【人脸识别】基于matlab GUI Gabor+SVM比较PCA+SVM人脸识别【含Matlab源码 685期】

105 阅读8分钟

一、简介

Gabor+SVM:利用Gabor程序实现对人脸的特征提取,然后用SVM进行分类;
1 Gabor
Gabor 特征提取算法可以在不同方向上描述局部人脸特征,对光照、遮挡以及表情变换等情况具有较强的鲁棒性,即Gabor算法在异常和危险情况下具有较强的系统生存的能力。

1.1 一维Gabor核:
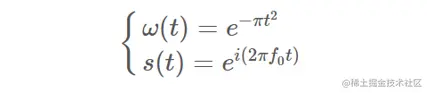
其由一个高斯核与一个复数波的乘积定义为如下公式:
在这里插入图片描述
其中w(t)是高斯函数,s(t)是复数波,两者的一维数学表达式定义如下:
在这里插入图片描述
我们将s(t)代入一维Gabor公式可得下式:
在这里插入图片描述
我们将上述一维情况推广到二维
二维复数波定义如下,其中(x,y)表示空间域坐标,(u0,v0)表示频率域坐标。
在这里插入图片描述
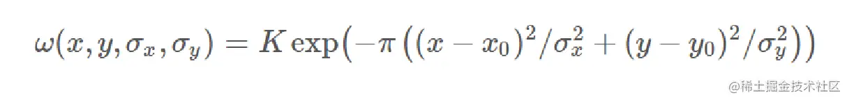
二维高斯函数定义如下,其中σx,σy 分别为在x,y两个方向上的尺度参数,用来控制高斯函数在两个方向上的“展布”形状。(x0,y0)为高斯函数的中心点。K为高斯核的幅度的比例。
在这里插入图片描述
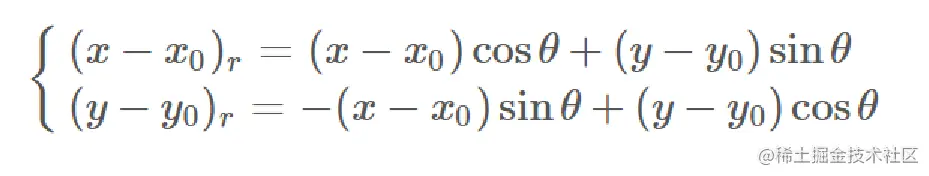
但是由于高斯函数还有旋转的操作,所以我们对坐标进行如下的变换:
在这里插入图片描述
由此,我们得到了坐标变换后的高斯函数公式,其中θ表示高斯核顺时针旋转的角度。
在这里插入图片描述
1.2 二维Gabor核
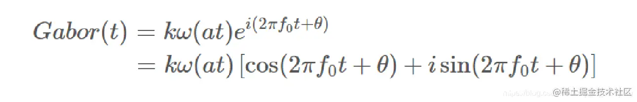
类似一维 Gabor 核,我们将二维高斯函数与二维复数波相乘,就得到了二维的Gabor核:
在这里插入图片描述
一个Gabor核能获取到图像某个频率邻域的响应情况,这个响应结果可以看做是图像的一个特征。如果我们用多个不同频率的Gabor核去获取图像在不同频率邻域的响应情况,最后就能形成图像在各个频率段的特征,这个特征就可以描述图像的频率信息了。

下图展示了一系列具有不同频率的 Gabor 核,用这些核与图像卷积,我们就能得到图像上每个点和其附近区域的频率分布情况。
在这里插入图片描述
经过 Gabor 滤波获到的人脸图像信息包含实部和虚部两部分,分别代表不同局部的人脸特征信息,为了提取更加全面的人脸特征信息,一般会采用两种特征值相结合的方法,比如幅值和相位信息。但 Gabor 的相位信息会因为人脸空间位置发生改变而不太稳定。Gabor 幅值信息变化相对稳定,并且充分反映了人脸图像的能量谱。因此采取 Gabor 幅值特征。经过Gabor幅值特征处理,得到了人脸 Gabor 特征信息。5 个尺度,8 个方向的 Gabor 特征提取图如下所示:
在这里插入图片描述

