R语言MCMC:Metropolis-Hastings采样用于回归的贝叶斯估计

221 阅读5分钟

原文链接:tecdat.cn/?p=19664 

原文出处:拓端数据部落

 

MCMC是从复杂概率模型中采样的通用技术。

  1. 蒙特卡洛
  2. 马尔可夫链
  3. Metropolis-Hastings算法

问题

如果需要计算有复杂后验pdf p(θ| y)的随机变量θ的函数f(θ)的平均值或期望值。

 

您可能需要计算后验概率分布p(θ)的最大值。

 

解决期望值的一种方法是从p(θ)绘制N个随机样本,当N足够大时,我们可以通过以下公式逼近期望值或最大值

 

将相同的策略应用于通过从p(θ| y)采样并取样本集中的最大值来找到argmaxp(θ| y)。


解决方法

1.1直接模拟

1.2逆CDF

1.3拒绝/接受抽样

如果我们不知道精确/标准化的pdf或非常复杂,则MCMC会派上用场。


马尔可夫链

为了模拟马尔可夫链,我们必须制定一个 过渡核T(xi,xj)。过渡核是从状态xi迁移到状态xj的概率。

 马尔可夫链的收敛性意味着它具有平稳分布π。马尔可夫链的统计分布是平稳的,那么它意味着分布不会随着时间的推移而改变。

Metropolis算法

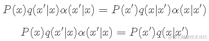
 对于一个Markov链是平稳。基本上表示

处于状态x并转换为状态x'的概率必须等于处于状态x'并转换为状态x的概率

或者

方法是将转换分为两个子步骤;候选和接受拒绝。

令q(x'| x)表示 候选密度,我们可以使用概率 α(x'| x)来调整q  。

候选分布 Q(X'| X)是给定的候选X的状态X'的条件概率,

和 接受分布 α(x'| x)的条件概率接受候选的状态X'-X'。我们设计了接受概率函数,以满足详细的平衡。

该 转移概率 可以写成:

 

插入上一个方程式,我们有

 

Metropolis-Hastings算法 

A的选择遵循以下逻辑。

在q下从x到x'的转移太频繁了。因此,我们应该选择α(x | x')=1。但是,为了满足 细致平稳,我们有

 

下一步是选择满足上述条件的接受。Metropolis-Hastings是一种常见的 选择

 

即,当接受度大于1时,我们总是接受,而当接受度小于1时,我们将相应地拒绝。因此,Metropolis-Hastings算法包含以下内容:

  1. 初始化:随机选择一个初始状态x;
  2. 根据q(x'| x)随机选择一个新状态x';

3.接受根据α(x'| x)的状态。如果不接受,则不会进行转移,因此无需更新任何内容。否则,转移为x';

4.转移到2,直到生成T状态;

5.保存状态x,执行2。

原则上,我们从分布P(x)提取保存的状态,因为步骤4保证它们是不相关的。必须根据候选分布等不同因素来选择T的值。 重要的是,尚不清楚应该使用哪种分布q(x'| x);必须针对当前的特定问题进行调整。


属性

Metropolis-Hastings算法的一个有趣特性是它 仅取决于比率

 

是候选样本x'与先前样本xt之间的概率,

 

是两个方向(从xt到x',反之亦然)的候选密度之比。如果候选密度对称,则等于1。

马尔可夫链从任意初始值x0开始,并且算法运行多次迭代,直到“初始状态”被“忘记”为止。这些被丢弃的样本称为预烧(burn-in)。其余的x可接受值集代表分布P(x)中的样本

 


Metropolis采样

一个简单的Metropolis-Hastings采样

让我们看看从 伽玛分布 模拟任意形状和比例参数,使用具有Metropolis-Hastings采样算法。

下面给出了Metropolis-Hastings采样器的函数。该链初始化为零,并在每个阶段都建议使用N(a / b,a /(b * b))个候选对象。

基于正态分布且均值和方差相同gamma的Metropolis-Hastings独立采样

  1. 从某种状态开始xt。代码中的x。

  2. 在代码中提出一个新的状态x'候选

  3. 计算“接受概率”

