R语言自适应LASSO 多项式回归、二元逻辑回归和岭回归应用分析

541 阅读2分钟

原文链接:tecdat.cn/?p=21602 

原文出处:拓端数据部落公众号

 

正则化(regularization)

正则化路径是在正则化参数lambda的值网格上计算套索LASSO或弹性网路惩罚的正则化路径。该算法速度快,可以利用输入矩阵x中的稀疏性,拟合线性、logistic和多项式、poisson和Cox回归模型。可以通过拟合模型进行各种预测。它还可以拟合多元线性回归。”

例子

加载数据

这里加载了一个高斯(连续Y)的例子。

as_data_frame(y)
## # A tibble: 100 x 1
##            V1
##         <dbl>
##  1 -1.2748860
##  2  1.8434251
##  3  0.4592363
##  4  0.5640407
##  5  1.8729633
##  6  0.5275317
##  7  2.4346589
##  8 -0.8945961
##  9 -0.2059384
## 10  3.1101188
## # ... with 90 more rows

初始岭回归

cv.glmnet执行k-折交叉验证 .

## 执行岭回归
glmnet(x , y 
                 ## “alpha=1”是套索惩罚, “alpha=0”是岭惩罚。
                 alpha = 0)

## 用10折CV进行岭回归
cv.glmnet(
                       ## 类型.测量:用于交叉验证的丢失。
                       type.measure = "mse",
                       ## K = 10 是默认值。
                       nfold = 10,
                       ##“alpha=1”是套索惩罚,“alpha=0”是岭惩罚。
                       alpha = 0)
## 惩罚vs CV MSE图

## 在误差最小λ处提取系数
cv$lambda.min
## [1] 0.1789759
## s:需要进行预测的惩罚参数“lambda”的值。默认值是用于创建模型的整个序列。
coef( s = lambda.min)
## 21 x 1 sparse Matrix of class "dgCMatrix"
##                        1
## (Intercept)  0.149041059
## V1           1.302684272
## V2           0.035835380
## V3           0.719936146
## V4           0.036473087
## V5          -0.863490158
## V6           0.605750873
## V7           0.123446432
## V8           0.376890626
## V9          -0.040012847
## V10          0.105999328
## V11          0.240967604
## V12         -0.066363634
## V13         -0.042048935
## V14         -1.092107794
## V15         -0.119566353
## V16         -0.035859663
## V17         -0.038827463
## V18          0.061785988
## V19         -0.001409608
## V20         -1.079879797
## 截距估计应该剔除。
(coef(cv, s = lambda.min))[-1]

这个初始过程给出了基于10折交叉验证选择的最佳岭回归模型的一组系数,使用平方误差度量作为模型性能度量。
KNNL和Hadi中提到的另一种选择lambda的方法是选择最小的lambda,这样系数的轨迹是稳定的,VIF变得足够小。在这种情况下,VIF的定义必须包括惩罚因子lambda,这在Hadi的p295和knll的p436中有说明。

是标准化的协变量矩阵. 是原始非标准化协变量的相关矩阵 . 该计算可定义如下。

 vif <- function(x, lambda) {
    ZtZ <- cor(x)
    diag(solve(ZtZ + lambdaI  %*% ZtZ %*% solve(ZtZ + lambdaI)
 
##

    ggplot(mapping = aes(x = lambda, y = value, group = key, color = key)) +
    geom_line() +
 
 

自适应LASSO

## 执行自适应LASSO
glmnet(x =  y =
                  ## 类型。度量:用于交叉验证的损失。
                  ##“alpha=1”是套索惩罚,“alpha=0”是岭惩罚。
                  alpha = 1,
                  ##
                  ## 惩罚系数:可以对每个系数应用单独的惩罚因子。这是一个乘以“lambda”以允许差异收缩的数字。对于某些变量可以是0, 这意味着没有收缩,而且这个变量总是包含在模型中。对于所有变量,默认值为1(对于“exclude”中列出的变量,默认值为无限大)。注意:惩罚因子在内部被重新调整为与nvars相加,lambda序列将反映这种变化。