2 PCA+SVM:
2.1 PCA
主成分分析(Principal Component Analysis, 简称PCA)是常用的一种降维方法.
算法步骤:
在这里插入图片描述
2.2 SVM介绍
支持向量机(Support Vector Machines, 简称SVM)是一种二类分类模型.
划分超平面为:
在这里插入图片描述
在这里插入图片描述
3 人脸识别步骤
将每张人脸图片(m,nm,n)读取并展开成(m×n,1m×n,1), 假设总有ll张图片, 所有排列到一起, 一列为一张图片, 最终形成一个(m×n,l)(m×n,l) 的矩阵作为原始数据;
数据中心化: 计算平均脸, 所有列都减去张平均脸;
计算矩阵的协方差矩阵/散布矩阵, 求出特征值及特征向量, 并将其从大到小排列取前K个特征; (到这步特征已将至K维)
计算中心化后的数据在K维特征的投影;
基于上一步的数据进行 One-VS-One Multiclass SVM模型训练;
读取用于测试的人脸图片, 同训练图片一样处理;
利用训练出的模型对测试图片进行分类;
计算准确率.

二、源代码

function varargout = pjimage(varargin)
% PJIMAGE MATLAB code for pjimage.fig
%      PJIMAGE, by itself, creates a new PJIMAGE or raises the existing
%      singleton*.
%
%      H = PJIMAGE returns the handle to a new PJIMAGE or the handle to
%      the existing singleton*.
%
%      PJIMAGE('CALLBACK',hObject,eventData,handles,...) calls the local
%      function named CALLBACK in PJIMAGE.M with the given input arguments.
%
%      PJIMAGE('Property','Value',...) creates a new PJIMAGE or raises the
%      existing singleton*.  Starting from the left, property value pairs are
%      applied to the GUI before pjimage_OpeningFcn gets called.  An
%      unrecognized property name or invalid value makes property application
%      stop.  All inputs are passed to pjimage_OpeningFcn via varargin.
%
%      *See GUI Options on GUIDE's Tools menu.  Choose "GUI allows only one
%      instance to run (singleton)".
%
% See also: GUIDE, GUIDATA, GUIHANDLES

% Edit the above text to modify the response to help pjimage

% Last Modified by GUIDE v2.5 11-Jun-2018 08:06:08

% Begin initialization code - DO NOT EDIT
gui_Singleton = 1;
gui_State = struct('gui_Name',       mfilename, ...
                   'gui_Singleton',  gui_Singleton, ...
                   'gui_OpeningFcn', @pjimage_OpeningFcn, ...
                   'gui_OutputFcn',  @pjimage_OutputFcn, ...
                   'gui_LayoutFcn',  [] , ...
                   'gui_Callback',   []);
if nargin && ischar(varargin{1})
    gui_State.gui_Callback = str2func(varargin{1});
end

if nargout
    [varargout{1:nargout}] = gui_mainfcn(gui_State, varargin{:});
else
    gui_mainfcn(gui_State, varargin{:});
end
% End initialization code - DO NOT EDIT



% --- Executes just before pjimage is made visible.
function pjimage_OpeningFcn(hObject, eventdata, handles, varargin)
% This function has no output args, see OutputFcn.
% hObject    handle to figure
% eventdata  reserved - to be defined in a future version of MATLAB
% handles    structure with handles and user data (see GUIDATA)
% varargin   command line arguments to pjimage (see VARARGIN)

% Choose default command line output for pjimage
handles.output = hObject;

% Update handles structure
guidata(hObject, handles);

% UIWAIT makes pjimage wait for user response (see UIRESUME)
% uiwait(handles.figure_pjimage);


