WINBUGS对随机波动率模型进行贝叶斯估计与比较

262 阅读4分钟

原文链接:tecdat.cn/?p=5312

原文出处:拓端数据部落公众号

 


 

现有的有关财务模型的大多数文献都假设资产的波动性是恒定的。然而,这种假设忽略了波动聚类,高峰,厚尾,波动性和均值回复的实际市场回报的特点,不能用恒定的波动模型。资产存在市场制度下,其波动性在不同时间段内会发生显着变化。在2007 - 2008年金融危机是市场波动时期的好例子。

因此,Black Scholes模型的自然扩展是考虑非恒定波动率。史蒂文·赫斯顿(Steven Heston)提出了一个模型,该模型不仅考虑了随时间变化的波动性,而且还引入了随机(即不确定性)成分。这是著名的Heston随机波动率模型

 

数学模型

 

Black Scholes模型使用具有几何布朗运动随机微分方程对资产路径的动力学建模。它由下式给出:

St 是相关资产当时的价格, μ 是资产的(恒定)漂移, σ 是证券的(恒定)波动率 dWt 是一个Weiner过程(即随机游走)。

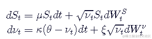
Heston模型通过引入第二个随机微分方程来扩展此范围,以表示期权在整个有效期内基础波动率的“路径”。方差的SDE由Cox-Ingersoll-Ross过程给出

 

 

 

  • μ是资产的漂移
  • θ即长期平均价格差异
  • κ 是的均值回复率 νt 到长期平均水平 θ
  • ξ 是“ vol of vol”,即 νt方差

所有参数都不具有任何时间依赖性。

为了  νt>0,必须满足Feller条件:

 

此外,该模型要求构成随机性的两个独立的Weiner过程实际上是相关的,具有瞬时常数相关  

实证说明

数据

在本节中,我们将介绍的模型与实际财务时间序列数据相匹配。从1994年1月到2003年12月,所使用的数据是每周519次澳大利亚元和新西兰元的平均修正对数回报率。这两个系列的选择是因为这两个经济体彼此紧密相连,因此事先预计两种汇率之间的依赖性很强。这两个系列在图中绘制,其中回报和波动率的交叉依赖性确实显得很强。

澳元和新西兰元/美元汇率回报的时间序列图。

结果

我们报告前六个模型的后验分布的平均值,标准误差和95%可信区间以及最后三个模型的后验分布,以及为九个中的每一个生成100次迭代的计算时间。

 

模型(AFactor-t-MSV)中d,μ和φ 的边际分布的曲线图和密度估计值。

 

σ的边缘分布的密度估计η,σ ε1 ,和σ ε2在模型(AFactor MSV)。

 

ν的边缘分布的密度估计1,ν 2,和ω在模型(AFactor MSV)。

 

所有模型的DIC

 

为了理解含义,我们获得了模型(AFactor-t-MSV)和模型(DC-MSV)的波动率和相关性的平滑估计。

 

 

结论

在本文中,我们提出通过WinBUGS使用贝叶斯MCMC技术估计和比较多变量SV模型。MCMC是一种功能强大的方法,与其他方法相比具有许多优势。不幸的是,编写用于估计多变量SV模型的第一个MCMC程序并不容易,并且比较替代的多变量SV规范在计算上是昂贵的。WinBUGS强加了一个简短而敏锐的学习曲线。在双变量设置中,我们表明其实现简单且计算速度相当快。此外,处理丰富的规格也非常灵活。然而,由于WinBUGS提供单动Gibbs采样算法,正如人们所预料的那样,我们发现混合通常很慢,因此需要长采样。


参考文献

1.HAR-RV-J与递归神经网络(RNN)混合模型预测和交易大型股票指数的高频波动率

2.WinBUGS对多元随机波动率模型:贝叶斯估计与模型比较

3.波动率的实现:ARCH模型与HAR-RV模型

4.R语言ARMA-EGARCH模型、集成预测算法对SPX实际波动率进行预测

5.使用R语言随机波动模型SV处理时间序列中的随机波动率

6.R语言多元COPULA GARCH 模型时间序列预测

7.R语言基于ARMA-GARCH过程的VAR拟合和预测

8.R语言随机搜索变量选择SSVS估计贝叶斯向量自回归(BVAR)模型

9.R语言对S&P500股票指数进行ARIMA + GARCH交易策略