R语言用Copulas模型的尾部相依性分析损失赔偿费用

160 阅读6分钟

原文链接:tecdat.cn/?p=22226 

原文出处:拓端数据部落公众号

 

两个随机变量之间的相依性问题备受关注,相依性(dependence)是反映两个随机变量之间关联程度的一个概念。它与相关性(correlation)有区别,常用的相关性度量是Pearson相关系数,它只度量了两个随机变量之间的线性关系,其值不仅依赖于它们的Copula函数,而且还依赖它们的边缘分布函数。

直观地说,Copula函数就是两个(或多个)随机变量的联合分布可以表示为它们的边缘分布函数的函数,这个函数就是Copula函数,它与随机变量的边缘分布没有关系,所反映的是两个(多个)随机变量之间的“结构”,这种结构包含了两个随机变量相依性的全部信息。

Joe(1990)尾部相依性指数

Joe(1990)提出了一个(强)尾部相依性指数。例如,对于下尾,可以考虑

也就是

 

  • 上下尾(经验) 相依性函数

我们的想法是绘制上面的函数。定义

http://freakonometrics.hypotheses.org/files/2017/07/Llatex2png.2.php_.png

下尾

http://freakonometrics.hypotheses.org/files/2017/07/Clatex2png.2.php_.png

对上尾来说,其中是http://freakonometrics.hypotheses.org/files/2017/07/toclatex2png-12.2.php_.pnghttp://freakonometrics.hypotheses.org/files/2017/07/toclatex2png-13.2.php_.png,相依的生存copula ,即

其中

现在,我们可以很容易地推导出这些函数的经验对应关系,即:

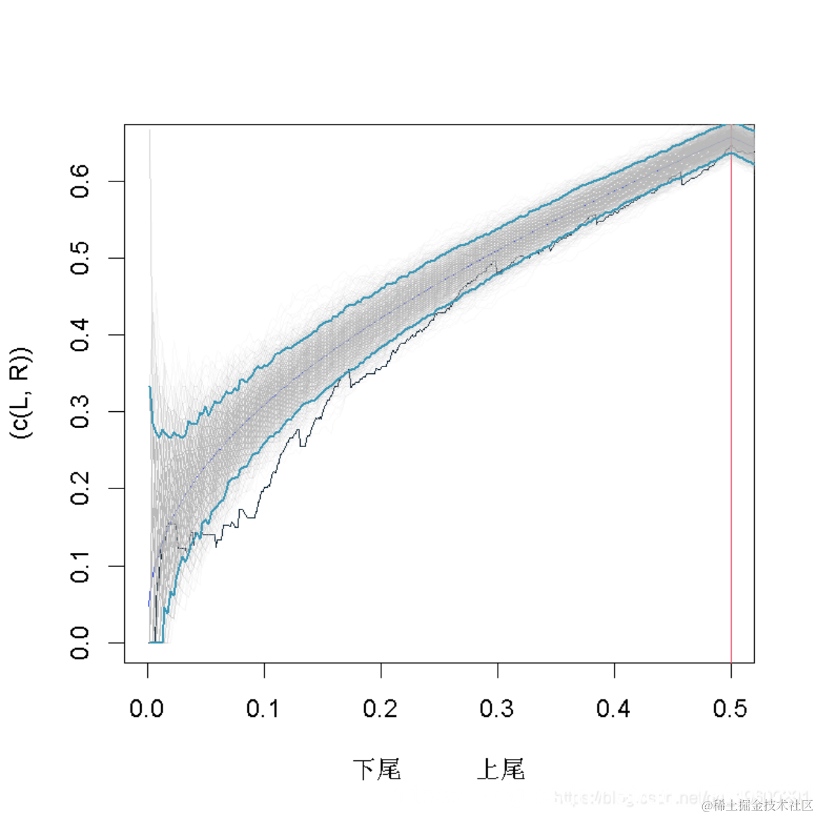
因此,对于上尾,在右边,我们有以下图形

 

而对于下尾,在左边,我们有

损失赔偿数据 

Copula函数在经济、金融、保险等领域有广泛的应用.早在1998年Frees和Valdez(1998)研究了索赔额与管理费之间的关系,采用了Copula函数对其进行刻画并应用于保费的定价。

 

对于代码,考虑一些真实的数据,比如损失赔偿数据集。

损失赔偿费用数据有1,500个样本和2个变量。这两栏包含赔偿金付款(损失)和分配的损失调整费用(alae)。后者是与解决索赔相关的额外费用(如索赔调查费用和法律费用)。

我们的想法是,在左边绘制下尾函数,在右边绘制上尾函数。

现在,我们可以将这个图形,与一些具有相同Kendall's tau参数的copulas图形进行比较

高斯copulas

如果我们考虑高斯copulas 。 


> copgauss=normalCopula(paramgauss)
> Lga=function(z) pCopula(c(z,z),copgauss)/z
> Rga=function(z) (1-2*z+pCopula(c(z,z),copgauss))/(1-z)

> lines(c(u,u+.5-u[1]),c(Lgs,Rgs)

 

Gumbel copula

或Gumbel的copula。

> copgumbel=gumbelCopula(paramgumbel, dim = 2)

> lines(c(u,u+.5-u[1])

 

 

置信区间

但是由于我们没有任何置信区间,所以仍然很难得出结论(即使看起来Gumbel copula比Gaussian copula更适合)。一个策略可以是从这些copula曲线中生成样本,并可视化。对于高斯copula曲线