## 使用10折CV执行自适应套索

                        ## 类型。度量:用于交叉验证的损失。
类型。测量= " mse ",
                        ## K = 10 是默认值。
                        nfold = 10,
                        ## ‘alpha = 1’ 是套索惩罚,'alpha=0'是岭惩罚。
                        ##
                        ## 惩罚系数:可以对每个系数应用单独的惩罚因子。这是一个乘以“lambda”以允许差异收缩的数字。对于某些变量可以为0,这意味着没有收缩,并且该变量始终包含在模型中。对于所有变量,默认值为1(对于“exclude”中列出的变量,默认值为无限大)。注意:惩罚因子在内部被重新调整为与nvars相加,lambda序列将反映这种变化。
## 惩罚vs CV MSE图

## 在误差最小λ处提取系数
lambda.min
## [1] 0.7193664
## s:需要进行预测的惩罚参数“lambda”的值。默认值是用于创建模型的整个序列。
best_alasso_coef1
## 21 x 1 sparse Matrix of class "dgCMatrix"
##                      1
## (Intercept)  0.1269539
## V1           1.3863728
## V2           .        
## V3           0.7573538
## V4           .        
## V5          -0.8937983
## V6           0.5718800
## V7           .        
## V8           0.3654255
## V9           .        
## V10          .        
## V11          0.1824140
## V12          .        
## V13          .        
## V14         -1.1150736
## V15          .        
## V16          .        
## V17          .        
## V18          .        
## V19          .        
## V20         -1.1268794

那个惩罚系数参数允许指定系数特定的惩罚级别。这里我们使用自适应LASSO惩罚,即最佳岭系数绝对值的逆。

最终模型Rsquare

##  R^2函数
## https://en.wikipedia.org/wiki/Coefficient_of_determination
    ##  总SS
    ss_tot <- sum((y - ybar)^2)
    ## 剩余 SS
    ss_res <- sum((y - yhat)^2)
    ## R^2 = 1 - ss_res/ ss_tot

## 调整R^2函数
## n个样本,p个参数

## 获取 R^2
 r_sq(as.vector(y_cont), as.vector(predict(alasso1, newx = 
## [1] 0.906806
##获得调整R ^ 2
adj_r_sq(r_squared_alasso1, n = nrow(y_cont),
## [1] 0.9007934
## 交叉验证测试集R^2
## alasso1_cv$cvm[1] 是截距模型的交叉验证测试集均方误差。
1 - cvm[lambda == lambda.min] / cvm[1]
## [1] 0.8854662

交叉验证测试集Rsquare

lapply(unique(  foldid), function(id) {
    ## 拟合排除测试集 (foldid == id)
 glmnet(x = x_cont[alasso1_cv$foldid != id,],
                  y = y_cont[alasso1_cv$foldid != id], 
    ## 使用模型拟合最佳lambda测试集Yïhat
 predict(fit, newx = x_cont[alasso1_cv$foldid == id,],  
    ## 测试组 R^2
    1 - sum((y - y_pred)^2) / sum((y - mean(y))^2)
}) %>%
##  [1] 0.8197796 0.9090972 0.9499495 0.8019303 0.8637534 0.7184797 0.8579943 0.9250376 0.8300891
## [10] 0.9188004
## [1] 0.8594911

