R语言SIR模型(Susceptible Infected Recovered Model)代码sir模型实例

302 阅读3分钟

原文链接:tecdat.cn/?p=14593 

原文出处:拓端数据部落公众号

 

SIR模型定义

SIR模型是一种传播模型,是信息传播过程的抽象描述。
SIR模型是传染病模型中最经典的模型,其中S表示易感者,I表示感染者,R表示移除者。

S:Susceptible,易感者
I:Infective,感染者
R:Removal,移除者


SIR模型的应用

SIR模型应用于信息传播的研究。

传播过程大致如下:最初,所有的节点都处于易感染状态。然后,部分节点接触到信息后,变成感染状态,这些感染状态的节点试着去感染其他易感染状态的节点,或者进入恢复状态。感染一个节点即传递信息或者对某事的态度。恢复状态,即免疫,处于恢复状态的节点不再参与信息的传播。

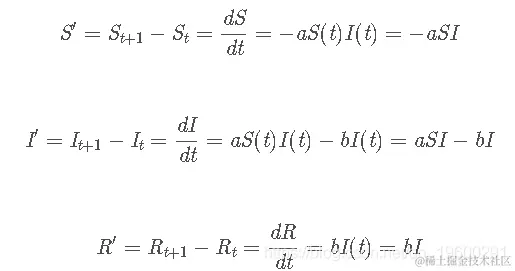
SIR的微分方程

a为感染率、b恢复率

注意:

t为某个时刻,例如t=1,S(1)为第一天易感人群的人数。
无论t为什么时刻,总人数是不变的,即N(t)=S(t)+I(t)+R(t)。
人口总数总保持一个常数,即N(t)=K,不考虑人口的出生、死亡、迁移等因素。

这里介绍一个使用R模拟网络扩散的例子。

 

第一步,生成网络。

规则网

g =graph.tree(size, children =2); plot(g)

g =graph.star(size); plot(g)

g =graph.full(size); plot(g)

g =graph.ring(size); plot(g)

第二步,随机选取一个或n个随机种子。  

# initiate the diffusers

seeds_num =1 diffusers =sample(V(g),seeds_num) ; 

diffusers

## + 1/50 vertex:

## [1] 43

infected =list()

infected[[1]]=diffusers# 

 

第三步,传染能力

在这个简单的例子中,每个节点的传染能力是0.5,即与其相连的节点以0.5的概率被其感染,每个节点的回复能力是0.5,即其以0.5的概率被其回复。在R中的实现是通过抛硬币的方式来实现的。

## [1] 0

显然,这很容易扩展到更一般的情况,比如节点的平均感染能力是0.128,那么可以这么写: 节点的平均回复能力是0.1,那么可以这么写

p =0.128

coins =c(rep(1, p*1000), rep(0,(1-p)*1000))

sample(coins, 1, replace=TRUE, prob=rep(1/n, n))

## [1] 0

n =length(coins2)

sample(coins2, 1, replace=TRUE, prob=rep(1/n, n))

## [1] 0

当然最重要的一步是要能按照“时间”更新网络节点被感染的信息。

keep =unlist(lapply(nearest_neighbors[,2], toss)) 

new_infected =as.numeric(as.character(nearest_neighbors[,1][keep >=1])) 

diffusers =unique(c(as.numeric(diffusers), new_infected))

return(diffusers)}

set.seed(1);

 

开启扩散过程!

先看看S曲线吧:

为了可视化这个扩散的过程,我们用红色来标记被感染者。

# generate a palette# 

plot(g, layout =layout.old)

set.seed(1)#

library(animation)# start the plot

m =1

如同在Netlogo里一样,我们可以把网络扩散与增长曲线同时展示出来:

set.seed(1)

# start the plot

m =1

p_cum=numeric(0)

h_cum=numeric(0)

i_cum=numeric(0)

while( m<50 ) {# start the plot

layout(matrix(c(1, 2, 1, 3), 2,2, byrow =TRUE), widths=c(3,1), heights=c(1, 1))

V(g)$color = "white"

V(g)$color[V(g)%in%infected[[m ]] ] = "red"

V(g)$color[V(g)%in%health[[m ]]] = "green"

if(m<=length(infected))











plot(pp~time, type ="h", ylab ="PDF", xlab ="Time",xlim =c(0,i), ylim =c(0,1), frame.plot =FALSE) 

m =m +1

}

 


参考文献

1.R语言泊松Poisson回归模型分析案例

2.R语言进行数值模拟:模拟泊松回归模型

3.r语言泊松回归分析

4.R语言对布丰投针(蒲丰投针)实验进行模拟和动态可视化

5.用R语言模拟混合制排队随机服务排队系统

6.GARCH(1,1),MA以及历史模拟法的VaR比较

7.R语言做复杂金融产品的几何布朗运动的模拟

8.R语言进行数值模拟:模拟泊松回归模型

9.R语言对巨灾风险下的再保险合同定价研究案例:广义线性模型和帕累托分布Pareto distributions