  4. 从[0,1] 得出一些均匀分布的随机数u;如果u <α接受该点,则设置xt + 1 = x'。否则,拒绝它并设置xt + 1 = xt。

 

MH可视化

 

set.seed(123)

        for (i in 2:n) {
                can <- rnorm(1, mu, sig)
                aprob <- min(1, (dgamma(can, a, b)/dgamma(x, 
                        a, b))/(dnorm(can, mu, sig)/dnorm(x, 
                        mu, sig)))
                u <- runif(1)
                if (u < aprob) 
                        x <- can
                vec[i] <- x

画图

设置参数。

 

nrep<- 54000
burnin<- 4000
shape<- 2.5
rate<-2.6

修改图,仅包含预烧期后的链

 

vec=vec[-(1:burnin)]
#vec=vec[burnin:length(vec)]

 

par(mfrow=c(2,1)) # 更改主框架,在一帧中有多少个图形
plot(ts(vec), xlab="Chain", ylab="Draws")
abline(h = mean(vec), lwd="2", col="red" )


 

    Min.  1st Qu.   Median     Mean  3rd Qu.     Max. 
0.007013 0.435600 0.724800 0.843300 1.133000 3.149000 

 

var(vec[-(1:burnin)])
[1] 0.2976507

初始值

第一个样本 vec 是我们链的初始/起始值。我们可以更改它,以查看收敛是否发生了变化。

 

        x <- 3*a/b
        vec[1] <- x

选择方案

如果候选密度与目标分布P(x)的形状匹配,即q(x'| xt)≈P(x')q(x'|),则该算法效果最佳。 xt)≈P(x')。如果使用正态候选密度q,则在预烧期间必须调整方差参数σ2。

通常,这是通过计算接受率来完成的,接受率是在最后N个样本的窗口中接受的候选样本的比例。

如果σ2太大,则接受率将非常低,因为候选可能落在概率密度低得多的区域中,因此a1将非常小,且链将收敛得非常慢。


示例2:回归的贝叶斯估计

Metropolis-Hastings采样用于贝叶斯估计回归模型。


设定参数

 


DGP和图

 

# 创建独立的x值,大约为零
x <- (-(Size-1)/2):((Size-1)/2)
# 根据ax + b + N(0,sd)创建相关值
y <-  trueA * x + trueB + rnorm(n=Size,mean=0,sd=trueSd)


正态分布拟然

 


    pred = a*x + b
    singlelikelihoods = dnorm(y, mean = pred, sd = sd, log = T)
    sumll = sum(singlelikelihoods)

为什么使用对数

似然函数中概率的对数,这也是我求和所有数据点的概率(乘积的对数等于对数之和)的原因。

我们为什么要做这个?强烈建议这样做,因为许多小概率相乘的概率会变得很小。在某个阶段,计算机程序会陷入数值四舍五入或下溢问题。

因此, 当您编写概率时,请始终使用对数


示例:绘制斜率a的似然曲线

 

# 示例:绘制斜率a的似然曲线
plot (seq(3, 7, by=.05), slopelikelihoods , type="l")


先验分布

这三个参数的均匀分布和正态分布。

 

# 先验分布

# 更改优先级,log为True,因此这些均为log
density/likelihood
    aprior = dunif(a, min=0, max=10, log = T)
    bprior = dnorm(b, sd = 2, log = T)
    sdprior = dunif(sd, min=0, max=30, log = T)

