R语言时间序列TAR阈值自回归模型

353 阅读3分钟

原文链接:tecdat.cn/?p=5231

原文出处:拓端数据部落公众号

 

为了方便起见,这些模型通常简称为TAR模型。这些模型捕获了线性时间序列模型无法捕获的行为,例如周期,幅度相关的频率和跳跃现象。Tong和Lim(1980)使用阈值模型表明,该模型能够发现黑子数据出现的不对称周期性行为。

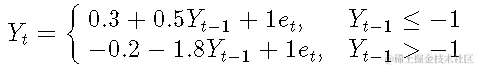
一阶TAR模型的示例:

σ是噪声标准偏差,Yt-1是阈值变量,r是阈值参数, {et}是具有零均值和单位方差的iid随机变量序列。

每个线性子模型都称为一个机制。上面是两个机制的模型。

考虑以下简单的一阶TAR模型:


#低机制参数


i1 = 0.3
p1 = 0.5
s1 = 1

#高机制参数


i2 = -0.2
p2 = -1.8
s2 = 1

thresh = -1
delay = 1

#模拟数据
y=sim(n=100,Phi1=c(i1,p1),Phi2=c(i2,p2),p=1,d=delay,sigma1=s1,thd=thresh,sigma2=s2)$y

#绘制数据


plot(y=y,x=1:length(y),type='o',xlab='t',ylab=expression(Y[t])
abline(thresh,0,col="red")

 TAR模型框架是原始TAR模型的修改版本。它是通过抑制噪声项和截距并将阈值设置为0来获得的:

框架的稳定性以及某些规律性条件意味着TAR的平稳性。稳定性可以理解为,对于任何初始值Y1,框架都是有界过程。

在[164]中:

#使用不同的起点检查稳定性
startvals = c(-2, -1.1,-0.5, 0.8, 1.2, 3.4)

count = 1
for (s in startvals) {
	ysk[1
		} else {
			ysk[i] = -1.8*ysk[i-1]
		}
	
	count = count + 1
}

#绘制不同实现
matplot(t(x),type="l"
abline(0,0)

 

 

 

Chan和Tong(1985)证明,如果满足以下条件,则一阶TAR模型是平稳的

一般的两机制模型写为:

 

在这种情况下,稳定性更加复杂。然而,Chan and Tong(1985)证明,如果

模型估计

一种方法以及此处讨论的方法是条件最小二乘(CLS)方法。

为简单起见,除了假设p1 = p2 = p,1≤d≤p,还假设σ1=σ2=σ。然后可以将TAR模型方便地写为

如果Yt-d> r,则I(Yt-d> r)= 1,否则为0。CLS最小化条件残差平方和:

 

在这种情况下,可以根据是否Yt-d≤r将数据分为两部分,然后执行OLS估计每个线性子模型的参数。

如果r未知。

在r值范围内进行搜索,该值必须在时间序列的最小值和最大值之间,以确保该序列实际上超过阈值。然后从搜索中排除最高和最低10%的值

  1. 在此受限频带内,针对不同的r = yt值估算TAR模型。
  2. 选择r的值,使对应的回归模型的残差平方和最小。

 

#找到分位数
lq = quantile(y,0.10)
uq = quantile(y,0.90)

#绘制数据
plot(y=y,x=1:length(y),type='o',xlab='t'abline(lq,0,col="blue")
abline(uq,0,col="blue")

#模型估计数


sum( (lq <= y ) & (y <= uq) )

80

如果d未知。

令d取值为1,2,3,...,p。为每个d的潜在值估算TAR模型,然后选择残差平方和最小的模型。

Chan(1993)已证明,CLS方法是一致的。

最小AIC(MAIC)方法

由于在实践中这两种情况的AR阶数是未知的,因此需要一种允许对它们进行估计的方法。对于TAR模型,对于固定的r和d,AIC变为

然后,通过最小化AIC对象来估计参数,以便在某个时间间隔内搜索阈值参数,以使任何方案都有足够的数据进行估计。

 

#估算模型
#如果知道阈值

#如果阈值尚不清楚

#MAIC 方法


for (d in 1:3) {
	if (model.tar.s$AIC < AIC.best) {
		AIC.best = model.tar.s$AIC
		model.best$d = d
		model.best$p1 = model.tar.s
ar.s$AIC, signif(model.tar.s$thd,4)

AICM
dAICR12
1311.2-1.002011
2372.60.221812
3388.4-1.387010

非线性测试

1.使用滞后回归图进行目测。

绘制Yt与其滞后。拟合的回归曲线不是很直,可能表明存在非线性关系。

在[168]中:

lagplot(y)

 

2.Keenan检验:

考虑以下由二阶Volterra展开引起的模型:

其中{ϵt} 的iid正态分布为零均值和有限方差。如果η=0,则该模型成为AR(mm)模型。

可以证明,Keenan检验等同于回归模型中检验η=0:

其中Yt ^ 是从Yt-1,...,Yt-m上的Yt回归得到的拟合值。

3. Tsay检验:

Keenan测试的一种更通用的替代方法。用更复杂的表达式替换为Keenan检验给出的上述模型中的项η(∑mj = 1ϕjYt-j)2。最后对所有非线性项是否均为零的二次回归模型执行F检验。

在[169]中:

#检查非线性: Keenan, Tsay
#Null is an AR model of order 1
Keenan.test(y,1)
$test.stat

90.2589565661567

$p.value

1.76111433596097e-15

$order

1

在[170]中:

