R语言网络分析友谊悖论案例

165 阅读2分钟

原文链接:tecdat.cn/?p=17906 

原文出处:拓端数据部落公众号

 

本文简要介绍一下网络分析,我想提供一些有关“友谊悖论”的R语言例证。友谊悖论指出

平均而言:你的朋友 比你拥有更多的朋友

 例如,这在 Feld(1991)Zuckerman&Jost(2001)中进行了讨论。首先,让我们获取数据集的副本


library(networkD3)
simpleNetwork(data[,1:2]

​


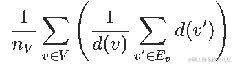
考虑无向图中的顶点v∈V,G =(V,E)(使用经典图形符号),并令d(v)表示它的边数(即v具有d(v)个朋友)。图中随机人的平均好友数为



从而,


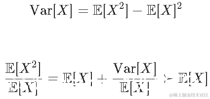
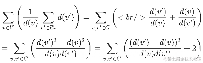
方差分解

回到我们的网络。节点列表是

rbind(as.matrix(GoT[,1:2]),as.matrix(GoT[,2:1])
unique(M[,1]

​

我们每个人都可以得到朋友列表和朋友数量

as.character(M[which(M[,1]==x),2]
 Vectorize(function(x) length(friends(x)

​

 

以及朋友拥有的朋友数量,以及平均的朋友数量

 (Vectorize(function(x) length(friends(x)))(friends(y
Vectorize(function(x) mean(friends_of_friends(x
​

  

我们可以查看一个随机节点的朋友数量的密度,


lines(density(Nb),col="red",
lines(density(Nb2),col="blue",

​

 


我们还可以计算平均值

mean(Nb)
[1] 6.579439
mean(Nb2)
[1] 13.94243

 

因此,实际上,人们平均拥有的朋友少于他们的朋友。


最受欢迎的见解

1.采用spss-modeler的web复杂网络对所有腧穴进行分析

2.用R语言和python进行社交网络中的社区检测

3.R语言文本挖掘NASA数据网络分析,tf-idf和主题建模

4.在R语言中使用航空公司复杂网络对疫情进行建模

5.python隶属关系图模型 基于模型的网络中密集重叠社区检测

6.使用Python和SAS Viya分析社交网络

7.关联网络分析:已迁离北京外来人口的数据画像

8.情感语义网络游记数据感知旅游目的地形象

9.用关联规则数据挖掘探索药物配伍中的规律