后验

先验和概率的乘积是MCMC将要处理的实际量。此函数称为后验函数。同样,这里我们使用和,因为我们使用对数。

 

posterior <- function(param){
   return (likelihood(param) + prior(param))
}

Metropolis算法

该算法是 后验密度采样最常见的贝叶斯统计应用之一 。

上面定义的后验。

  1. 从随机参数值开始
  2. 根据某个候选函数的概率密度,选择一个接近旧值的新参数值
  3. 以概率p(new)/ p(old)跳到这个新点,其中p是目标函数,并且p> 1也意味着跳跃
  4. 请注意,我们有一个 对称的跳跃/ 候选分布 q(x'| x)。

标准差σ是固定的。

所以接受概率等于

 

######## Metropolis 算法 ################
 

    for (i in 1:iterations){
         
        probab = exp(posterior(proposal) - posterior(chain[i,]))
        if (runif(1) < probab){
            chain[i+1,] = proposal
        }else{
            chain[i+1,] = chain[i,]
        }

 

实施

(e)输出接受的值,并解释。

 


chain = metrMCMC(startvalue, 5500)

burnIn = 5000
accep = 1-mean(duplicated(chain[-(1:burnIn),]))

算法的第一步可能会因初始值而有偏差,因此通常会被丢弃来进行进一步分析(预烧期)。令人感兴趣的输出是接受率:候选多久被算法接受拒绝一次?候选函数会影响接受率:通常,候选越接近,接受率就越大。但是,非常高的接受率通常是无益的:这意味着算法在同一点上“停留”,这导致对参数空间(混合)的处理不够理想。

我们还可以更改初始值,以查看其是否更改结果/是否收敛。

 

startvalue = c(4,0,10)

小结

 

       V1              V2                V3        
 Min.   :4.068   Min.   :-6.7072   Min.   : 6.787  
 1st Qu.:4.913   1st Qu.:-2.6973   1st Qu.: 9.323  
 Median :5.052   Median :-1.7551   Median :10.178  
 Mean   :5.052   Mean   :-1.7377   Mean   :10.385  
 3rd Qu.:5.193   3rd Qu.:-0.8134   3rd Qu.:11.166  
 Max.   :5.989   Max.   : 4.8425   Max.   :19.223  

 

#比较:
summary(lm(y~x))

Call:
lm(formula = y ~ x)

Residuals:
    Min      1Q  Median      3Q     Max 
-22.259  -6.032  -1.718   6.955  19.892 

Coefficients:
            Estimate Std. Error t value Pr(>|t|)    
(Intercept)  -3.1756     1.7566  -1.808    0.081 .  
x             5.0469     0.1964  25.697   <2e-16 ***
---
Signif. codes:  0 ?**?0.001 ?*?0.01 ??0.05 ??0.1 ??1

Residual standard error: 9.78 on 29 degrees of freedom
Multiple R-squared:  0.9579,    Adjusted R-squared:  0.9565 
F-statistic: 660.4 on 1 and 29 DF,  p-value: < 2.2e-16

 

summary(lm(y~x))$sigma
[1] 9.780494

 

coefficients(lm(y~x))[1]
(Intercept) 
  -3.175555 

 

coefficients(lm(y~x))[2]
       x 
5.046873 

总结:

 

### 总结: #######################
 
par(mfrow = c(2,3))
hist(chain[-(1:burnIn),1],prob=TRUE,nclass=30,col="109" 
abline(v = mean(chain[-(1:burnIn),1]), lwd="2")

 


最受欢迎的见解

1.用R语言模拟混合制排队随机服务排队系统

2.R语言中使用排队论预测等待时间

3.R语言中实现马尔可夫链蒙特卡罗MCMC模型

4.R语言中的马尔科夫机制转换(Markov regime switching)模型

5.matlab贝叶斯隐马尔可夫hmm模型

6.用R语言模拟混合制排队随机服务排队系统

7.Python基于粒子群优化的投资组合优化

8.R语言马尔可夫转换模型研究交通伤亡人数事故预测

9.用机器学习识别不断变化的股市状况——隐马尔可夫模型的应用