【语音编码】基于matlab LPC编解码【含Matlab源码 554期】

189 阅读1分钟

一、简介

1 LPC编码的基本思想
在这里插入图片描述
在这里插入图片描述
2 LPC特点
在这里插入图片描述
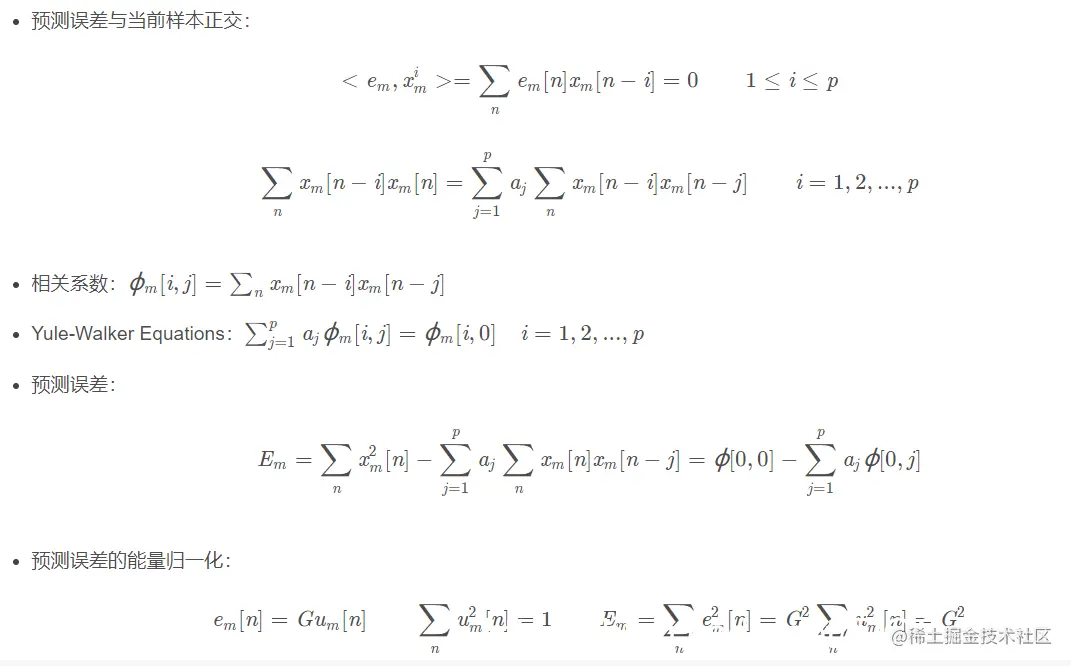
3 LPC分析的正交性原理
在这里插入图片描述
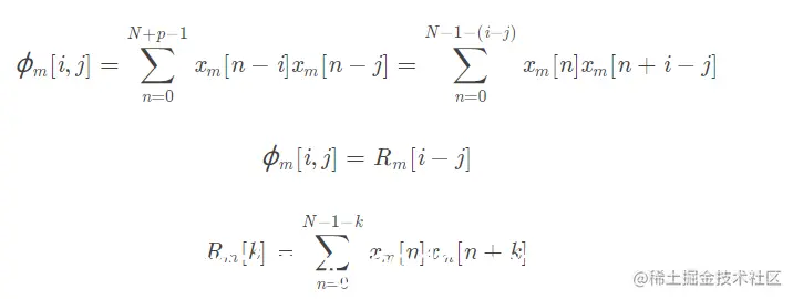
4 LPC方程求解
在这里插入图片描述
在这里插入图片描述
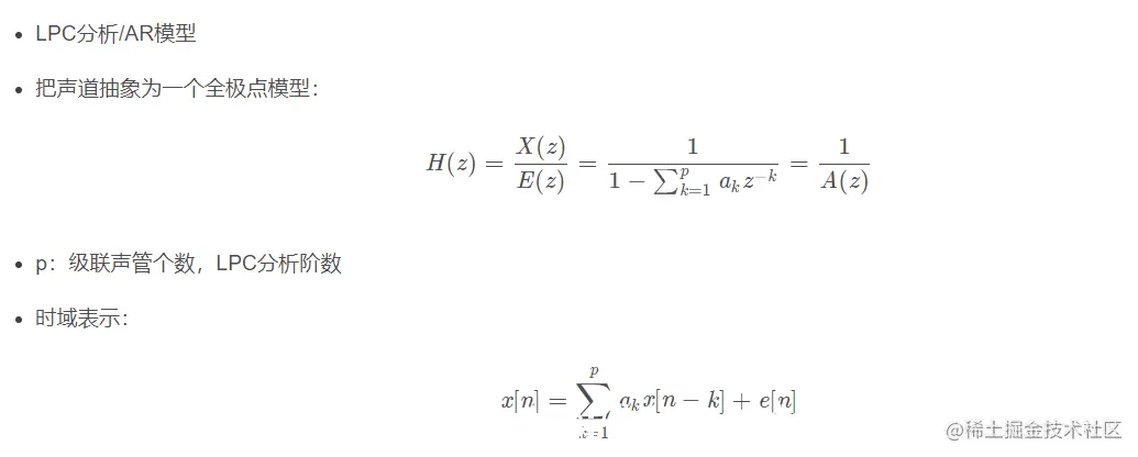
5 语音生成模型
在这里插入图片描述
在这里插入图片描述
在这里插入图片描述
在这里插入图片描述

二、源代码

clc
close all
clear all
[x,fs,nbits]=wavread('C6_2_y');     
LENGTH=length(x);                          
n=0:1/fs:(LENGTH-1)/fs;   

% ---------------------------------------------------------------------- %
% 原始语音信号 %
subplot(2,1,1),plot(n*1000, x),grid ,hold on
xlabel('时间/秒');    ylabel('幅度');

% 简单编解码显示 %
order=12;                                               % 阶数
[a,g]=lpc(x,order);                                   % 预测系数(编码参数)
est_x=filter([0 -a(2:end)],1,x);                  % 解码后信号
plot(n*1000,est_x,'r--'),hold off
title('原始信号与解码后信号')
legend('原始信号','解码后信号')

三、运行结果

在这里插入图片描述