R语言用Garch模型和回归模型对股票价格分析

439 阅读2分钟

原文链接:tecdat.cn/?p=18310 

原文出处:拓端数据部落公众号

 

为了找出影响价格波动的主要因素,我们使用逐步回归法来剔除一些对于应变量即价格影响很小的自变量剔除出我们的模型,我们分别把WTI Price Field 等自变量的名称改为x1,x2……,最后的突发事件需要用到哑变量,哑变量只需要2个即可,我们将其作为X49,X50,X51,三个参数并将它们的值”正影响”、”无影响”、”负影响”分别改为-1,0,1。

经过R语言处理以后我们得到模型:

Y~x1 + x2 + x4 + x5 + x7 + x13 + x14 + x15 + x16 + x17 + x18 + x20 + x21 + x23 + x34 + x25 + x26 + x29 + x30 + x33 + x35 + x36 + x37 + x39 + x40 + x42 + x44 + x46 + x47 + x48 + x49 + x50

由此可得,影响较小的已经被剔除了。

Garch模型预测波动性

我们通过使用Garch模型来预测波动性,

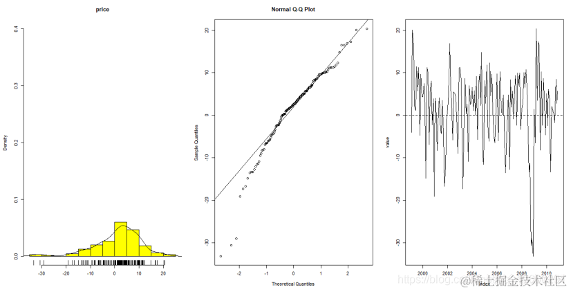
先检验数据正态性,可以计算得出数据分布函数,QQ图,对数收益率序列折线图

> shapiro.test(rlogdiffdata) 

	Shapiro-Wilk normality test

data:  rlogdiffdata
W = 0.94315, p-value = 1.458e-05

由QQ图以及p值可见,数据大致上符合正态分布。

最后用VaR曲线来进行预警剧烈波动。

红色的点就是剧烈波动前的预警点。

强影响点分析 

我们可以通过使用cook统计量来寻找强影响点,因此我们用R语言的influence.measures()函数来进行影响分析。

右侧带有*号的表示强影响点。

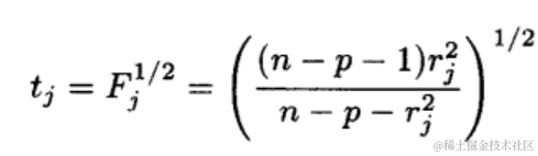
我们通过学生化残差来构造F检验,最终得到t检验,以此来检测异常点。通过

stdres<-rstudent(lm.sol)

来得到学生化残差,然后通过公式

来计算Fj,并且最终转化为tj,

t=sqrt((144-51-1)*stdres^2/(144-51-stdres^2))

最后我们可以检查,如果则它为异常点。

R语言执行

res<-t>abs(qt(.025, df=92))

 可以直接得到大于对应t值的布尔值。

 值为True的则可能为异常点。

预测

我们使用了HoltWinters来进行预测我们的价格区间

真实值基本都在预测的范围内,但是想要净赚预测还是比较困难的。


最受欢迎的见解

1.HAR-RV-J与递归神经网络(RNN)混合模型预测和交易大型股票指数的高频波动率

2.R语言中基于混合数据抽样(MIDAS)回归的HAR-RV模型预测GDP增长

3.波动率的实现:ARCH模型与HAR-RV模型

4.R语言ARMA-EGARCH模型、集成预测算法对SPX实际波动率进行预测

5.GARCH(1,1),MA以及历史模拟法的VaR比较

6.R语言多元COPULA GARCH 模型时间序列预测

7.R语言基于ARMA-GARCH过程的VAR拟合和预测

8.matlab预测ARMA-GARCH 条件均值和方差模型

9.R语言对S&P500股票指数进行ARIMA + GARCH交易策略