R语言分位数回归Quantile Regression分析租房价格

515 阅读2分钟

原文链接:tecdat.cn/?p=18422

原文出处:拓端数据部落公众号

 

 

 

本文想在R软件中更好地了解分位数回归优化。在查看分位数回归之前,让我们从样本中计算中位数或分位数。

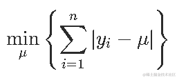
中位数

考虑一个样本 。要计算中位数,请求解

可以使用线性编程技术解决。更确切地说,这个问题等同于

为了说明,考虑对数正态分布的样本,

n = 123 
set.seed(132)
y = rlnorm(n)
median(y)
[1] 1.01523

对于优化问题,使用具有3n个约束和2n + 1参数的矩阵形式,


r = lp("min", c(rep(1,2*n),0),

tail(r$solution,1) 
[1] 1.01523

分位数

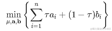
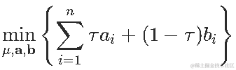
当然,我们可以将之前的代码改编为分位数

tau = .3
quantile(x,tau)
      30% 
0.674124

线性程序

R代码


r = lp("min", c(rep(tau,n),rep(1-tau,n),0),


[1] 0.674124

 

分位数回归(简单)

考虑一个数据集,该数据集是一个主要城市的单位租金与面积,建筑年龄等的函数。

分位数回归的线性程序

与ai,bi≥0和

在这里使用

require(lpSolve) 

r = lp("min",
       c(rep(tau,n , rep(1-tau,n),0,0 , rbind(A1, A2 ,
       c(rep( =", 2*n , rep("=", n) , c(rep(0,2*n), y 
tail(r$solution,2)
[1] 147.845234   3.273453

我们可以使用R函数来拟合该模型


rq(ren~are , tau=tau 
Coefficients:
(Intercept)        are 
 147.845234   3.273453

我们可以使用不同的概率水平来获得图

plot( area, rent,xlab=expression
tau = .9
r = lp("min",
       c(re au,n), rep(1-tau  rbind(A1 2),
       c(rep , 2*n), rep("=", n)), c( ,2*n) y)) 

 

多元分位数回归

现在,我们尝试使用两个协变量呢,例如,让我们看看是否可以将单位的租金解释为面积的(线性)函数和建筑年龄。


r = lp("min",
       c(rep(ta n), rep(1- au,n),0,0, , rbin 1, A2),
        (r p("&  ,  n), rep("=  n)),  (rep(0 *n), y)) 
tail(r$sol ,3)
[1] 0.000  3.224  0.073 

 


Coefficients:
 (Intercept)         are         year 
-5322.503252     3.428135     2.637234

结果是完全不同的。可以用IRLS  –迭代加权最小二乘确认后者

for(s in 1:500){

  reg = lm(rent ~area+year ,
weigts= tau*(eps t;0 1-tau) eps&lt ))/ s(e ))
 
}
reg$coefficients
 (Intercept)         area        year
-5485.433043     3.932134     2.842943

 

 

我们可以使后者拟合多元回归,


lp("min",c,A consttype,b)
beta = r$sol[1:K  -  r$sol (1:K+K) 
beta
[1] -5542.633252     3.958135     2.857234

与之比较


rq(rent~ area + year, tau=tau 
 
Coefficients:
 (Intercept)         area        yearc 
-5542.633252     3.958135     2.857234
 
Degrees of freedom: 4571 total; 4568 residual

 


最受欢迎的见解

1.R语言多元Logistic逻辑回归 应用案例

2.面板平滑转移回归(PSTR)分析案例实现

3.matlab中的偏最小二乘回归(PLSR)和主成分回归(PCR)

4.R语言泊松Poisson回归模型分析案例

5.R语言回归中的Hosmer-Lemeshow拟合优度检验

6.r语言中对LASSO回归,Ridge岭回归和Elastic Net模型实现

7.在R语言中实现Logistic逻辑回归

8.python用线性回归预测股票价格

9.R语言如何在生存分析与Cox回归中计算IDI,NRI指标