R语言中的多项式回归、局部回归、核平滑和平滑样条回归模型

419 阅读6分钟

原文链接:tecdat.cn/?p=20531

原文出处:拓端数据部落公众号

 

 

在标准线性模型中,我们假设 。当线性假设无法满足时,可以考虑使用其他方法。

  • 多项式回归

扩展可能是假设某些多项式函数,

同样,在标准线性模型方法(使用GLM的条件正态分布)中,参数  可以使用最小二乘法获得,其中  在  。

即使此多项式模型不是真正的多项式模型,也可能仍然是一个很好的近似值 。实际上,根据 Stone-Weierstrass定理,如果  在某个区间上是连续的,则有一个统一的近似值  ,通过多项式函数。

仅作说明,请考虑以下数据集


db = data.frame(x=xr,y=yr)
plot(db)

与标准回归线

reg = lm(y ~ x,data=db)
abline(reg,col="red")

 

考虑一些多项式回归。如果多项式函数的次数足够大,则可以获得任何一种模型,

reg=lm(y~poly(x,5),data=db)

 

但是,如果次数太大,那么会获得太多的“波动”,

reg=lm(y~poly(x,25),data=db)

 

并且估计值可能不可靠:如果我们更改一个点,则可能会发生(局部)更改


yrm=yr;yrm[31]=yr[31]-2 
lines(xr,predict(regm),col="red")

  • 局部回归

实际上,如果我们的兴趣是局部有一个很好的近似值  ,为什么不使用局部回归?

使用加权回归可以很容易地做到这一点,在最小二乘公式中,我们考虑

 

  • 在这里,我考虑了线性模型,但是可以考虑任何多项式模型。在这种情况下,优化问题是

可以解决,因为

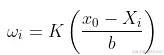
例如,如果我们想在某个时候进行预测 , 考虑 。使用此模型,我们可以删除太远的观测值,

 

更一般的想法是考虑一些核函数  给出权重函数,以及给出邻域长度的一些带宽(通常表示为h),

这实际上就是所谓的 Nadaraya-Watson 函数估计器 
在前面的案例中,我们考虑了统一核 

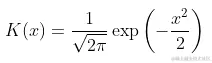
但是使用这种权重函数具有很强的不连续性不是最好的选择,尝试高斯核,

这可以使用


w=dnorm((xr-x0))
reg=lm(y~1,data=db,weights=w)

在我们的数据集上,我们可以绘制

 
w=dnorm((xr-x0))
plot(db,cex=abs(w)*4)
lines(ul,vl0,col="red")
axis(3)
axis(2)
reg=lm(y~1,data=db,weights=w)
u=seq(0,10,by=.02)
v=predict(reg,newdata=data.frame(x=u))
lines(u,v,col="red",lwd=2)
 

在这里,我们需要在点2进行局部回归。下面的水平线是回归(点的大小与宽度成比例)。红色曲线是局部回归的演变

 

让我们使用动画来可视化曲线。

但是由于某些原因,我无法在Linux上轻松安装该软件包。我们可以使用循环来生成一些图形

 
name=paste("local-reg-",100+i,".png",sep="")
png(name,600,400)
 

for(i in 1:length(vx0)) graph (i)

然后,我使用

 

当然,可以考虑局部线性模型,

 
return(predict(reg,newdata=data.frame(x=x0)))}

 

甚至是二次(局部)回归,

 
 lm(y~poly(x,degree=2), weights=w)
 

 

当然,我们可以更改带宽

 

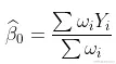
请注意,实际上,我们必须选择权重函数(所谓的核)​​。但是,有(简单)方法来选择“最佳”带宽h。交叉验证的想法是考虑

  是使用局部回归获得的预测。  

我们可以尝试一些真实的数据。

library(XML)
 
data = readHTMLTable(html)
 

整理数据集,

 
plot(data$no,data$mu,ylim=c(6,10))
segments(data$no,data$mu-1.96*data$se,
 

 

我们计算标准误差,反映不确定性。

 
for(s in 1:8){reg=lm(mu~no,data=db, 
lines((s predict(reg)[1:12] 

所有季节都应该被认为是完全独立的,这不是一个很好的假设。

 smooth(db$no,db$mu,kernel = "normal",band=5)
 

我们可以尝试查看带宽较大的曲线。

db$mu[95]=7
  
plot(data$no,data$mu

lines(NW,col="red")

