R语言广义线性模型GLM、多项式回归和广义可加模型GAM预测泰坦尼克号幸存者

338 阅读5分钟

原文链接:tecdat.cn/?p=18266

原文出处:拓端数据部落公众号

 

本文通过R语言建立广义线性模型(GLM)、多项式回归和广义可加模型(GAM)来预测谁在1912年的泰坦尼克号沉没中幸存下来。


str(titanic)

数据变量为:

  • Survived:乘客存活指标(如果存活则为1)
  • Pclass:旅客舱位等级
  • Sex:乘客性别
  • Age:乘客年龄
  • SibSp:兄弟姐妹/配偶人数
  • Parch:父母/子女人数
  • Embarked: 登船港口
  • Name:旅客姓名

最后一个变量使用不多,因此我们将其删除,

titanic = titanic[,1:7]

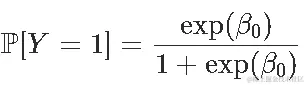
现在,我们回答问题:

幸存的旅客比例是多少?

简单的答案是

 

mean(titanic$Survived)
[1] 0.3838384

可以在下面的列联表中找到

table(titanic$Survived)/nrow(titanic)
        0         1 
0.6161616 0.3838384

或此处幸存者的38.38 %。也就是说,也可以通过不对任何解释变量进行逻辑回归来获得(换句话说,仅对常数进行回归)。回归给出了:

 
Coefficients:
(Intercept)  
    -0.4733  
 
Degrees of Freedom: 890 Total (i.e. Null);  890 Residual
Null Deviance:	    1187 
Residual Deviance: 1187 	AIC: 1189

给出β0的值,并且由于生存概率为

我们通过考虑

 

exp(-0.4733)/(1+exp(-0.4733))
[1] 0.3838355

我们也可以使用predict函数 

predict(glm(Survived~1, family=binomial,type="response")[1]
        1 
0.3838384

此外,在概率回归中也适用,

reg=glm(Survived~1, family=binomial(link="probit"),data=titanic)
predict(reg,type="response")[1]
        1 
0.3838384

幸存的头等舱乘客的比例是多少?

我们只看头等舱的人,

 

[1] 0.6296296

约63%存活。我们可以进行逻辑回归


Coefficients:
(Intercept)      Pclass2      Pclass3  
     0.5306      -0.6394      -1.6704  
 
Degrees of Freedom: 890 Total (i.e. Null);  888 Residual
Null Deviance:	    1187 
Residual Deviance: 1083 	AIC: 1089

由于第1类是参考类,因此我们照旧考虑

exp(0.5306)/(1+exp(0.5306))
[1] 0.629623

predict预测:


predict(reg,newdata=data.frame(Pclass="1"),type="response")
        1 
0.6296296

我们可以尝试概率回归,我们得到的结果是一样的,


predict(reg,newdata=data.frame(Pclass="1"),type="response")
        1 
0.6296296

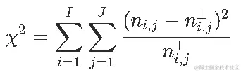
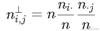
卡方独立性测试 :在生存与否之间的检验统计量是多少?

卡方检验的命令如下

chisq.test(table( Survived, Pclass))
 
	Pearson's Chi-squared test
 
data:  table( Survived,  Pclass)
X-squared = 102.89, df = 2, p-value < 2.2e-16

我们有一个列联表,如果变量是独立的,我们有,然后是统计量,我们可以看到,对测试的贡献

 
            1         2         3
  0 -4.601993 -1.537771  3.993703
  1  5.830678  1.948340 -5.059981

这给了我们很多信息:我们观察到两个正值,分别对应于“幸存”和“头等舱”与“无法幸存”和“三等舱”之间的强(正)关联,以及两个很强的负值,对应于“生存”和“第三等”之间的强烈负相关,以及“无法幸存”和“头等舱”。我们可以在下图上可视化这些值

 

 


ass(table( Survived, Pclass), shade = TRUE, las=3)

