R语言对HullWhite短期利率模型仿真

242 阅读3分钟

原文链接:tecdat.cn/?p=18661

原文出处:拓端数据部落公众号

 

在这篇文章中,我使用 R 建立著名的Hull-White利率模型并进行仿真。

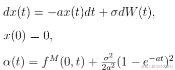
Hull and White(1994)模型解决Vasicek模型对利率的初始期限结构的拟合不佳的问题。该模型定义为:

Wt是风险中性框架下的维纳过程,模拟随机市场风险因素。σ是标准差参数,影响利率的波动,波动幅度有着瞬时随机流动的特征。参数b,a,σ和初始条件r0是完全动态的,并且瞬时变动。

该模型的另一种示形式是:

假定a是非负数:

b:长期平均水平。在长期水平下产生一系列r的轨道值。

a:回归速度。代表b的轨道值实时重组的速度。

σ:代表瞬时波动,测量每个时点随机因素进入系统的振幅

以下是由公式导出的一些数值:

​:长期方差。计算在长期所有r值围绕平均值重组的轨道值。

aσ数值相反波动:增加σ会增加随机数进入系统的数量,

a增加会使方差稳定,围绕长期平均值b以方差值波动。这在看长期方差时十分明显。 当方差值不变时,若σ增加,a减少。此模型是一个奥恩斯坦 - 乌伦贝克随机过程。

这些假设以及 对信贷/流动性风险的简单(并行)调整仍在保险中广泛使用 ,但在2007年次贷危机后被市场抛弃。

有关新的多曲线方法的更多详细信息,请参见例如 papers.ssrn.com/sol3/papers…。在本文中,作者介绍了一个多曲线自举(bootstrap)过程。

#清理工作区

rm(list=ls())

 

#模拟的频率

freq <- "monthly"

delta_t <- 1/12

#数据

params <- list(tradeDate=as.Date('2002-2-15'),

               settleDate=as.Date('2002-2-19'),

               payFixed=TRUE,

               dt=delta_t,

               strike=.06,

               method="HWAnalytic",

               interpWhat="zero",

               interpHow= "spline")

#构建利率期限结构的市场数据

#存款和掉期

tsQuotes <- list(d1w =0.0382,


                 s2y = 0.037125,

                 s3y =0.0398,

#具有相应期限和期限的掉期波动率矩阵

swaptionMaturities <- c(1:5)

swapTenors <- c(1:5)

 

#为掉期定价

pric <- Swaption(params, swaptionMaturities, swapTenors, 
 

#构建利率的即期期限结构

#根据输入的市场数据

times <- seq(from = delta_t, to = 5, by = delta_t)


maturities <- curves$times

 

############## Hull-White短期利率模拟

#模拟次数,频率

horizon <- 5
sims <- 10000

#校准Hull-White参数

a <- pricing$a

sigma <- pricing$sigma

#使用模拟高斯冲击

simshos(n = nb.sims, horizon = horizon )

#使用模拟因子x

#我使用远期汇率。由于每月的频率较低,

#我认为它们是瞬时远期汇率

fwdrates <- ts(replicate(nb.sims, curves$forwards),

                start = start(x),

                deltat = deltat(x))

# α



alpha <- fwdrates + param.alpha

#短期利率

r <- x + alpha

#随机贴现因子(当前的数值积分是非常基本的)

#由随机贴现因子得出的蒙特卡洛价格和零利率

 
montecarlozerorates <- -log(montecarloprices)/maturities 

#市场和蒙特卡洛价格之间的差异的置信区间

conf.int <- t(apply((Dt - marketprices)[-1, ], 1, function(x) t.test(x)$conf.int))

 

par(mfrow = c(2, 2))

#短期利率分位数

#蒙特卡洛vs市场零利率

plot(maturities, montecarlozerorates, type='l', col = 'blue', lwd = 3,

points(maturities, marketzerorates, col = 'red')

#蒙特卡洛vs市场零息价格

plot(maturities, montecarloprices, type ='l', col = 'blue', lwd = 3,

points(maturities, marketprices, col = 'red')

#价格差的置信区间

matplot(maturities[-1], conf.int, type = 'l'

 


最受欢迎的见解

1.用机器学习识别不断变化的股市状况—隐马尔科夫模型(HMM)的应用

2.R语言GARCH-DCC模型和DCC(MVT)建模估计

3.R语言实现 Copula 算法建模依赖性案例分析报告

4.R语言COPULAS和金融时间序列数据VaR分析

5.R语言多元COPULA GARCH 模型时间序列预测

6.用R语言实现神经网络预测股票实例

7.r语言预测波动率的实现:ARCH模型与HAR-RV模型

8.R语言如何做马尔科夫转换模型markov switching model

9.matlab使用Copula仿真优化市场风险