多项式例子

## # A tibble: 500 x 30
##            V1         V2          V3         V4         V5         V6          V7         V8
##         <dbl>      <dbl>       <dbl>      <dbl>      <dbl>      <dbl>       <dbl>      <dbl>
##  1  0.8212500  1.2155090 -0.64860899 -0.7001262 -1.9640742  1.1692107  0.28598652 -0.1664266
##  2  0.9264925 -1.1855031 -1.18297879  0.9828354  1.0693610 -0.2302219  0.57772625 -0.8738714
##  3 -1.5719712  0.8568961 -0.02208733  1.7445962 -0.4148403 -2.0289054 -1.31228181 -1.2441528
##  4  0.7419447 -0.9452052 -1.61821790  1.0015587 -0.4589488  0.5154490  0.29189973  0.1114092
##  5 -0.1333660  0.5085678  0.04739909 -0.4486953 -0.2616950 -0.1554108 -1.24834832 -1.0498054
##  6 -0.5672062  0.6020396 -2.10300909  0.3119233  0.3272173 -0.8671885  0.97512759 -0.7216256
##  7  1.9683411  2.5162198  1.61109738  1.0047913 -0.5194647  1.0738680 -0.16176095 -0.4267418
##  8  0.2857727 -1.7017703  1.41062569 -0.5823727 -1.3330908  1.7929250  0.06396841 -0.6818909
##  9 -0.5339434  0.1725089  0.93504676 -1.9956942 -0.9021089 -0.2624043  0.97406411  0.5166823
## 10  0.8081052 -0.9662501  0.54666915 -0.8388913  0.9665053  1.4039598  0.63502500  0.3429640
## # ... with 490 more rows, and 22 more variables: V9 <dbl>, V10 <dbl>, V11 <dbl>, V12 <dbl>,
## #   V13 <dbl>, V14 <dbl>, V15 <dbl>, V16 <dbl>, V17 <dbl>, V18 <dbl>, V19 <dbl>, V20 <dbl>,
## #   V21 <dbl>, V22 <dbl>, V23 <dbl>, V24 <dbl>, V25 <dbl>, V26 <dbl>, V27 <dbl>, V28 <dbl>,
## #   V29 <dbl>, V30 <dbl>
as_data_frame(y)
## # A tibble: 500 x 1
##    value
##    <dbl>
##  1     3
##  2     2
##  3     2
##  4     2
##  5     3
##  6     3
##  7     3
##  8     1
##  9     1
## 10     1
## # ... with 490 more rows
 
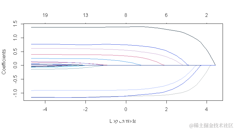
plot(ridge2, xvar = "lambda")

## 用10折交叉验证CV进行岭回归
                        ## 类型.测量:用于交叉验证的损失。
类型.测量=“偏差”,
              
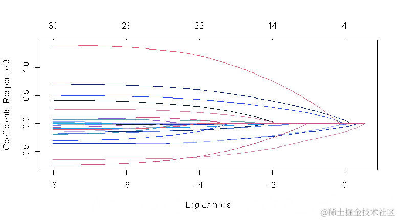
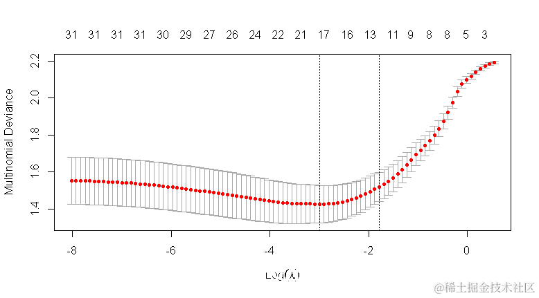
                       ## 多项式回归
                        ## ‘alpha = 1’ 是套索惩罚,'alpha=0'是岭惩罚。
## 惩罚vs CV MSE图
plot(ridge2_cv)

## 在误差最小λ处提取系数
 lambda.min
## [1] 0.02540802
## s:需要进行预测的惩罚参数“lambda”的值。默认值是用于创建模型的整个序列。
 do.call(cbind, coef( cv, s =  lambda.min))
 