% --- Outputs from this function are returned to the command line.
function varargout = pjimage_OutputFcn(hObject, eventdata, handles) 
% varargout  cell array for returning output args (see VARARGOUT);
% hObject    handle to figure
% eventdata  reserved - to be defined in a future version of MATLAB
% handles    structure with handles and user data (see GUIDATA)

% Get default command line output from handles structure
varargout{1} = handles.output;


% --------------------------------------------------------------------
function m_file_Callback(hObject, eventdata, handles)
% hObject    handle to m_file (see GCBO)
% eventdata  reserved - to be defined in a future version of MATLAB
% handles    structure with handles and user data (see GUIDATA)


% --------------------------------------------------------------------
function m_file_open_Callback(hObject, eventdata, handles)
% hObject    handle to m_file_open (see GCBO)
% eventdata  reserved - to be defined in a future version of MATLAB
% handles    structure with handles and user data (see GUIDATA)


% --------------------------------------------------------------------
function m_file_save_Callback(hObject, eventdata, handles)
% hObject    handle to m_file_save (see GCBO)
% eventdata  reserved - to be defined in a future version of MATLAB
% handles    structure with handles and user data (see GUIDATA)


% --------------------------------------------------------------------
function m_file_exit_Callback(hObject, eventdata, handles)
% hObject    handle to m_file_exit (see GCBO)
% eventdata  reserved - to be defined in a future version of MATLAB
% handles    structure with handles and user data (see GUIDATA)


% --- Executes on button press in pushbutton1.
function pushbutton1_Callback(hObject, eventdata, handles)
% hObject    handle to pushbutton1 (see GCBO)
% eventdata  reserved - to be defined in a future version of MATLAB
% handles    structure with handles and user data (see GUIDATA)
figure(1);
for i = 1:40 
    a = imread(strcat('C:\Users\lenovo\Desktop\人脸识别\人脸识别程序\ORL\s', num2str(i), '\1.pgm'));
    subplot(5,8,i);
    imshow(a);
end

% --- Executes on button press in pushbutton2.
function pushbutton2_Callback(hObject, eventdata, handles)
% hObject    handle to pushbutton2 (see GCBO)
% eventdata  reserved - to be defined in a future version of MATLAB
% handles    structure with handles and user data (see GUIDATA)
figure(2);
 r = round(112 / 2);
 c = round(92 / 2);
 gamma = 0.5;
 theta = pi / 8;
 a = sqrt(2);
 fmax = 0.22;
 for u = 0 : 4
     f = a ^ (-u) * fmax;
     lambda = 1 / f;
     for v = 0 : 7
         sigma = 0.56 * lambda;
         GK = getGaborKernel(r ,c ,v * theta ,sigma ,lambda ,gamma);%得到一个方向一个尺度的Gabor图像
         subplot(5,8, u*8 + v + 1);
         imshow(GK);
     end
 end

% --- Executes on button press in pushbutton3.
function pushbutton3_Callback(hObject, eventdata, handles)
% hObject    handle to pushbutton3 (see GCBO)
% eventdata  reserved - to be defined in a future version of MATLAB
% handles    structure with handles and user data (see GUIDATA)
p = imread('C:\Users\lenovo\Desktop\人脸识别\人脸识别程序\ORL\s1\1.pgm');
p = double(p);
[m , n] = size(p);
 r = round(m / 2);
 c = round(n / 2);
 gamma = 0.5;
 theta = pi / 8;
 a = sqrt(2);
 fmax = 0.22;
 figure(3);
 for u = 0 : 4
     f = a ^ (-u) * fmax;
     lambda = 1 / f;
     for v = 0 : 7
         sigma = 0.56 * lambda;
         GK = getGaborKernel(r ,c ,v * theta ,sigma ,lambda ,gamma);%得到一个方向一个尺度的Gabor图像
         x = conv2(p,GK,'same');%原图像与Gabor图像进行卷积   112 92
         subplot(5, 8, u*8 + v +1);
         imshow(x);
     end
 end

