R语言向量误差修正模型 (VECMs)分析长期利率和通胀率影响关系

704 阅读5分钟

原文链接:tecdat.cn/?p=22215 

原文出处:拓端数据部落公众号

 

向量自回归模型估计的先决条件之一是被分析的时间序列是平稳的。但是,经济理论认为,经济变量之间在水平上存在着均衡关系,可以使这些变量差分而平稳。这就是所谓的协整关系。由于知道这种关系可以改善分析的结果,所以希望有一个计量经济学模型,能够捕捉到这种关系。所谓的向量误差修正模型(VECMs)就属于这一类模型。下文介绍了VECMs的基本概念,并在R中估计这种模型。

模型和数据

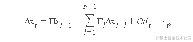
向量误差修正模型与VAR模型非常相似,可以有如下形式。

其中,Δx为向量x中各变量的第一次差分,Pi为协整关系的系数矩阵,Γ为x的差分变量滞后的系数矩阵,d为确定性项的向量,C为其对应的系数矩阵,p为VAR形式下模型的滞后阶数,ϵ为均值为零的误差项,方差-协方差矩阵Σ。

由上式可知,与VAR模型唯一不同的是误差修正项Πxt-1,它反映了如果其中一个变量偏离其均衡值,则x中的变量增长率会如何变化的影响。系数矩阵Π可以写成矩阵乘积Π=αβ′,这样误差修正项就变成了αβ′xt-1。协整矩阵β包含了各层次变量之间的均衡关系信息。β′xt-1描述的向量可以解释为变量与均衡值之间的距离,α是所谓的载荷矩阵,描述了因变量向均衡值收敛的速度。

为了说明R向量误差修正模型估计,我们使用数据集E6(2007),其中包含从季度1972Q2到1998Q4,季节性调整的长期利率和通胀率时间序列。


plot(data) #绘图数据

 

 

估计

有多种方法可以估计VEC模型。第一种方法是使用普通最小二乘法,这种方法可以得到准确的结果,但不能估计变量之间的协整关系。估计广义最小二乘法(EGLS)是一种替代方法。然而,最流行的VECMs估计方法是Johansen(1995)的最大似然估计。

但是,在估计VEC模型之前,必须指定滞后阶数p、协整矩阵的等级r和确定性项。选择滞后阶数的一个有效策略是在水平上估计VAR,并选择最小化信息准则的滞后方法。由于时间序列表现出强烈的季节性规律,我们通过指定季节参数=4来控制,其中4是数据的频率。

# 估计 VAR
VAR(data,ic = "AIC", season = 4 ,....)

# AIC建议的滞后阶数
var$p
## AIC(n) 
##      4

根据AIC,可以使用滞后阶数为4,这与Lütkepohl(2007)中使用的数值相同。这意味着VEC模型对应的VAR在水平上有3个滞后期。由于ca.jo函数要求VAR模型的滞后阶数,我们设置K=4。

在VECM中加入确定性项是一个巧妙的问题。一个常见的策略是在误差修正项中加入一个线性趋势,在方程的非协整部分加入一个常数,这个策略就不做赘述了。在这个例子中,我们遵循Lütkepohl(2007)的方法,在方程的非协整部分添加一个常数项和季节性伪变量。

cajo函数不仅仅是估计VECM,它还计算了方程的检验统计量。它还计算了r的不同特异性的检验统计量,用户可以在两种方法中进行选择,即迹检验和特征值检验。在这个例子中,使用了迹检验,即type = "trace"。

 

# 估计
 cajo(e6, ecdet = "none", type = "trace",...)

迹检验表明,r=1,协整关系β和载荷矩阵α的第一列估计值与Lütkepohl(2007年,第7章)中ML估计的结果一致。

# Beta
round(vec@V, 2)
##        R.l1 Dp.l1
## R.l1   1.00   1.0
## Dp.l1 -3.96   1.7
# Alpha
round(vec@W, 2)
##       R.l1 Dp.l1
## R.d  -0.10 -0.04
## Dp.d  0.16 -0.02

然而,模型中非协整部分的估计系数与EGLS估计的结果一致。

round(GAMMA, 2)
##      constant  sd1  sd2  sd3 R.dl1 Dp.dl1 R.dl2 Dp.dl2 R.dl3 Dp.dl3
## R.d      0.01 0.01 0.00 0.00  0.29  -0.16  0.01  -0.19  0.25  -0.09
## Dp.d    -0.01 0.02 0.02 0.03  0.08  -0.31  0.01  -0.37  0.04  -0.34

由于使用了不同的参考日期,与Lütkepohl(2007)的结果不同。

脉冲响应分析

VECM的脉冲响应函数通常由其VAR形式获得。

 

# 将VEC转换为VAR,r=1。
vec2var(vec, r = 1)

然后用通常的方式计算脉冲响应函数。

# 获得IRF
irf(impulse = "R", response = "Dp",...)

 

请注意,和平稳的VAR模型的一个重要区别是,协整VAR模型的脉冲反应不是必须接近零,因为变量是不平稳的。

参考文献

Lütkepohl, H. (2007). New introduction to multiple time series analysis (2nd ed.). Berlin: Springer.


最受欢迎的见解

1.在python中使用lstm和pytorch进行时间序列预测

2.python中利用长短期记忆模型lstm进行时间序列预测分析

3.使用r语言进行时间序列(arima,指数平滑)分析

4.r语言多元copula-garch-模型时间序列预测

5.r语言copulas和金融时间序列案例

6.使用r语言随机波动模型sv处理时间序列中的随机波动

7.r语言时间序列tar阈值自回归模型

8.r语言k-shape时间序列聚类方法对股票价格时间序列聚类

9.python3用arima模型进行时间序列预测