R语言多重比较示例:Bonferroni校正法和Benjamini & Hochberg法

559 阅读4分钟

原文链接:tecdat.cn/?p=21825

原文出处:拓端数据部落公众号

 

假设检验的基本原理是小概率原理,即我们认为小概率事件在一次试验中实际上不可能发生。

 

多重比较的问题

当同一研究问题下进行多次假设检验时,不再符合小概率原理所说的“一次试验”。如果在该研究问题下只要有检验是阳性的,就对该问题下阳性结论的话,对该问题的检验的犯一类错误的概率就会增大。如果同一问题下进行n次检验,每次的检验水准为α(每次假阳性概率为α),则n次检验至少出现一次假阳性的概率会比α大。假设每次检验独立的条件下该概率可增加至


常见的多重比较情景包括:

  • 多组间比较
  • 多个主要指标
  • 临床试验中期中分析
  • 亚组分析

 

控制多重比较谬误(Familywise error rate) :Bonferroni矫正

Bonferroni法得到的矫正P值=P×n
Bonferroni法非常简单,它的缺点在于非常保守(大概是各种方法中最保守的了),尤其当n很大时,经过Bonferroni法矫正后总的一类错误可能会远远小于既定α。

控制错误发现率: Benjamini & Hochberg法

简称BH法。首先将各P值从小到大排序,生成顺序数
排第k的矫正P值=P×n/k
另外要保证矫正后的各检验的P值大小顺序不发生变化。

 

**怎么做**检验

R内置了一些方法来调整一系列p值,以控制多重比较谬误(Familywise error rate)或控制错误发现率。

Holm、Hochberg、Hommel和Bonferroni方法控制了多重比较谬误(Familywise error rate)。这些方法试图限制错误发现的概率(I型错误,在没有实际效果时错误地拒绝无效假设),因此都是相对较保守的。

方法BH(Benjamini-Hochberg,与R中的FDR相同)和BY(Benjamini & Yekutieli)控制错误发现率,这些方法试图控制错误发现的期望比例。

请注意,这些方法只需要调整p值和要比较的p值的数量。这与Tukey或Dunnett等方法不同,Tukey和Dunnett也需要基础数据的变异性。Tukey和Dunnett被认为是多重比较谬误(Familywise error rate)方法。

要了解这些不同调整的保守程度,请参阅本文下面的两个图。

关于使用哪种p值调整度量没有明确的建议。一般来说,你应该选择一种你的研究领域熟悉的方法。此外,可能有一些逻辑允许你选择如何平衡犯I型错误和犯II型错误的概率。例如,在一项初步研究中,你可能希望保留尽可能多的显著值,来避免在未来的研究中排除潜在的显著因素。另一方面,在危及生命并且治疗费用昂贵的医学研究中,得出一种治疗方法优于另一种治疗方法的结论之前,你应该有很高的把握。

 

 具有25个p值的多重比较示例

### --------------------------------------------------------------
### 多重比较示例
### --------------------------------------------------------------

Data = read.table(Input,header=TRUE)

按p值排序数据

Data = Data[order(Data$Raw.p),]

检查数据是否按预期的方式排序

执行p值调整并添加到数据框

Data$Bonferroni =
      p.adjust(Data$Raw.p,
               method = "bonferroni")

Data$BH =
      p.adjust(Data$Raw.p,
               method = "BH")

Data$Holm =
      p.adjust(Data$ Raw.p,
               method = "holm")

Data$Hochberg =
      p.adjust(Data$ Raw.p,
               method = "hochberg")

Data$Hommel =
      p.adjust(Data$ Raw.p,
               method = "hommel")

Data$BY =
      p.adjust(Data$ Raw.p,
               method = "BY")

Data

 

绘制图表

plot(X, Y,
        xlab="原始的p值",
        ylab="矫正后的P值"
        lty=1,
        lwd=2

 

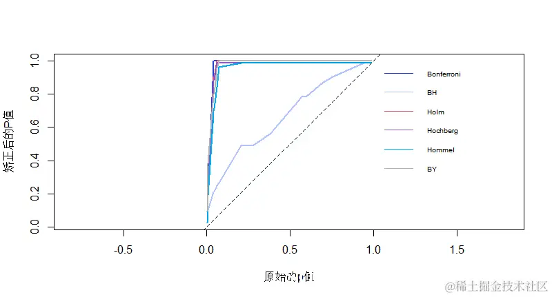
调整后的p值与原始的p值的图为一系列的25个p值。虚线表示一对一的线。

 

5个p值的多重比较示例

### --------------------------------------------------------------
### 多重比较示例,假设示例
### --------------------------------------------------------------
Data = read.table(Input,header=TRUE)

执行p值调整并添加到数据帧

Data$Bonferroni =
      p.adjust(Data$Raw.p,
               method = "bonferroni")

Data$BH =
      signif(p.adjust(Data$Raw.p,
               method = "BH"),
             4)

Data$Holm =
      p.adjust(Data$ Raw.p,
               method = "holm")

Data$Hochberg =
      p.adjust(Data$ Raw.p,
               method = "hochberg")

Data$Hommel =
      p.adjust(Data$ Raw.p,
               method = "hommel")

Data$BY =
      signif(p.adjust(Data$ Raw.p,
               method = "BY"),
             4)

Data

 

 

绘制(图表)



plot(X, Y,
        type="l",
      

调整后的p值与原始p值在0到0.1之间的一系列5个p值的绘图。请注意,Holm和Hochberg的值与Hommel相同,因此被Hommel隐藏。虚线表示一对一的线。


最受欢迎的见解

1.Matlab马尔可夫链蒙特卡罗法(MCMC)估计随机波动率(SV,Stochastic Volatility) 模型

2.基于R语言的疾病制图中自适应核密度估计的阈值选择方法

3.WinBUGS对多元随机波动率模型:贝叶斯估计与模型比较

4.R语言回归中的hosmer-lemeshow拟合优度检验

5.matlab实现MCMC的马尔可夫切换ARMA – GARCH模型估计

6.R语言区间数据回归分析

7.R语言WALD检验 VS 似然比检验

8.python用线性回归预测股票价格

9.R语言如何在生存分析与Cox回归中计算IDI,NRI指标