> nsimul=500
> for(s in 1:nsimul){
+ Xs=rCopula(nrow(X),copgauss)
+ Us=rank(Xs[,1])/(nrow(Xs)+1)
+ Vs=rank(Xs[,2])/(nrow(Xs)+1)
+ lines(c(u,u+.5-u[1]),MGS[s,],col="red")

包括–逐点–90%的置信区间

> Q95=function(x) quantile(x,.95)

> lines(c(u,u+.5-u[1]),V05,col="red",lwd=2)

高斯copula曲线  

Gumbel copula曲线 

尽管统计收敛的速度会很慢,评估底层的copula 曲线是否具有尾部相依性简单。尤其是当copula 曲线表现出尾部独立性的时候。比如考虑一个1000大小的高斯copula 样本。这是我们生成随机方案后得到的结果。

 

 

或者我们看一下左边的尾巴(用对数比例)

 

现在,考虑10000个样本。

在这些图上,如果极限是0,或者是某个严格的正值,是相当难以断定的(同样,当感兴趣的值处于参数的支持边界时,这是一个经典的统计问题)。所以,一个简单的想法是考虑一个较弱的尾部相依指数。

 

Ledford 和Tawn(1996) 尾部相关系数

描述尾部相依性的另一种方法可以在Ledford & Tawn(1996)中找到。假设和具有相同的分布。现在,如果我们假设这些变量是(严格)独立的。

 

但如果我们假设这些变量是(严格的)同单调性的(即这里的变量是相等的,因为它们有相同的分布),则

所以,有这样一个假设:

 


那么a=2可以解释为独立性,而a=1则表示强(完美)正相依性。因此,考虑进行如下变换,得到[0,1]中的一个参数,其相依性强度随指数的增加而增加,例如

 

为了推导出尾部相依指数,假设存在一个极限,即

 

这将被解释为一个(弱)尾部相依指数。因此定义函数

 

下尾巴(在左边)

上尾(在右边)。计算这些函数的R代码非常简单。


> L2emp=function(z) 2*log(mean(U<=z))/

> R2emp=function(z) 2*log(mean(U>=1-z))/
+ log(mean((U>=1-z)&(V>=1-z)))-1
> plot(c(u,u+.5-u[1]),c(L,R),type="l",ylim=0:1,

> abline(v=.5,col="grey")

 高斯copula函数

同样,也可以将这些经验函数与一些参数函数进行对比,例如,从高斯copula函数中得到的函数(具有相同的Kendall's tau)。


> copgauss=normalCopula(paramgauss)
> Lgs =function(z) 2*log(z)/log(pCopula(c(z,z),
+ copgauss))-1
> Rgas =function(z) 2*log(1-z)/log(1-2*z+
+ pCopula(c(z,z),copgauss))-1

> lines(c(u,u+.5-u[1])

 

Gumbel copula

> copgumbel=gumbelCopula(paramgumbel, dim = 2)
> L=function(z) 2*log(z)/log(pCopula(c(z,z),
+ copgumbel))-1
> R=function(z) 2*log(1-z)/log(1-2*z+
+ pCopula(c(z,z),copgumbel))-1

> lines(c(u,u+.5-u[1]),c(Lgl,Rgl),col="blue")

 

 

同样,我们观察置信区间,Gumbel copula在这里提供了一个很好的拟合

极值copula

我们考虑copulas族中的极值copulas。在双变量的情况下,极值可以写为 


其中https://latex.codecogs.com/gif.latex?A(\cdot)为Pickands相依函数,它是一个凸函数,满足于
http://freakonometrics.hypotheses.org/files/2016/05/CFG11.gif
观察到,在这种情况下:
http://freakonometrics.hypotheses.org/files/2016/05/CFG12.gif

其中https://latex.codecogs.com/gif.latex?\tau肯德尔系数,可写成
http://freakonometrics.hypotheses.org/files/2016/05/CFG13.gif

例如

 

那么,我们就得到了Gumbel copula。 现在,我们来看(非参数)推理,更准确地说,是相依函数的估计。最标准的估计器的出发点是观察https://latex.codecogs.com/gif.latex?(U,V)是否有copula函数 

http://freakonometrics.hypotheses.org/files/2016/05/CFG3.gif

具有分布函数
http://freakonometrics.hypotheses.org/files/2016/05/CFG2.gif

而反过来,Pickands相依函数可以写成


因此,Pickands函数的自然估计是
http://freakonometrics.hypotheses.org/files/2016/05/CFG9.gif
其中,https://latex.codecogs.com/gif.latex?\widehat{H}_n是经验累积分布函数

这是Capéràa, Fougères & Genest (1997)中提出的估计方法。在这里,我们可以用

 



> Z=log(U[,1])/log(U[,1]*U[,2])
> h=function(t) mean(Z<=t)
> a=function(t){
function(t) (H(t)-t)/(t*(1-t))
+ return(exp(integrate(f,lower=0,upper=t,
+ subdivisions=10000)$value))

> plot(c(0,u,1),c(1,A(u),1),type="l"

整合得到Pickands相依函数的估计值。上图中可以直观地看到上尾的相依指数。

> A(.5)/2
[1] 0.4055346

 


最受欢迎的见解

1.R语言基于ARMA-GARCH-VaR模型拟合和预测实证研究

2.r语言实现copula算法建模依赖性案例

3.R语言COPULAS和金融时间序列数据VaR分析

4.R语言多元COPULA GARCH 模型时间序列预测

5.GARCH(1,1),MA以及历史模拟法的VaR比较

6.matlab使用Copula仿真优化市场风险数据分析

7.R语言实现向量自动回归VAR模型

8.R语言随机搜索变量选择SSVS估计贝叶斯向量自回归(BVAR)模型

9.R语言VAR模型的不同类型的脉冲响应分析