R语言实现LASSO回归——自己编写LASSO回归算法

429 阅读2分钟

原文链接:tecdat.cn/?p=18840

原文出处:拓端数据部落公众号

 

这篇文章中我们可以编写自己的代码来计算套索(lasso)回归,

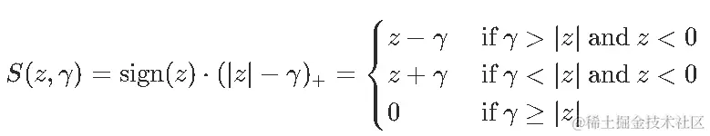
我们必须定义阈值函数

R函数是

thresh = function(x,a){
sign(x) * pmax(abs(x)-a,0)
}

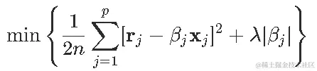
要解决我们的优化问题,设置

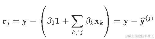
这样就可以等效地写出优化问题

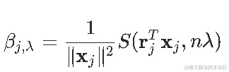
因此

一个得到

同样,如果有权重ω=(ωi),则按坐标更新将变为

计算此分量下降的代码是

lasso = function(X,y,beta,lambda,tol=1e-6,maxiter=1000){

beta0 = sum(y-X%*%beta /(length(y))
beta0list[1] = beta0
for (j in 1:maxiter){
for (k in 1:length beta)){
r = y - X[,-k]%*%beta[-k] - beta0*rep(1,length(y )
beta[k] = (1/sum(omega*X[,k]^2) *
threshog(t(omega*r)%*%X[,k ,length(y *lambda)}beta0 = sum(y-X%*%beta)/(length(y))obj[j] = (1/2)*(1/length(y))*norm(omega*(y - X%*%beta - 
beta0*rep(1,length(y))),'F')^2 + lambda*sum(abs(beta))
if (norm(rbind(beta0list[j],betalist[[j]]) - 
rbind(beta0,beta),'F') ) { break } 

 例如,考虑以下(简单)数据集,其中包含三个协变量

chicago = read.table("data.txt",header=TRUE,sep=";")

我们可以“标准化”


for(j in 1:3) X[,j] = (X[,j]-mean(X[,j]))/sd(X[,j])

y = (y-mean(y))/sd(y)

 要初始化算法,使用OLS估算

lm(y~0+.,)$coef

例如


lasso(X,y,beta_init,lambda=.001)
$obj
[1] 0.001014426 0.001008009 0.001009558 0.001011094 0.001011119 0.001011119
 
$beta
[,1]
X_1 0.0000000
X_2 0.3836087
X_3 -0.5026137
 
$intercept
[1] 2.060999e-16

 我们可以通过循环获得标准的lasso图

 


最受欢迎的见解

1.R语言多元Logistic逻辑回归 应用案例

2.面板平滑转移回归(PSTR)分析案例实现

3.matlab中的偏最小二乘回归(PLSR)和主成分回归(PCR)

4.R语言泊松Poisson回归模型分析案例

5.R语言回归中的Hosmer-Lemeshow拟合优度检验

6.r语言中对LASSO回归,Ridge岭回归和Elastic Net模型实现

7.在R语言中实现Logistic逻辑回归

8.python用线性回归预测股票价格

9.R语言如何在生存分析与Cox回归中计算IDI,NRI指标