【动力学】基于matlab GUI汽车动力学分析系统【含Matlab源码 1050期】

115 阅读4分钟

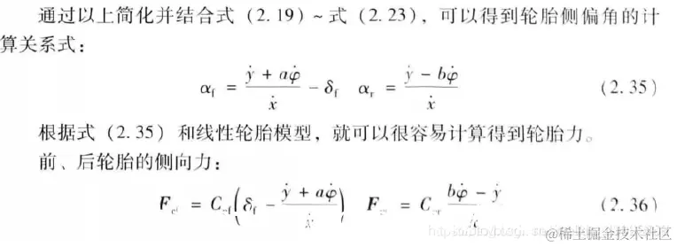
一、简介

在这里插入图片描述
在这里插入图片描述
在这里插入图片描述
在这里插入图片描述
在这里插入图片描述
在纵向时,可能还会受到纵向空气阻力,前轮滚动阻力,后轮滚动阻力,坡道重力分量等

二、源代码

function varargout = CVPower(varargin)
% CVPOWER Application M-file for CVPower.fig
%    FIG = CVPOWER launch CVPower GUI.
%    CVPOWER('callback_name', ...) invoke the named callback.

% Last Modified by GUIDE v2.0 14-Sep-2020 21:44:17

if nargin == 0  % LAUNCH GUI

	fig = openfig(mfilename,'reuse');

	% Use system color scheme for figure:
	set(fig,'Color',get(0,'defaultUicontrolBackgroundColor'));

	% Generate a structure of handles to pass to callbacks, and store it. 
	handles = guihandles(fig);
	guidata(fig, handles);

	if nargout > 0
		varargout{1} = fig;
	end

elseif ischar(varargin{1}) % INVOKE NAMED SUBFUNCTION OR CALLBACK

	try
		if (nargout)
			[varargout{1:nargout}] = feval(varargin{:}); % FEVAL switchyard
		else
			feval(varargin{:}); % FEVAL switchyard
		end
	catch
		disp(lasterr);
	end

end


%| ABOUT CALLBACKS:
%| GUIDE automatically appends subfunction prototypes to this file, and 
%| sets objects' callback properties to call them through the FEVAL 
%| switchyard above. This comment describes that mechanism.
%|
%| Each callback subfunction declaration has the following form:
%| <SUBFUNCTION_NAME>(H, EVENTDATA, HANDLES, VARARGIN)
%|
%| The subfunction name is composed using the object's Tag and the 
%| callback type separated by '_', e.g. 'slider2_Callback',
%| 'figure1_CloseRequestFcn', 'axis1_ButtondownFcn'.
%|
%| H is the callback object's handle (obtained using GCBO).
%|
%| EVENTDATA is empty, but reserved for future use.
%|
%| HANDLES is a structure containing handles of components in GUI using
%| tags as fieldnames, e.g. handles.figure1, handles.slider2. This
%| structure is created at GUI startup using GUIHANDLES and stored in
%| the figure's application data using GUIDATA. A copy of the structure
%| is passed to each callback.  You can store additional information in
%| this structure at GUI startup, and you can change the structure
%| during callbacks.  Call guidata(h, handles) after changing your
%| copy to replace the stored original so that subsequent callbacks see
%| the updates. Type "help guihandles" and "help guidata" for more
%| information.
%|
%| VARARGIN contains any extra arguments you have passed to the
%| callback. Specify the extra arguments by editing the callback
%| property in the inspector. By default, GUIDE sets the property to:
%| <MFILENAME>('<SUBFUNCTION_NAME>', gcbo, [], guidata(gcbo))
%| Add any extra arguments after the last argument, before the final
%| closing parenthesis.
% --------------------------------------------------------------------
function varargout = pushbutton1_Callback(h, eventdata, handles, varargin)
% --------------------------------------------------------------------
function varargout = pushbutton2_Callback(h, eventdata, handles, varargin)
close CVPower;
h2=waitbar(0,'edit interface is openning,please wait...');
for i2=1:1000
    waitbar(i2/1000);
end
close(h2);
CVPowerEdit;
% --------------------------------------------------------------------
function varargout = pushbutton3_Callback(h, eventdata, handles, varargin)
close CVPower;
% --------------------------------------------------------------------
function varargout = CVPowerEdit(varargin)
% CVPOWEREDIT Application M-file for CVPowerEdit.fig
%    FIG = CVPOWEREDIT launch CVPowerEdit GUI.
%    CVPOWEREDIT('callback_name', ...) invoke the named callback.

% Last Modified by GUIDE v2.0 16-Sep-2020 23:57:39

if nargin == 0  % LAUNCH GUI

	fig = openfig(mfilename,'reuse');