## 31 x 3 sparse Matrix of class "dgCMatrix"
##                        1            1            1
## (Intercept) -0.030926870 -0.012579891  0.043506761
## V1           0.056754184 -0.332936704  0.276182520
## V2          -0.330771038 -0.135465951  0.466236989
## V3           0.417313228 -0.166953973 -0.250359256
## V4          -0.275107590 -0.075937714  0.351045304
## V5          -0.359310997  0.447318724 -0.088007727
## V6           0.318490592 -0.042273343 -0.276217249
## V7          -0.069203544  0.103874053 -0.034670509
## V8           0.398432356  0.056457793 -0.454890149
## V9          -0.100873703 -0.831473315  0.932347018
## V10         -0.079409535  0.550465763 -0.471056227
## V11          0.015539259  0.022872091 -0.038411350
## V12         -0.023384035 -0.037367749  0.060751784
## V13         -0.162456798  0.271096200 -0.108639401
## V14          0.173128811 -0.127758267 -0.045370544
## V15         -0.029448593  0.035626357 -0.006177764
## V16         -0.078135662  0.066353666  0.011781996
## V17          0.144753874 -0.137960413 -0.006793461
## V18          0.032929352  0.071275386 -0.104204738
## V19          0.090783173 -0.147044947  0.056261774
## V20         -0.010749594  0.146821172 -0.136071578
## V21          0.059468598 -0.008259112 -0.051209485
## V22          0.133514075 -0.030352819 -0.103161256
## V23          0.070174614 -0.054781769 -0.015392844
## V24          0.027344225  0.164797661 -0.192141886
## V25          0.010677968  0.014023080 -0.024701049
## V26          0.010490474 -0.034644559  0.024154085
## V27         -0.008201249  0.114562955 -0.106361705
## V28         -0.115249536 -0.067581191  0.182830727
## V29          0.027760120  0.056857406 -0.084617526
## V30         -0.062642211 -0.007339614  0.069981825
## 转换为矩阵
## 截距估计应该取消。
  1 / abs(as.matrix(best_ridge_coef2)[-1,])
 
##              1          1          1
## V1   17.619846   3.003574   3.620794
## V2    3.023239   7.381929   2.144832
## V3    2.396282   5.989675   3.994260
## V4    3.634942  13.168687   2.848635
## V5    2.783104   2.235542  11.362639
## V6    3.139810  23.655569   3.620339
## V7   14.450127   9.627043  28.842957
## V8    2.509836  17.712347   2.198333
## V9    9.913386   1.202684   1.072562
## V10  12.592946   1.816643   2.122889
## V11  64.353133  43.721407  26.033972
## V12  42.764219  26.761045  16.460422
## V13   6.155483   3.688727   9.204764
## V14   5.776046   7.827282  22.040732
## V15  33.957479  28.069106 161.870875
## V16  12.798253  15.070757  84.875262
## V17   6.908278   7.248456 147.200381
## V18  30.368044  14.030089   9.596493
## V19  11.015257   6.800642  17.774057
## V20  93.026766   6.811007   7.349073
## V21  16.815597 121.078385  19.527632
## V22   7.489847  32.945869   9.693562
## V23  14.250167  18.254248  64.965251
## V24  36.570794   6.068047   5.204487
## V25  93.650773  71.311008  40.484111
## V26  95.324582  28.864561  41.400864
## V27 121.932644   8.728825   9.401880
## V28   8.676825  14.797016   5.469540
## V29  36.022899  17.587858  11.817883
## V30  15.963677 136.246945  14.289424
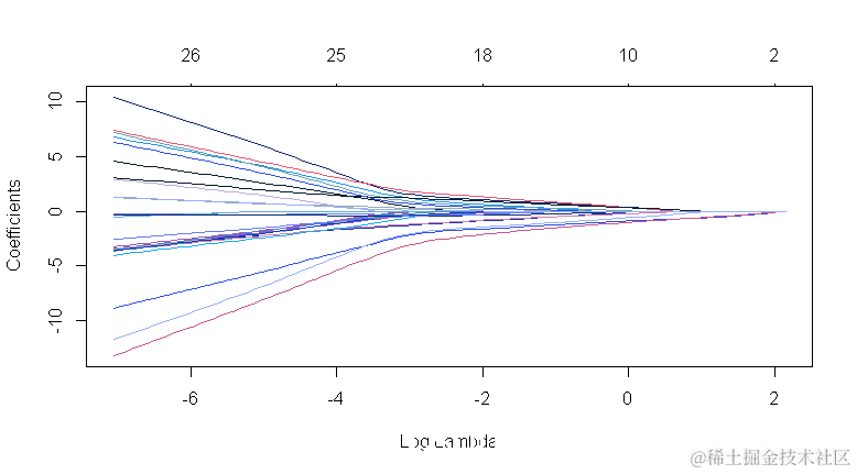
## 执行自适应套索
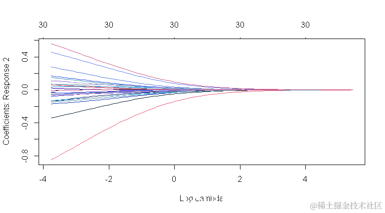
                   ## 多项式回归
                  family = "multinomial",
                  ## ‘alpha = 1’ 是套索惩罚,'alpha=0'是岭惩罚。
                  alpha = 1,
                  ##
                  ## 惩罚系数:可以对每个系数应用单独的惩罚因子。这是一个乘以“lambda”以允许差异收缩的数字。对于某些变量可以为0,这意味着没有收缩,并且该变量始终包含在模型中。对于所有变量,默认值为1(对于“exclude”中列出的变量,默认值为无限大)。注意:惩罚因子在内部被重新调整为与nvars相加,lambda序列将反映这种变化。
 