 

然后我们必须进行逻辑回归,并预测两名模拟乘客的生存概率

假设我们有两名乘客

newbase = data.frame(
  Pclass = as.factor(c(1,3)),
  Sex = as.factor(c("female","male")),
  Age = c(17,20),
  SibSp = c(1,0),
  Parch = c(2,0),

让我们对所有变量进行简单回归,


 
Coefficients:
              Estimate Std. Error z value Pr(>|z|)    
(Intercept)  16.830381 607.655774   0.028  0.97790    
Pclass2      -1.268362   0.298428  -4.250 2.14e-05 ***
Pclass3      -2.493756   0.296219  -8.419  < 2e-16 ***
Sexmale      -2.641145   0.222801 -11.854  < 2e-16 ***
Age          -0.043725   0.008294  -5.272 1.35e-07 ***
SibSp        -0.355755   0.128529  -2.768  0.00564 ** 
Parch        -0.044628   0.120705  -0.370  0.71159    
EmbarkedC   -12.260112 607.655693  -0.020  0.98390    
EmbarkedQ   -13.104581 607.655894  -0.022  0.98279    
EmbarkedS   -12.687791 607.655674  -0.021  0.98334    
---
Signif. codes:  0 ‘***’ 0.001 ‘**’ 0.01 ‘*’ 0.05 ‘.’ 0.1 ‘ ’ 1
 
(Dispersion parameter for binomial family taken to be 1)
 
    Null deviance: 964.52  on 713  degrees of freedom
Residual deviance: 632.67  on 704  degrees of freedom
  (177 observations deleted due to missingness)
AIC: 652.67
 
Number of Fisher Scoring iterations: 13

两个变量并不重要。我们删除它们


 
Coefficients:
             Estimate Std. Error z value Pr(>|z|)    
(Intercept)  4.334201   0.450700   9.617  < 2e-16 ***
Pclass2     -1.414360   0.284727  -4.967 6.78e-07 ***
Pclass3     -2.652618   0.285832  -9.280  < 2e-16 ***
Sexmale     -2.627679   0.214771 -12.235  < 2e-16 ***
Age         -0.044760   0.008225  -5.442 5.27e-08 ***
SibSp       -0.380190   0.121516  -3.129  0.00176 ** 
---
Signif. codes:  0 ‘***’ 0.001 ‘**’ 0.01 ‘*’ 0.05 ‘.’ 0.1 ‘ ’ 1
 
(Dispersion parameter for binomial family taken to be 1)
 
    Null deviance: 964.52  on 713  degrees of freedom
Residual deviance: 636.56  on 708  degrees of freedom
  (177 observations deleted due to missingness)
AIC: 648.56
 
Number of Fisher Scoring iterations: 5

我们有年龄这样的连续变量时,我们可以进行多项式回归


 
Coefficients:
              Estimate Std. Error z value Pr(>|z|)    
(Intercept)     3.0213     0.2903  10.408  < 2e-16 ***
Pclass2        -1.3603     0.2842  -4.786 1.70e-06 ***
Pclass3        -2.5569     0.2853  -8.962  < 2e-16 ***
Sexmale        -2.6582     0.2176 -12.216  < 2e-16 ***
poly(Age, 3)1 -17.7668     3.2583  -5.453 4.96e-08 ***
poly(Age, 3)2   6.0044     3.0021   2.000 0.045491 *  
poly(Age, 3)3  -5.9181     3.0992  -1.910 0.056188 .  
SibSp          -0.5041     0.1317  -3.828 0.000129 ***
---
Signif. codes:  0 ‘***’ 0.001 ‘**’ 0.01 ‘*’ 0.05 ‘.’ 0.1 ‘ ’ 1
 
(Dispersion parameter for binomial family taken to be 1)
 
    Null deviance: 964.52  on 713  degrees of freedom
Residual deviance: 627.55  on 706  degrees of freedom
AIC: 643.55
 
