth;%重叠宽度
          Osquare=Oheigth*Owidth;%重叠面积
       else
           flag=0;%这是这一行最后一个连通域
       end
           ph=5;%边界因子
           pw=7;
       if(flag==1)&&((Owidth>=-(image_w/pw)&&Owidth<=0)||(Oheigth>=-(line_h*0.3)&&Oheigth<=0))%两个连通域较近,但不重叠
           if((Uradio>=0.8)&&(Uradio<=1.2))%认为两个连通域属于同一个字符
           elseif Uheight<line_h*0.4;%连通域的合并之后高度过小的,认为是一个字符的一部分,很可能是边旁部首
           else flag=0;%否则这两个连通域属于不同字符  
           end
       elseif(flag==1)&&(Owidth<-(image_w/pw))%两个连通域里相距较远
           flag=0;%两个连通域属于不同字符
     % elseif(flag==1)&&((Owidth>0)||(Oheigth>0))%两连通域重叠
      elseif(flag==1)&&((Owidth>0))%两连通域重叠
               if(((Uradio>=0.78)&&(Uradio<=1.3)))%认为两个连通域属于同一个字符
               elseif(Osquare>=0.4*min(Square0,Square1)&&(Uwidth<image_w/45))
               else
               flag=0;%两个连通域属于不同字符
           end
       else flag=0;%两个连通域属于不同字符
       end
       if flag==1%经过上面判断,两个连通域属于同一个字符,进行连通域合并
           Width0=Uwidth;%连通域宽度
           Height0=Uheight;%连通域高度
           Radio0=Width0/Height0;%连通域宽高比
           Square0=Width0*Height0;%连通域面积
           maxr=max(maxr,max(r1));
           maxc=max(maxc,max(c1));
           minr=min(minr,min(r1));
           minc=min(minc,min(c1));
           n=n+1;%指向下一个连通域
           char_flag=1;
       end
   end  %while(flag==1)的end
           
        
        
        % Extract letter
        n1=imgn(minr:maxr,minc:maxc);  
        % Resize letter (same size of template)
        img_r=imresize(n1,[36 23]);
        subplot(10,10,plot_flag),imshow(img_r);title(plot_flag);
        plot_flag=plot_flag+1;
        %Uncomment line below to see letters one by one
        % imshow(img_r);title(n);pause(0.5)
        %-------------------------------------------------------------------
        % Call fcn to convert image to text
        letter=read_letter(img_r,num_letras);
        % Letter concatenation
        word=[word letter];
        n=n+1;
    end % while(n<=Ne)的end
    %fprintf(fid,'%s\n',lower(word));%Write 'word' in text file (lower)
    fprintf(fid,'%s\n',word);%Write 'word' in text file (upper)
    % Clear 'word' variable
    word=[ ];
    %*When the sentences finish, breaks the loop
    if isempty(re)  %See variable 're' in Fcn 'lines'
        break
    end    
end
fclose(fid);
%Open 'ID_card.txt' file
winopen('ID_card.txt')
 
 
% --- Executes on button press in Exit.
function Exit_Callback(hObject, eventdata, handles)
% hObject    handle to Exit (see GCBO)
% eventdata  reserved - to be defined in a future version of MATLAB
% handles    structure with handles and user data (see GUIDATA)
clc;
close all;
close(gcf);