 

## 使用10折CV执行自适应套索
                      ## 类型。度量:用于交叉验证的损失。
                     type.measure = "偏差",
 
## 惩罚vs CV MSE图
plot(alasso2_cv)

## 在误差最小λ处提取系数
lambda.min
## [1] 0.023834
## s:需要进行预测的惩罚参数“lambda”的值。默认值是用于创建模型的整个序列。
do.call(cbind, coef(alasso2_cv, s = lambda.min))
## 31 x 3 sparse Matrix of class "dgCMatrix"
##                        1            1            1
## (Intercept)  0.001070916  0.029687114 -0.030758030
## V1           0.051853991 -0.329785101  0.277931110
## V2          -0.414609162 -0.166765504  0.581374666
## V3           0.498638681 -0.172468859 -0.326169822
## V4          -0.336005338 -0.079578260  0.415583598
## V5          -0.424216967  0.532071434 -0.107854467
## V6           0.364828074 -0.035326316 -0.329501758
## V7          -0.058746523  0.080343071 -0.021596548
## V8           0.483592031  0.111422669 -0.595014699
## V9          -0.155745580 -1.016502806  1.172248386
## V10         -0.060698812  0.625050169 -0.564351357
## V11          .            .            .          
## V12          .            .            .          
## V13         -0.175719655  0.283930678 -0.108211023
## V14          0.196421536 -0.139576235 -0.056845300
## V15          .            .            .          
## V16         -0.037414770  0.040300172 -0.002885402
## V17          0.149438019 -0.129742710 -0.019695308
## V18          .            .            .          
## V19          0.088822086 -0.130605368  0.041783282
## V20          .            .            .          
## V21          0.007141749 -0.002869644 -0.004272105
## V22          0.125997952 -0.016924514 -0.109073438
## V23          0.043024971 -0.026879150 -0.016145821
## V24          0.016862193  0.083686360 -0.100548554
## V25          .            .            .          
## V26          .            .            .          
## V27          .            .            .          
## V28         -0.111429811 -0.069842376  0.181272187
## V29          .            .            .          
## V30         -0.032032333 -0.006590025  0.038622358

最终模型正确分类率

xtabs(~ y_multi_pred_class + y_multi)
##                   y_multi
## y_multi_pred_class   1   2   3
##                  1  84  20  16
##                  2  30 136  19
##                  3  28  18 149
mean(y_multi == y_multi_pred_class)
## [1] 0.738