Number of Fisher Scoring iterations: 5

但是解释参数变得很复杂。我们注意到三阶项在这里很重要,因此我们将手动进行回归


Coefficients:
              Estimate Std. Error z value Pr(>|z|)    
(Intercept)  5.616e+00  6.565e-01   8.554  < 2e-16 ***
Pclass2     -1.360e+00  2.842e-01  -4.786  1.7e-06 ***
Pclass3     -2.557e+00  2.853e-01  -8.962  < 2e-16 ***
Sexmale     -2.658e+00  2.176e-01 -12.216  < 2e-16 ***
Age         -1.905e-01  5.528e-02  -3.446 0.000569 ***
I(Age^2)     4.290e-03  1.854e-03   2.314 0.020669 *  
I(Age^3)    -3.520e-05  1.843e-05  -1.910 0.056188 .  
SibSp       -5.041e-01  1.317e-01  -3.828 0.000129 ***
---
Signif. codes:  0 ‘***’ 0.001 ‘**’ 0.01 ‘*’ 0.05 ‘.’ 0.1 ‘ ’ 1
 
(Dispersion parameter for binomial family taken to be 1)
 
    Null deviance: 964.52  on 713  degrees of freedom
Residual deviance: 627.55  on 706  degrees of freedom
AIC: 643.55
 
Number of Fisher Scoring iterations: 5

可以看到,p值是相同的。简而言之,将年龄转换为年龄的非线性函数是有意义的。可以可视化此函数


plot(xage,yage,xlab="Age",ylab="",type="l")

 

实际上,我们可以使用样条曲线。广义可加模型( gam )是完美的可视化工具


 
(Dispersion Parameter for binomial family taken to be 1)
 
    Null Deviance: 964.516 on 713 degrees of freedom
Residual Deviance: 627.5525 on 706 degrees of freedom
AIC: 643.5525 
177 observations deleted due to missingness 
 
Number of Local Scoring Iterations: 4 
 
Anova for Parametric Effects
           Df Sum Sq Mean Sq  F value    Pr(>F)    
Pclass      2  26.72  13.361  11.3500 1.407e-05 ***
Sex         1 131.57 131.573 111.7678 < 2.2e-16 ***
bs(Age)     3  22.76   7.588   6.4455 0.0002620 ***
SibSp       1  14.66  14.659  12.4525 0.0004445 ***
Residuals 706 831.10   1.177                       
---
Signif. codes:  0 ‘***’ 0.001 ‘**’ 0.01 ‘*’ 0.05 ‘.’ 0.1 ‘ ’ 1

我们可以看到年龄变量的变换,

 

并且我们发现变换接近于我们的3阶多项式。我们可以添加置信带,从而可以验证该函数不是真正的线性

 

我们现在有三个模型。最后给出了两个模拟乘客的预测,

predict(reg,newdata=newbase,type="response")
        1         2 
0.9605736 0.1368988 
predict(reg3,newdata=newbase,type="response")
        1         2 
0.9497834 0.1218426 
predict(regam,newdata=newbase,type="response")
        1         2 
0.9497834 0.1218426

可以看到莱昂纳多·迪卡普里奥(  Leonardo DiCaprio) 有大约12%的幸存机会(考虑到他的年龄,他有三等票,而且船上没有家人)。


最受欢迎的见解

1.用SPSS估计HLM层次线性模型模型

2.R语言线性判别分析(LDA),二次判别分析(QDA)和正则判别分析(RDA)

3.基于R语言的lmer混合线性回归模型

4.R语言Gibbs抽样的贝叶斯简单线性回归仿真分析

5.在r语言中使用GAM(广义相加模型)进行电力负荷时间序列分析

6.使用SAS,Stata,HLM,R,SPSS和Mplus的分层线性模型HLM

7.R语言中的岭回归、套索回归、主成分回归:线性模型选择和正则化

8.R语言用线性回归模型预测空气质量臭氧数据

9.R语言分层线性模型案例