Tsay.test(y,1)
$test.stat

71.34

$p.value

3.201e-13

$order

1

4.检验阈值非线性

这是基于似然比的测试。

零假设是AR(pp)模型;另一种假设是具有恒定噪声方差的p阶的两区域TAR模型,即σ1=σ2=σ。使用这些假设,可以将通用模型重写为

零假设表明ϕ2,0 = ϕ2,1 = ... = ϕ2,p = 0。

似然比检验统计量可以证明等于

其中n-p是有效样本大小,σ^ 2(H0)是线性AR(p)拟合的噪声方差的MLE,而σ^ 2(H1)来自TAR的噪声方差与在某个有限间隔内搜索到的阈值的MLE。

H0下似然比检验的采样分布具有非标准采样分布;参见Chan(1991)和Tong(1990)。

在[171]中:

res = tlrt(y, p=1, d=1, a=0.15, b=0.85)
res
$percentiles

14.1

85.9
$test.statistic

: 142.291963130459

$p.value

: 0

模型诊断

使用残差分析完成模型诊断。TAR模型的残差定义为

标准化残差是通过适当的标准偏差标准化的原始残差:

如果TAR模型是真正的数据机制,则标准化残差图应看起来是随机的。可以通过检查标准化残差的样本ACF来检查标准化误差的独立性假设。

 

#模型诊断

diag(model.tar.best, gof.lag=20)

 

 

 

 

预测

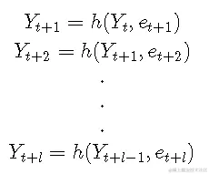
预测分布通常是非正态的。通常,采用模拟方法进行预测。考虑模型

然后给定Yt = yt,Yt-1 = yt-1,...

因此,可以通过从误差分布中绘制et + 1并计算h(yt,et + 1),来获得单步预测分布的Yt + 1的实现。 。

通过独立重复此过程 B 次,您可以 从向前一步预测分布中随机获得B值样本 。

可以通过这些B 值的样本平均值来估计提前一步的预测平均值 。

通过迭代,可以轻松地将仿真方法扩展为找到任何l步提前预测分布:

其中Yt = yt和et + 1,et + 2,...,et + l是从误差分布得出的ll值的随机样本。

在[173]中:

#预测
model.tar.pred r.best, n.ahead = 10, n.sim=1000)
y.pred = ts(c
lines(ts(model.tar.pred$pred.interval[2,], start=end(y) + c(0,1), freq=1), lty=2)
lines(ts(model

 

 

样例

这里模拟的时间序列是1700年至1988年太阳黑子的年数量。

在[174]中:

#数据集
#太阳黑子序列,每年

plot.ts(sunsp 

 

 

 

#通过滞后回归图检查非线性
lagplot(sunspo)

 

 

 

#使用假设检验检查线性
Keenan.test(sunspot.year)
Tsay.test(sunspot.year)
$test.stat

18.2840758932705

$p.value

2.64565849317573e-05

$order

9

$test.stat

3.904

$p.value

6.689e-12

$order

9

在[177]中:

#使用MAIC方法
AIC{
	sunspot.tar.s = tar(sunspot.year, p1 = 9, p2 = 9, d = d, a=0.15, b=0.85)
	
AICM
dAICR12
1228522.769
2224841.099
3222631.579
4225147.887
5229684.893
6229119.889
7227243.999
8224448.592
9222147.593

在[178]中:

#测试阈值非线性
tl(sunspot.year, p=9, d=9, a=0.15, b=0.85)
$percentiles

15

85
$test.statistic

: 52.2571950943405

$p.value

: 6.8337179274236e-06
#模型诊断
tsdiag(sunspot.tar.best)

 

#预测
sunspot.tar.pred <- predict(sunspot.tar.best, n.ahead = 10, n.sim=1000)

lines(ts(sunspot.tar.pred$pretart=e

 

 

 

 

 

#拟合线性AR模型
#pacf(sunspot.year)
#尝试AR阶数9
ord = 9
ar.mod <- arima(sunspot.year, order=c(ord,0,0), method="CSS-ML")

plot.ts(sunspot.year[10:289]

 

 

模拟TAR模型上的AR性能

示例1. 将AR(4)拟合到TAR模型

set.seed(12349)
#低机制参数
i1 = 0.3
p1 = 0.5
s1 = 1

#高机制参数
i2 = -0.2
p2 = -1.8
s2 = 1

thresh = -1
delay = 1

nobs = 200
#模拟200个样本
y=sim(n=nobs,Phi1=c(i1,p1),Phi$y

#使用Tsay的检验确定最佳AR阶数
ord <- Tsay.test(y)$order

#线性AR模型
#pacf(sunspot.year)
#try AR order 4

 

 

 

 

 

 

 

例子2. 将AR(4)拟合到TAR模型

 

 

 

 

例子3. 将AR(3)拟合到TAR模型

 

 

 

 

例子3. 将AR(7)拟合到TAR模型

 

 

 

 

 

 

参考文献

恩德斯(W. Enders),2010年。应用计量经济学时间序列


最受欢迎的见解

1.在python中使用lstm和pytorch进行时间序列预测

2.python中利用长短期记忆模型lstm进行时间序列预测分析

3.使用r语言进行时间序列(arima,指数平滑)分析

4.r语言多元copula-garch-模型时间序列预测

5.r语言copulas和金融时间序列案例

6.使用r语言随机波动模型sv处理时间序列中的随机波动

7.r语言时间序列tar阈值自回归模型

8.r语言k-shape时间序列聚类方法对股票价格时间序列聚类

9.python3用arima模型进行时间序列预测