交叉验证测试集正确分类率

lapply(unique(foldid), function(id) {
    ## 拟合排除测试集(foldid==id)
    
    ## 使用模型拟合最佳lambda测试集Yïhat
    y_pred <- (predict(fit, newx = x_multi[foldid == id,], type = "class",
                                 s = lambda.min))
    ## 测试集Y
    y <- y_multi[foldid == id]
    ## 测试集CCR
    mean(y == y_pred)
}) %>%
##  [1] 0.68 0.64 0.76 0.72 0.70 0.66 0.60 0.72 0.62 0.76
## [1] 0.686

二元逻辑回归示例

## # A tibble: 100 x 30
##             V1          V2          V3          V4         V5         V6         V7          V8
##          <dbl>       <dbl>       <dbl>       <dbl>      <dbl>      <dbl>      <dbl>       <dbl>
##  1 -0.61926135  0.01624409 -0.62606831  0.41268461  0.4944374 -0.4493269  0.6760053 -0.06771419
##  2  1.09427278  0.47257285 -1.33714704 -0.64058126  0.2823199 -0.6093321  0.3547232 -0.62686515
##  3 -0.35670402  0.30121334  0.19056192  0.23402677  0.1698086  1.2291427  1.1628095  0.88024242
##  4 -2.46907012  2.84771447  1.66024352  1.56881297 -0.8330570 -0.5620088 -0.6142455 -1.76529838
##  5  0.56728852  0.88888747 -0.01158671  0.57627526 -0.8689453 -0.3132571  0.6902907 -1.29961200
##  6  0.91292543  0.77350086  0.55836355 -0.53509922  0.3507093 -0.5763021 -0.3882672  0.55518663
##  7  0.09567305  0.14027229 -0.76043921 -0.04935541  1.5740992 -0.1240903 -1.1106276  1.72895452
##  8  1.93420667 -0.71114983 -0.27387147  1.00113828  1.0439012  0.8028893 -0.6035769 -0.51136380
##  9  0.28275701  1.05940570 -0.03944966  0.30277367 -0.9161762  0.6914934  0.6087553  0.30921594
## 10  0.80143492  1.53674274 -1.01230763 -0.38480878 -2.0319100  0.2236314 -1.1628847 -0.52739792
## # ... with 90 more rows, and 22 more variables: V9 <dbl>, V10 <dbl>, V11 <dbl>, V12 <dbl>,
## #   V13 <dbl>, V14 <dbl>, V15 <dbl>, V16 <dbl>, V17 <dbl>, V18 <dbl>, V19 <dbl>, V20 <dbl>,
## #   V21 <dbl>, V22 <dbl>, V23 <dbl>, V24 <dbl>, V25 <dbl>, V26 <dbl>, V27 <dbl>, V28 <dbl>,
## #   V29 <dbl>, V30 <dbl>
as_data_frame(y)
## # A tibble: 100 x 1
##    value
##    <int>
##  1     0
##  2     1
##  3     1
##  4     0
##  5     1
##  6     0
##  7     0
##  8     0
##  9     1
## 10     1
## # ... with 90 more rows

## 执行岭回归
                 ## 二元逻辑回归
                 family = "binomial",
                 ## “alpha=1”是套索惩罚,“alpha=0”是岭惩罚。

##用10折CV进行岭回归
                       ##类型。度量:用于交叉验证的损失。
                       type.measure = "deviance",
                       ## K = 10 是默认值。
                       nfold = 10,
                       ## 多项式回归
                       ## ‘alpha = 1’ 是套索惩罚,'alpha=0'是岭惩罚。
                       alpha = 0)
## 惩罚vs CV MSE图

