R语言中生存分析模型与时间依赖性ROC曲线可视化

464 阅读3分钟

原文链接:tecdat.cn/?p=20650 

原文出处:拓端数据部落公众号

 

人们通常使用接收者操作特征曲线(ROC)进行二元结果逻辑回归。但是,流行病学研究中感兴趣的结果通常是事件发生时间。使用随时间变化的时间依赖性ROC可以更全面地描述这种情况下的预测模型。

时间依赖性ROC定义

令 Mi为用于死亡率预测的基线(时间0)标量标记。 当随时间推移观察到结果时,其预测性能取决于评估时间 t。直观地说,在零时间测量的标记值应该变得不那么相关。因此,ROC测得的预测性能(区分)是时间t的函数 。 

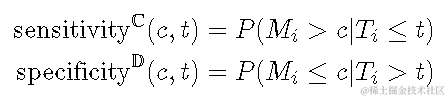
累积病例

累积病例/动态ROC定义了在时间t 处的阈值c处的 灵敏度和特异性,  如下所示。

累积灵敏度将在时间t之前死亡的视为分母(疾病),而将标记值高于 c 的作为真实阳性(疾病阳性)。动态特异性将在时间t仍然活着作为分母(健康),并将标记值小于或等于 c 的那些作为真实阴性(健康中的阴性)。将阈值 c 从最小值更改为最大值会在时间t处显示整个ROC曲线 。

新发病例

新发病例ROC1在时间t 处以阈值 c定义灵敏度和特异性,  如下所示。

累积灵敏度将在时间t处死亡的人  视为分母(疾病),而将标记值高于 Ç 的人视为真实阳性(疾病阳性)。

数据准备

我们以数据 包中的dataset3survival为例。事件发生的时间就是死亡的时间。Kaplan-Meier图如下。



## 变成data_frame
data <- as_data_frame(data)
## 绘图
plot(survfit(Surv(futime, fustat) ~ 1,
                   data = data)

可视化结果:

在数据集中超过720天没有发生任何事件。


## 拟合cox模型
coxph(formula = Surv(futime, fustat) ~ pspline(age, df = 4) + 
##获得线性预测值
 predict(coxph1, type = "lp")

累积病例

实现了累积病例


## 定义一个辅助函数,以在不同的时间进行评估
ROC_hlp <- function(t) {
    survivalROC(Stime        
                status        
                marker        
                predict.time = t,
                method       = "NNE",
                span = 0.25 * nrow(ovarian)^(-0.20))
}
## 每180天评估一次
ROC_data <- data_frame(t = 180 * c(1,2,3,4,5,6)) %>%
    mutate(survivalROC = map(t, survivalROC_helper),
           ## 提取AUC
           auc = map_dbl(survivalROC, magrittr::extract2, "AUC"),
           ## 在data_frame中放相关的值
           df_survivalROC = map(survivalROC, function(obj) {
           
## 绘图
 ggplot(mapping = aes(x = FP, y = TP)) +
    geom_point() +
    geom_line() +
      facet_wrap( ~ t) +
 

可视化结果:

180天的ROC看起来是最好的。因为到此刻为止几乎没有事件。在最后观察到的事件(t≥720)之后,AUC稳定在0.856。这种表现并没有衰退,因为高风险分数的人死了。

新发病例

实现新发病例


## 定义一个辅助函数,以在不同的时间进行评估
 
## 每180天评估一次
 
            ## 提取AUC
           auc = map_dbl(risksetROC, magrittr::extract2, "AUC"),
           ## 在data_frame中放相关的值
           df_risksetROC = map(risksetROC, function(obj) {
               ## 标记栏
               marker <- c(-Inf, obj[["marker"]], Inf)
 
## 绘图
 
    ggplot(mapping = aes(x = FP, y = TP)) +
    geom_point() +
    geom_line() +
    geom_label(data = risksetROC_data %>% dplyr::select(t,auc) %>% unique,
    facet_wrap( ~ t) +
 

可视化结果:

这种差异在后期更为明显。最值得注意的是,只有在每个时间点处于风险集中的个体才能提供数据。所以数据点少了。表现的衰退更为明显,也许是因为在那些存活时间足够长的人中,时间零点的风险分没有那么重要。一旦没有事件,ROC基本上就会趋于平缓。

结论

总之,我们研究了时间依赖的ROC及其R实现。累积病例ROC可能与风险 (累积发生率)预测模型的概念更兼容 。新发病例ROC可用于检查时间零标记在预测后续事件时的相关性。

参考

  1. Heagerty,Patrick J. and Zheng,Yingye,  Survival Model Predictive Accuracy and ROC Curves,Biometrics,61(1),92-105(2005). doi:10.1111 / j.0006-341X.2005.030814.x.

最受欢迎的见解

1.R语言绘制生存曲线估计|生存分析|如何R作生存曲线图

2.R语言生存分析可视化分析

3.R语言如何在生存分析与Cox回归中计算IDI,NRI指标

4.r语言中使用Bioconductor 分析芯片数据

5.R语言生存分析数据分析可视化案例

6.r语言ggplot2误差棒图快速指南

7.R 语言绘制功能富集泡泡图

8.R语言如何找到患者数据中具有差异的指标?(PLS—DA分析)

9.R语言中的生存分析Survival analysis晚期肺癌患者4例