% --- Executes during object deletion, before destroying properties.
function axes1_DeleteFcn(hObject, eventdata, handles)
% hObject    handle to axes1 (see GCBO)
% eventdata  reserved - to be defined in a future version of MATLAB
% handles    structure with handles and user data (see GUIDATA)



function edit1_Callback(hObject, eventdata, handles)
% hObject    handle to edit1 (see GCBO)
% eventdata  reserved - to be defined in a future version of MATLAB
% handles    structure with handles and user data (see GUIDATA)

% Hints: get(hObject,'String') returns contents of edit1 as text
%        str2double(get(hObject,'String')) returns contents of edit1 as a double


% --- Executes during object creation, after setting all properties.
function edit1_CreateFcn(hObject, eventdata, handles)
% hObject    handle to edit1 (see GCBO)
% eventdata  reserved - to be defined in a future version of MATLAB
% handles    empty - handles not created until after all CreateFcns called

% Hint: edit controls usually have a white background on Windows.
%       See ISPC and COMPUTER.
if ispc && isequal(get(hObject,'BackgroundColor'), get(0,'defaultUicontrolBackgroundColor'))
    set(hObject,'BackgroundColor','white');
end



function edit2_Callback(hObject, eventdata, handles)
% hObject    handle to edit2 (see GCBO)
% eventdata  reserved - to be defined in a future version of MATLAB
% handles    structure with handles and user data (see GUIDATA)

% Hints: get(hObject,'String') returns contents of edit2 as text
%        str2double(get(hObject,'String')) returns contents of edit2 as a double


% --- Executes during object creation, after setting all properties.
function edit2_CreateFcn(hObject, eventdata, handles)
% hObject    handle to edit2 (see GCBO)
% eventdata  reserved - to be defined in a future version of MATLAB
% handles    empty - handles not created until after all CreateFcns called

% Hint: edit controls usually have a white background on Windows.
%       See ISPC and COMPUTER.
if ispc && isequal(get(hObject,'BackgroundColor'), get(0,'defaultUicontrolBackgroundColor'))
    set(hObject,'BackgroundColor','white');
end


% --- Executes on button press in pushbutton6.
function pushbutton6_Callback(hObject, eventdata, handles)
% hObject    handle to pushbutton6 (see GCBO)
% eventdata  reserved - to be defined in a future version of MATLAB
% handles    structure with handles and user data (see GUIDATA)
global ttlabel;
global prelabel;
% global ct;
% global gam;
trainLabel = [];
k = 1;
v = 1;
%共280张图片
for i = 1 : 40                                  %40个人
    for j = 1 : 7                                 %每个人7张照片
        a = imread(strcat('C:\Users\lenovo\Desktop\人脸识别\人脸识别程序\ORL\s', num2str(i),'\', num2str(j), '.pgm'));
        a = double(a);
        [m,n] = size(a);
        
        trainvector = GetOneImageVector(a);
        trainX(:, k) = trainvector;
        k = k + 1;
        %加标签    
        trainLabel = [trainLabel v];            %1X280
    end
    v = v + 1;
end
%归一化  均值向量  方差向量  
trainx = Normalize(trainX);       %6440X280

% ct =str2double(get(handles.edit3,'String'));
% gam = str2double(get(handles.edit4,'String'));
%使用SVM得到模型

model = svmtrain(trainLabel', trainx','-s 0 -t 2 -c 1000 -g 0.0001');
% set(handles.edit1,'string',model);
%处理测试集
u = 1;
t = 1;
testLabel = [];
for i = 1:40
    for j = 8:10
        a = imread(strcat('C:\Users\lenovo\Desktop\人脸识别\人脸识别程序\ORL\s', num2str(i),'\', num2str(j), '.pgm'));
        a = double(a);
        [m,n] = size(a);   
        
        testvector = GetOneImageVector(a);
        testX(:, u) = testvector;
        u = u + 1;
        testLabel = [testLabel t];
    end
     t = t + 1;
end

三、运行结果

在这里插入图片描述
在这里插入图片描述
在这里插入图片描述
在这里插入图片描述