	% Generate a structure of handles to pass to callbacks, and store it. 
	handles = guihandles(fig);
	guidata(fig, handles);

	if nargout > 0
		varargout{1} = fig;
	end

elseif ischar(varargin{1}) % INVOKE NAMED SUBFUNCTION OR CALLBACK

	try
		if (nargout)
			[varargout{1:nargout}] = feval(varargin{:}); % FEVAL switchyard
		else
			feval(varargin{:}); % FEVAL switchyard
		end
	catch
		disp(lasterr);
	end

end


%| ABOUT CALLBACKS:
%| GUIDE automatically appends subfunction prototypes to this file, and 
%| sets objects' callback properties to call them through the FEVAL 
%| switchyard above. This comment describes that mechanism.
%|
%| Each callback subfunction declaration has the following form:
%| <SUBFUNCTION_NAME>(H, EVENTDATA, HANDLES, VARARGIN)
%|
%| The subfunction name is composed using the object's Tag and the 
%| callback type separated by '_', e.g. 'slider2_Callback',
%| 'figure1_CloseRequestFcn', 'axis1_ButtondownFcn'.
%|
%| H is the callback object's handle (obtained using GCBO).
%|
%| EVENTDATA is empty, but reserved for future use.
%|
%| HANDLES is a structure containing handles of components in GUI using
%| tags as fieldnames, e.g. handles.figure1, handles.slider2. This
%| structure is created at GUI startup using GUIHANDLES and stored in
%| the figure's application data using GUIDATA. A copy of the structure
%| is passed to each callback.  You can store additional information in
%| this structure at GUI startup, and you can change the structure
%| during callbacks.  Call guidata(h, handles) after changing your
%| copy to replace the stored original so that subsequent callbacks see
%| the updates. Type "help guihandles" and "help guidata" for more
%| information.
%|
%| VARARGIN contains any extra arguments you have passed to the
%| callback. Specify the extra arguments by editing the callback
%| property in the inspector. By default, GUIDE sets the property to:
%| <MFILENAME>('<SUBFUNCTION_NAME>', gcbo, [], guidata(gcbo))
%| Add any extra arguments after the last argument, before the final
%| closing parenthesis.
%--------------------------------------------------------------------
% global nmin nmax ne Ttq m1 m2 r nt f CD A If Iwf Iwr i0 ig Uastar Uaend get1 get2
% if get1==1&get2==0
%    set(handles.radio1,'value',1);
%    set(handles.edit1,'string',num2str(nmin));
%    set(handles.edit2,'string',num2str(nmax));
% else
%     if get1==0&get2==1
%        set(handles.radio2,'value',1);
%        set(handles.edit3,'string',num2str(ne));
%        set(handles.edit4,'string',num2str(Ttq));
%     end
% end
% set(handles.edit1,'string',num2str(nmin));
% set(handles.edit2,'string',num2str(nmax));
% set(handles.edit3,'string',num2str(ne));
% set(handles.edit4,'string',num2str(Ttq));
% set(handles.edit5,'string',num2str(m1));
% set(handles.edit6,'string',num2str(m2));
% set(handles.edit7,'string',num2str(r));
% set(handles.edit8,'string',num2str(nt));
% set(handles.edit9,'string',num2str(f));
% set(handles.edit10,'string',num2str(CD));
% set(handles.edit11,'string',num2str(A));
% set(handles.edit12,'string',num2str(If));
% set(handles.edit13,'string',num2str(Iwf));
% set(handles.edit14,'string',num2str(Iwr));
% set(handles.edit15,'string',num2str(i0));
% set(handles.edit16,'string',num2str(ig));
% set(handles.edit17,'string',num2str(Uastar));
% set(handles.edit18,'string',num2str(Uaend));
% --------------------------------------------------------------------
function varargout = edit1_Callback(h, eventdata, handles, varargin)
% --------------------------------------------------------------------
function varargout = edit2_Callback(h, eventdata, handles, varargin)
% --------------------------------------------------------------------
function varargout = edit3_Callback(h, eventdata, handles, varargin)
% --------------------------------------------------------------------
function varargout = edit4_Callback(h, eventdata, handles, varargin)
% --------------------------------------------------------------------
function varargout = edit5_Callback(h, eventdata, handles, varargin)
% --------------------------------------------------------------------
function varargout = edit6_Callback(h, eventdata, handles, varargin)
% --------------------------------------------------------------------
function varargout = edit7_Callback(h, eventdata, handles, varargin)
% --------------------------------------------------------------------
function varargout = edit8_Callback(h, eventdata, handles, varargin)
% --------------------------------------------------------------------
function varargout = edit9_Callback(h, eventdata, handles, varargin)
% --------------------------------------------------------------------
function varargout = edit10_Callback(h, eventdata, handles, varargin)
% --------------------------------------------------------------------
function varargout = edit11_Callback(h, eventdata, handles, varargin)
% --------------------------------------------------------------------
function varargout = edit12_Callback(h, eventdata, handles, varargin)
% --------------------------------------------------------------------
function varargout = edit13_Callback(h, eventdata, handles, varargin)
% --------------------------------------------------------------------
function varargout = edit14_Callback(h, eventdata, handles, varargin)
% --------------------------------------------------------------------
function varargout = edit15_Callback(h, eventdata, handles, varargin)
% --------------------------------------------------------------------
function varargout = edit16_Callback(h, eventdata, handles, varargin)
% --------------------------------------------------------------------
function varargout = edit17_Callback(h, eventdata, handles, varargin)
% --------------------------------------------------------------------
function varargout = edit18_Callback(h, eventdata, handles, varargin)
% --------------------------------------------------------------------
function varargout = radiobutton1_Callback(h, eventdata, handles, varargin)
set(handles.radio1,'value',get(handles.radio1,'max'));
set(handles.radio2,'value',get(handles.radio2,'min'));
set(handles.edit1,'enable','on');
set(handles.edit2,'enable','on');
set(handles.edit3,'enable','off');
set(handles.edit4,'enable','off');

三、运行结果

在这里插入图片描述
在这里插入图片描述
在这里插入图片描述
在这里插入图片描述

四、备注

版本:2014a
完整代码或代写加1564658423