## 在误差最小λ处lambda.min
## [1] 0.03488898
## s:需要进行预测的惩罚参数“lambda”的值。默认值是用于创建模型的整个序列。
coef(ridge3_cv, s = lambda.min))
## 31 x 1 sparse Matrix of class "dgCMatrix"
##                         1
## (Intercept)  0.1718290283
## V1           0.1148574142
## V2           0.5068431000
## V3          -0.3384649794
## V4          -0.8634050979
## V5          -0.3141436782
## V6          -0.6956355852
## V7           0.0798900376
## V8          -0.5167458568
## V9           0.5193890584
## V10         -1.0182682093
## V11         -0.2077506627
## V12         -0.2218540968
## V13         -0.1638673635
## V14          0.1370473811
## V15          0.0388320169
## V16          0.3621440665
## V17         -0.1226309533
## V18         -0.1492504287
## V19         -0.0497939458
## V20         -0.2024006258
## V21          0.0006531455
## V22          0.2456970018
## V23          0.4333057414
## V24         -0.1769632495
## V25          0.5320062623
## V26         -0.3875044960
## V27         -0.2157079430
## V28          0.3337625633
## V29         -0.2659968175
## V30          0.1601149964
## 截距估计应该取消。
(best_ridge_coef3)[-1]
##执行自适应套索

                  ## 多项式回归
                  family = "binomial",
                  ## “alpha=1”是套索惩罚,“alpha=0”是岭惩罚。
                  alpha = 1,

## 使用10折CV执行自适应套索
                     ## 类型。度量:用于交叉验证的损失。
     
##惩罚vs CV MSE图
plot(alasso3_cv)

## 在误差最小λ处提取系数
lambda.min
## [1] 0.5438827
## s:需要进行预测的惩罚参数“lambda”的值。默认值是用于创建模型的整个序列。
coef(cv, s = lambda.min)
## 31 x 1 sparse Matrix of class "dgCMatrix"
##                       1
## (Intercept)  0.19932789
## V1           .         
## V2           0.69081709
## V3          -0.48062268
## V4          -1.21628612
## V5           .         
## V6          -1.01918155
## V7           .         
## V8          -0.48394892
## V9           0.79804285
## V10         -1.49657785
## V11          .         
## V12          .         
## V13          .         
## V14          .         
## V15          .         
## V16          0.19759191
## V17          .         
## V18          .         
## V19          .         
## V20          .         
## V21          .         
## V22          0.04668665
## V23          0.24445410
## V24          .         
## V25          0.57951934
## V26         -0.21844124
## V27          .         
## V28          0.07144777
## V29         -0.04682770
## V30          .

 绘制ROC曲线 

## 提取预测概率和观察结果。
pY <- as.(predict(alasso3, newx = x_bin, s = lambda.min, type = "response"))
## 
## 用AUC和阈值绘制ROC曲线
plot(roc1)

交叉验证测试集AUC

lapply(unique(foldid), function(id) 
    ## 拟合排除测试集 (foldid == id)
   
    ## 使用模型拟合最佳lambda测试集Yïhat
    y_pred <- (predict(fit, newx = x_bin[foldid == id], s = lambda.min)
    ## 测试组 Y
    y <- y_bin[alasso3_cv$foldid == id]
    ## 测试组 AUC
roc(y ~ y_pred)$auc
##  [1] 1.0000000 1.0000000 1.0000000 0.9200000 1.0000000 1.0000000 0.7619048 0.7916667 0.7200000
## [10] 0.9375000
## [1] 0.9131071

最受欢迎的见解

1.R语言多元Logistic逻辑回归 应用案例

2.面板平滑转移回归(PSTR)分析案例实现

3.matlab中的偏最小二乘回归(PLSR)和主成分回归(PCR)

4.R语言泊松Poisson回归模型分析案例

5.R语言回归中的Hosmer-Lemeshow拟合优度检验

6.r语言中对LASSO回归,Ridge岭回归和Elastic Net模型实现

7.在R语言中实现Logistic逻辑回归

8.python用线性回归预测股票价格

9.R语言如何在生存分析与Cox回归中计算IDI,NRI指标