样条平滑

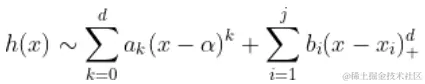
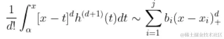
接下来,讨论回归中的平滑方法。假设 ,  是一些未知函数,但假定足够平滑。例如,假设  是连续的,  存在,并且是连续的,   存在并且也是连续的等等。如果  足够平滑,  可以使用泰勒展开式。 因此,对于 

也可以写成

第一部分只是一个多项式。

使用 黎曼积分,观察到

 

因此,

我们有线性回归模型。一个自然的想法是考虑回归 https://p3-juejin.byteimg.com/tos-cn-i-k3u1fbpfcp/e7fc470203e34057bcbb8ba86e09592d~tplv-k3u1fbpfcp-zoom-1.image,对于 https://latex.codecogs.com/gif.latex?\boldsymbol{X} 

给一些节点 https://latex.codecogs.com/gif.latex?\ {x_1,\ cdots,x_k \}

plot(db)

 

如果我们考虑一个节点,并扩展阶数1,



B=bs(xr,knots=c(3),Boundary.knots=c(0,10),degre=1)
 
lines(xr[xr<=3],predict(reg)[xr<=3],col="red")
lines(xr[xr>=3],predict(reg)[xr>=3],col="blue")

可以将用该样条获得的预测与子集(虚线)上的回归进行比较。



lines(xr[xr<=3],predict(reg)[xr<=3


lm(yr~xr,subset=xr>=3)

 

这是不同的,因为这里我们有三个参数(关于两个子集的回归)。当要求连续模型时,失去了一个自由度。观察到可以等效地写


lm(yr~bs(xr,knots=c(3),Boundary.knots=c(0,10)

 

回归中出现的函数如下

 

现在,如果我们对这两个分量进行回归,我们得到


matplot(xr,B

abline(v=c(0,2,5,10),lty=2)

如果加一个节点,我们得到

 

预测是



lines(xr,predict(reg),col="red")

http://freakonometrics.hypotheses.org/files/2013/10/Selection_147.png

我们可以选择更多的节点



lines(xr,predict(reg),col="red")

 

我们可以得到一个置信区间



polygon(c(xr,rev(xr)),c(P[,2],rev(P[,3]))

points(db)

 

如果我们保持先前选择的两个节点,但考虑泰勒的2阶的展开,我们得到



matplot(xr,B,type="l")
abline(v=c(0,2,5,10),lty=2)

 

如果我们考虑常数和基于样条的第一部分,我们得到



B=cbind(1,B)
lines(xr,B[,1:k]%*%coefficients(reg)[1:k],col=k-1,lty=k-1)

 

如果我们将常数项,第一项和第二项相加,则我们得到的部分在第一个节点之前位于左侧,

k=3
lines(xr,B[,1:k]%*%coefficients(reg)[1:k]

http://freakonometrics.hypotheses.org/files/2013/10/Selection_165.png

通过基于样条的矩阵中的三个项,我们可以得到两个节点之间的部分,


lines(xr,B[,1:k]%*%coefficients(reg)[1:k]

 

最后,当我们对它们求和时,这次是最后一个节点之后的右侧部分,

k=5

 

这是我们使用带有两个(固定)节点的二次样条回归得到的结果。可以像以前一样获得置信区间



polygon(c(xr,rev(xr)),c(P[,2],rev(P[,3]))

points(db)
lines(xr,P[,1],col="red")

 

使用函数 https://latex.codecogs.com/gif.latex?(x-x_i)_+,可以确保点的连续性 https://p3-juejin.byteimg.com/tos-cn-i-k3u1fbpfcp/c0945fa6acdb4b57909bf40e4d9b1c4b~tplv-k3u1fbpfcp-zoom-1.image

 

再一次,使用线性样条函数,可以增加连续性约束,


lm(mu~bs(no,knots=c(12*(1:7)+.5),Boundary.knots=c(0,97),


lines(c(1:94,96),predict(reg),col="red")

 

但是我们也可以考虑二次样条,



abline(v=12*(0:8)+.5,lty=2)

lm(mu~bs(no,knots=c(12*(1:7)+.5),Boundary.knots=c(0,97),

 


最受欢迎的见解

1.R语言多元Logistic逻辑回归 应用案例

2.面板平滑转移回归(PSTR)分析案例实现

3.matlab中的偏最小二乘回归(PLSR)和主成分回归(PCR)

4.R语言泊松Poisson回归模型分析案例

5.R语言回归中的Hosmer-Lemeshow拟合优度检验

6.r语言中对LASSO回归,Ridge岭回归和Elastic Net模型实现

7.在R语言中实现Logistic逻辑回归

8.python用线性回归预测股票价格

9.R语言如何在生存分析与Cox回归中计算IDI,NRI指标