leetcode 94. Binary Tree Inorder Traversal(python)

449 阅读1分钟

描述

Given the root of a binary tree, return the inorder traversal of its nodes' values.

Example 1:

avatar

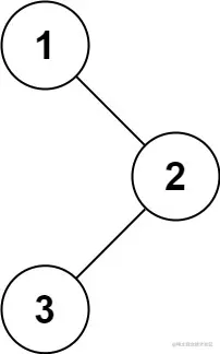
Input: root = [1,null,2,3]
Output: [1,3,2]

Example 2:

Input: root = []
Output: []

Example 3:

Input: root = [1]
Output: [1]

Example 4:

avatar

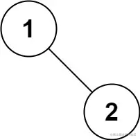
Input: root = [1,2]
Output: [2,1]

Example 5:

avatar

Input: root = [1,null,2]
Output: [1,2]

Note:

The number of nodes in the tree is in the range [0, 100].
-100 <= Node.val <= 100

解析

根据题意,就是中序遍历二叉树,这种时候只需要使用递归,按照先左后根再右的顺序将值都添加到结果列表中。

解答

# Definition for a binary tree node.
# class TreeNode(object):
#     def __init__(self, val=0, left=None, right=None):
#         self.val = val
#         self.left = left
#         self.right = right
class Solution(object):
    def inorderTraversal(self, root):
        """
        :type root: TreeNode
        :rtype: List[int]
        """
        r = []
        def inO(root):
            if not root:
                return 
            inO(root.left)
            r.append(root.val)
            inO(root.right)
        inO(root)
        return r

        	      
		

运行结果

Runtime: 12 ms, faster than 95.55% of Python online submissions for Binary Tree Inorder Traversal.
Memory Usage: 13.5 MB, less than 16.13% of Python online submissions for Binary Tree Inorder Traversal.

原题链接:leetcode.com/problems/bi…

您的支持是我最大的动力